2025 Vol. 49, No. 5
Display Method: |
2025, 49(5): 053001. doi: 10.1088/1674-1137/adacc5
Abstract:
The Circular Electron Positron Collider (CEPC) is a large-scale particle accelerator designed to collide electrons and positrons at high energies. One of its primary goals is to achieve high-precision measurements of the properties of the Higgs boson and is facilitated by the large number of Higgs bosons that are produced with significantly low contamination. The measurements of Higgs boson branching fractions into\begin{document}$b\overline{b} /c\overline{c} /gg$\end{document} ![]()
![]()
and \begin{document}$\tau\overline{\tau} /WW^{*} /ZZ^{*} $\end{document} ![]()
![]()
, where the W or Z bosons decay hadronically, are presented in the context of the CEPC experiment, assuming a scenario with 5600 fb−1 of collision data at a center-of-mass energy of 240 GeV. In this study the Higgs bosons are produced in association with a Z boson, with the Z boson decaying into a pair of muons \begin{document}$(\mu^{+}\mu^{-})$\end{document} ![]()
![]()
, which have high efficiency and resolution. To separate all decay channels simultaneously with high accuracy, the Particle Flow Network (PFN), a graph-based machine learning model, is considered. The precise classification provided by the PFN is employed in measuring the branching fractions using the migration matrix method, which accurately corrects for detector effects in each decay channel. The statistical uncertainty of the measured branching ratio is estimated to be 0.55% in the\begin{document}$H\to b\overline{b}$\end{document} ![]()
![]()
final state and approximately 1.5% − 16% in the \begin{document}$H\to c\overline{c} /gg/\tau\overline{\tau}/WW^{*} /ZZ^{*} $\end{document} ![]()
![]()
final states. In addition, the main sources of systematic uncertainties in the measurement of the branching fractions are discussed.
The Circular Electron Positron Collider (CEPC) is a large-scale particle accelerator designed to collide electrons and positrons at high energies. One of its primary goals is to achieve high-precision measurements of the properties of the Higgs boson and is facilitated by the large number of Higgs bosons that are produced with significantly low contamination. The measurements of Higgs boson branching fractions into
2025, 49(5): 053002. doi: 10.1088/1674-1137/adb2f9
Abstract:
The\begin{document}$ \psi(3770) $\end{document} ![]()
![]()
and \begin{document}$ \Upsilon(4S) $\end{document} ![]()
![]()
states predominantly decay into open-flavor meson pairs, whereas the decays of \begin{document}$ \psi(3770) \to {\text{non}-}D\bar{D} $\end{document} ![]()
![]()
and \begin{document}$ \Upsilon(4S) \to {\text{non}-}B\bar{B} $\end{document} ![]()
![]()
are rare but crucial for elucidating the inner structure and decay dynamics of heavy quarkonium states. To achieve precise branching fraction measurements for \begin{document}$ \psi(3770) \to {\text{non}-}D\bar{D} $\end{document} ![]()
![]()
and \begin{document}$ \Upsilon(4S) \to {\text{non}-}B\bar{B} $\end{document} ![]()
![]()
decays at the high luminosity \begin{document}$ e^+e^- $\end{document} ![]()
![]()
annihilation experiments, we employed Monte Carlo simulations and Fisher information to evaluate various data taking scenarios, ultimately determining the optimal scheme. The consistent results of both methodologies indicate that the optimal energy points for studies of \begin{document}$ \psi(3770) \to $\end{document} ![]()
![]()
\begin{document}$ {\text{non}-}D\bar{D} $\end{document} ![]()
![]()
decays are \begin{document}$ 3.769\; {\rm{GeV}} $\end{document} ![]()
![]()
and \begin{document}$ 3.781\; {\rm{GeV}} $\end{document} ![]()
![]()
, whereas those for \begin{document}$ \Upsilon(4S) \to {\text{non}-}B\bar{B} $\end{document} ![]()
![]()
decays are \begin{document}$ 10.574\; {\rm{GeV}} $\end{document} ![]()
![]()
and \begin{document}$ 10.585\; {\rm{GeV}} $\end{document} ![]()
![]()
. In addition, we studied the dependence of the precision in branching fraction measurements on the integrated luminosity, with the branching fractions spanning several orders of magnitude.
The
2025, 49(5): 053003. doi: 10.1088/1674-1137/adabce
Abstract:
We discuss neutrino sector in models with two Higgs doublet and one singlet scalar fields under local\begin{document}$ U(1)_{L_\alpha- L_\beta} $\end{document} ![]()
![]()
symmetry. A neutrino mass matrix is formulated for these models via a type-I seesaw mechanism by introducing right-handed neutrinos. The neutrino mass matrix has more degrees of freedom than minimal scenarios that have only one new scalar field, but its structure is still restricted by symmetry. Subsequently, we find that the sum of neutrino mass can be lower than that of minimal scenarios and easily satisfies observed constraints. In addition, we can fit neutrino data for \begin{document}$ U(1)_{L_e - L_{\mu(\tau)}} $\end{document} ![]()
![]()
cases that are disfavored in minimal models. Furthermore, some correlations among sum of neutrino mass and CP violating phases are still observed, although we have more free parameters.
We discuss neutrino sector in models with two Higgs doublet and one singlet scalar fields under local
2025, 49(5): 053004. doi: 10.1088/1674-1137/adb9c8
Abstract:
The\begin{document}$ \nu $\end{document} ![]()
![]()
GeN experiment searches for coherent elastic neutrino-nucleus scattering (CE\begin{document}$ \nu $\end{document} ![]()
![]()
NS) at the Kalinin Nuclear Power Plant. A 1.41 kg high-purity low-threshold germanium detector surrounded by active and passive shielding is deployed at the minimal distance of 11.1 m allowed by the lifting mechanism from the center of the reactor core, utilizing one of the highest antineutrino fluxes among competing experiments. The direct comparison of the count rates obtained during reactor-ON and reactor-OFF periods with the energy threshold of 0.29 keV\begin{document}$ _{ee} $\end{document} ![]()
![]()
shows no statistically significant difference. New upper limits on the number of CE\begin{document}$ \nu $\end{document} ![]()
![]()
NS events are evaluated on the basis of the residual ON\begin{document}$ - $\end{document} ![]()
![]()
OFF count rate spectrum.
The
2025, 49(5): 053101. doi: 10.1088/1674-1137/ada95f
Abstract:
In this study, we investigate the\begin{document}$R^2$\end{document} ![]()
![]()
corrections to the dissociation of heavy quarkonium in the Gauss-Bonnet gravitational background. We analyze the impact of the Gauss-Bonnet parameter \begin{document}$\lambda_{\rm GB}$\end{document} ![]()
![]()
on the spectral function of charmonium and bottomonium and examine the effect of \begin{document}$\lambda_{\rm GB}$\end{document} ![]()
![]()
on the dissociation of heavy quarkonium. Our results show that \begin{document}$\lambda_{\rm GB}$\end{document} ![]()
![]()
reduces the peak height and increases the peak width of the spectral function, suggesting that \begin{document}$\lambda_{\rm GB}$\end{document} ![]()
![]()
enhances the dissociation of heavy quarkonium. We also discuss the variation in the dissociation of heavy quarkonium with the ratio of shear viscosity to entropy density and observe that the dissociation is easier in more perfect plasma. Additionally, we observe that the temperature decreases the peak height and widens the peak, thereby accelerating the dissociation.
In this study, we investigate the
2025, 49(5): 053102. doi: 10.1088/1674-1137/ada3cd
Abstract:
General one-loop formulas for loop-induced processes\begin{document}$gg/\gamma \gamma \rightarrow \phi_i\phi_j$\end{document} ![]()
![]()
with \begin{document}$\phi_i\phi_j = hh,~hH,~HH$\end{document} ![]()
![]()
are presented in this paper. The analytic expressions evaluated in this study are valid for a class of Higgs Extensions of the Standard Model, e.g., Inert Doublet Higgs, Two Higgs Doublet, Zee-Babu, and Triplet Higgs Models. Analytic expressions for one-loop form factors are expressesd in terms of the basic scalar one-loop two-, three-, and four-point functions following the output format of the packages \begin{document}$ {\tt LoopTools}$\end{document} ![]()
![]()
and \begin{document}$ {\tt Collier}$\end{document} ![]()
![]()
. Hence, physical results can be evaluated numerically using one of these packages. The analytic results are tested using several checks such as the ultraviolet finiteness and infrared finiteness of the one-loop amplitudes. Furthermore, the amplitudes obey the ward identity due to massless gauge bosons in the initial states. This identity is also verified numerically. Regarding applications, we present the phenomenological results for the investigated processes in the Zee-Babu model as a typical example. In particular, production cross-sections for the processes \begin{document}$\gamma \gamma\rightarrow hh$\end{document} ![]()
![]()
are scanned over the parameter space of the Zee-Babu Model.
General one-loop formulas for loop-induced processes
2025, 49(5): 053103. doi: 10.1088/1674-1137/adbc81
Abstract:
This study forecasts the production of doubly heavy baryons,\begin{document}$ \Xi_{cc} $\end{document} ![]()
![]()
, \begin{document}$ \Xi_{bc} $\end{document} ![]()
![]()
, and \begin{document}$ \Xi_{bb} $\end{document} ![]()
![]()
, within the nonrelativistic QCD framework at the Muon-Ion Collider (MuIC). It examines two production mechanisms: photon-gluon fusion (\begin{document}$ \gamma + g \to (QQ')[n] +\bar{Q} +\bar{Q'} $\end{document} ![]()
![]()
) and extrinsic heavy quark channels (\begin{document}$ \gamma + Q \to (QQ')[n] + \bar{Q'} $\end{document} ![]()
![]()
), where \begin{document}$ Q $\end{document} ![]()
![]()
and \begin{document}$ Q' $\end{document} ![]()
![]()
denote heavy quarks (\begin{document}$ c $\end{document} ![]()
![]()
or \begin{document}$ b $\end{document} ![]()
![]()
) and \begin{document}$ (QQ')[n] $\end{document} ![]()
![]()
represents a diquark in specific spin-color configurations. The diquark fragments into \begin{document}$ \Xi_{QQ'} $\end{document} ![]()
![]()
baryons with high probability. For \begin{document}$ \Xi_{cc} $\end{document} ![]()
![]()
and \begin{document}$ \Xi_{bb} $\end{document} ![]()
![]()
, the relevant configurations are \begin{document}$ [^1S_0]_{{6}} $\end{document} ![]()
![]()
(spin-singlet and color-sextuplet) and \begin{document}$ [^3S_1]_{\bar{{3}}} $\end{document} ![]()
![]()
(spin-triplet and color-antitriplet). For \begin{document}$ \Xi_{bc} $\end{document} ![]()
![]()
, the configurations are \begin{document}$ [^1S_0]_{\bar{{3}}} $\end{document} ![]()
![]()
, \begin{document}$ [^1S_0]_{{6}} $\end{document} ![]()
![]()
, \begin{document}$ [^3S_1]_{\bar{{3}}} $\end{document} ![]()
![]()
, and \begin{document}$ [^3S_1]_{{6}} $\end{document} ![]()
![]()
. The study compares total and differential cross-sections for these channels, highlighting their uncertainties. The results indicate that the extrinsic heavy quark channel, particularly the \begin{document}$ [^3S_1]_{\bar{{3}}} $\end{document} ![]()
![]()
configuration, dominates \begin{document}$ \Xi_{QQ'} $\end{document} ![]()
![]()
production, though other diquark states also contribute significantly. Using quark masses \begin{document}$ m_c = 1.80 \pm 0.10 $\end{document} ![]()
![]()
GeV and \begin{document}$ m_b = 5.1 \pm 0.20 $\end{document} ![]()
![]()
GeV, the study estimates annual event yields at MuIC (\begin{document}$ \sqrt{s} = 1 $\end{document} ![]()
![]()
TeV, luminosity \begin{document}$ {\mathcal L}\simeq 40 $\end{document} ![]()
![]()
\begin{document}$ {\rm{fb}}^{-1} $\end{document} ![]()
![]()
) of \begin{document}$ (3.67^{+1.29}_{-0.91}) \times 10^9 $\end{document} ![]()
![]()
for \begin{document}$ \Xi_{cc} $\end{document} ![]()
![]()
, \begin{document}$ (2.24^{+0.28}_{-0.20}) \times 10^8 $\end{document} ![]()
![]()
for \begin{document}$ \Xi_{bc} $\end{document} ![]()
![]()
, and \begin{document}$ (3.00^{+0.64}_{-0.56}) \times 10^6 $\end{document} ![]()
![]()
for \begin{document}$ \Xi_{bb} $\end{document} ![]()
![]()
. These findings suggest that MuIC will significantly enhance our understanding of doubly heavy baryons.
This study forecasts the production of doubly heavy baryons,
An analysis of the longitudinal structure function at next-to-leading order approximation at small-x
2025, 49(5): 053104. doi: 10.1088/1674-1137/adb70a
Abstract:
The longitudinal structure function is considered as the next-to-leading order approximation using the expansion method, defined by Ducati and Goncalves [Phys. Lett. B 390, 401 (1997)] and further developed by Chen et al. [Chin. Phys. C 48, 063104 (2024)]. This method provides results for a wide range of x and\begin{document}$ Q^2$\end{document} ![]()
![]()
values. The longitudinal structure function has been observed to depend on the fractional momentum carried by gluons at low x. The extracted longitudinal structure functions \begin{document}$ F_{L}(x,Q^2)$\end{document} ![]()
![]()
were in line with the data from the H1 Collaboration [Andreev et al. (H1 Collaboration), Eur. Phys. J. C 74, 2814 (2014)] and the CT18 parametrization method [Hou et al. Phys. Rev. D 103, 014013 (2021)].
The longitudinal structure function is considered as the next-to-leading order approximation using the expansion method, defined by Ducati and Goncalves [Phys. Lett. B 390, 401 (1997)] and further developed by Chen et al. [Chin. Phys. C 48, 063104 (2024)]. This method provides results for a wide range of x and
2025, 49(5): 053105. doi: 10.1088/1674-1137/adbd19
Abstract:
The ultralight dark photon is an intriguing dark matter candidate. The interaction between visible and dark photons is introduced by the gauge kinetic mixing between the field strength tensors of the Abelian gauge groups in the Standard Model and dark sector. Relativistic electrodynamics was generalized to quantum electromagnetodynamics (QEMD) in the presence of both electric and magnetic charges. The photon is described by two four-potentials corresponding to two\begin{document}$ U(1) $\end{document} ![]()
![]()
gauge groups and satisfying non-trivial commutation relations. In this work, we construct low-energy dark photon-photon interactions in the QEMD framework and obtain new dark photon-photon kinetic mixings. Then, we derive the consequent field and Maxwell's equations. We also investigate the detection strategies of dark photons as light dark matter and generic kinetic mixings at haloscope experiments.
The ultralight dark photon is an intriguing dark matter candidate. The interaction between visible and dark photons is introduced by the gauge kinetic mixing between the field strength tensors of the Abelian gauge groups in the Standard Model and dark sector. Relativistic electrodynamics was generalized to quantum electromagnetodynamics (QEMD) in the presence of both electric and magnetic charges. The photon is described by two four-potentials corresponding to two
2025, 49(5): 053106. doi: 10.1088/1674-1137/adb2f7
Abstract:
The direct CP asymmetry in quasi-two-body decays of\begin{document}$ B \rightarrow (V\rightarrow \pi^{+}\pi^{-})P $\end{document} ![]()
![]()
is investigated using the perturbative QCD (PQCD) method, where P represents a pseudoscalar meson, and V refers to ρ, ω, and ϕ mesons. We present the amplitude of the quasi-two-body decay process and investigate the effects of mixed resonances involving \begin{document}$ \rho^{0}-\omega $\end{document} ![]()
![]()
, \begin{document}$ \rho^{0}-\phi $\end{document} ![]()
![]()
, and \begin{document}$ \omega-\phi $\end{document} ![]()
![]()
while considering the impact of isospin symmetry breaking. We observe significant CP asymmetry when the invariant mass of the \begin{document}$ \pi^{+}\pi^{-} $\end{document} ![]()
![]()
pair is within the resonance ranges of ρ, ω, and ϕ mesons. Consequently, we quantify the regional CP asymmetry in these resonance regions. A significant difference is observed when comparing the results obtained with and without the interference of the three vector mesons and isospin conservation. The CP asymmetry results obtained from the three-body decay process, without interference owing to isospin conservation by the PQCD method, are in agreement with the newly updated data acquired by the LHCb experiment.
The direct CP asymmetry in quasi-two-body decays of
2025, 49(5): 053107. doi: 10.1088/1674-1137/adbb5a
Abstract:
With the discovery of a Higgs boson with a mass of 125 gigaelectronvolts (GeV) at the Large Hadron Collider (LHC) at CERN in 2012, the Standard Model (SM) is complete, and despite intensive searches, no new fundamental particle has been observed since then. In fact, a discovery can be challenging without a predictive new physics model because different channels and observables cannot be combined directly and unambiguously. Furthermore, without supporting indirect hints, the signal space to be searched is huge, resulting in diluted significances owing to the look-elsewhere effect. Several LHC processes with multiple leptons in the final state point towards the existence of a new Higgs boson with a mass between 140 GeV to 160 GeV decaying mostly to W bosons. While the former strongly reduces the look-elsewhere effect, the latter indicates that it could be a Higgs triplet with zero hypercharge. Within this simple and predictive extension of the SM, we simulate and combine different channels of di-photon production in association with leptons, missing energy, jets, etc... Using the full run-2 results by ATLAS, including those presented recently at the Moriond conference, an increased significance of 4 standard deviations is obtained for a\begin{document}$\approx$\end{document} ![]()
![]()
152 GeV Higgs. Due to the previously predicted mass range, the look-elsewhere effect is negligible, and this constitutes the highest statistical evidence for a new narrow resonance obtained at the LHC. Furthermore, the model predicts a heavier-than-expected W boson, as indicated by the global electroweak fit. If further substantiated, the discovery of a new Higgs would overthrow the SM, provide a compelling case for the construction of future particle colliders, and pave the way to a novel understanding of the known shortcomings of the SM. In particular, the triplet Higgs field can lead to a strong first-order phase transition and could thus be related to the matter anti-matter asymmetry in our Universe.
With the discovery of a Higgs boson with a mass of 125 gigaelectronvolts (GeV) at the Large Hadron Collider (LHC) at CERN in 2012, the Standard Model (SM) is complete, and despite intensive searches, no new fundamental particle has been observed since then. In fact, a discovery can be challenging without a predictive new physics model because different channels and observables cannot be combined directly and unambiguously. Furthermore, without supporting indirect hints, the signal space to be searched is huge, resulting in diluted significances owing to the look-elsewhere effect. Several LHC processes with multiple leptons in the final state point towards the existence of a new Higgs boson with a mass between 140 GeV to 160 GeV decaying mostly to W bosons. While the former strongly reduces the look-elsewhere effect, the latter indicates that it could be a Higgs triplet with zero hypercharge. Within this simple and predictive extension of the SM, we simulate and combine different channels of di-photon production in association with leptons, missing energy, jets, etc... Using the full run-2 results by ATLAS, including those presented recently at the Moriond conference, an increased significance of 4 standard deviations is obtained for a
2025, 49(5): 054101. doi: 10.1088/1674-1137/ad9306
Abstract:
This study uses the AMPT model in Au+Au collisions to study the influence of the three nucleon correlation\begin{document}$ C_{n^2p} $\end{document} ![]()
![]()
on light nuclei yield ratios. Neglecting \begin{document}$ C_{n^2p} $\end{document} ![]()
![]()
results in an overestimated relative neutron density fluctuation extraction. In contrast, including \begin{document}$ C_{n^2p} $\end{document} ![]()
![]()
enhances the agreement with experimental results with higher yield ratios but does not change the energy dependence of the yield ratio. Since the AMPT model does exhibit a first-order phase transition or critical physics, the study fails to reproduce the experimental energy-dependent peak around \begin{document}$\sqrt{s_{NN}} =$\end{document} ![]()
![]()
20 − 30 GeV. The study'us findings might offer a baseline for investigating critical physics phenomena using light nuclei production as a probe.
This study uses the AMPT model in Au+Au collisions to study the influence of the three nucleon correlation
2025, 49(5): 054102. doi: 10.1088/1674-1137/adaa58
Abstract:
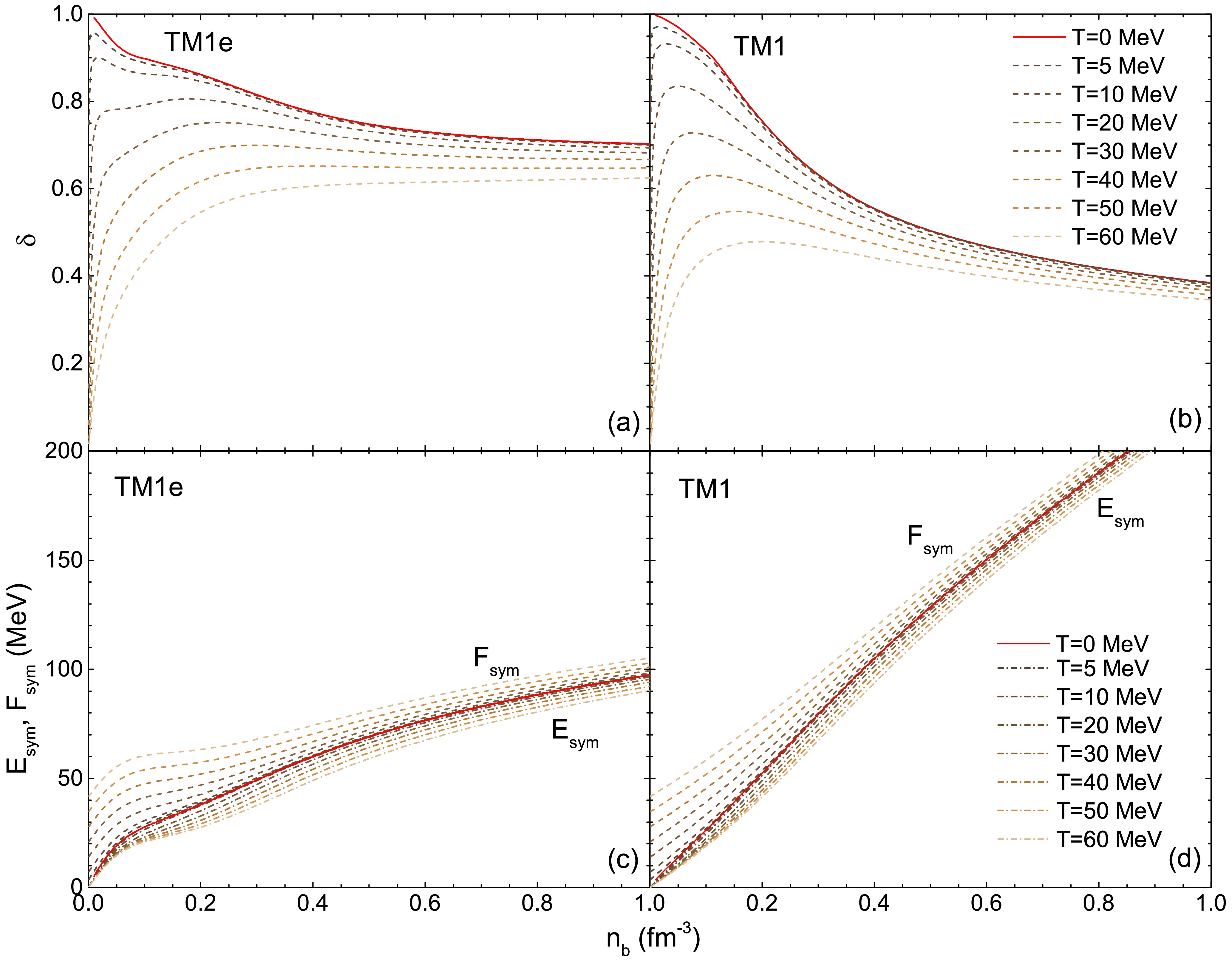
We examine the effects of symmetry energy on proto-neutron stars (PNSs) using an equation of state (EOS) described by the relativistic mean-field (RMF) model. The thermal properties of dense matter and the bulk properties of PNSs are investigated under the assumptions of isothermy, isentropy, and fixed lepton fractions. The polytropic index is calculated at finite temperature, revealing a negative correlation with the maximum mass of a PNS that the EOS can support. The properties of PNSs during the heating and cooling stages along their evolutionary path are explored under different combinations of lepton fraction and entropy. We investigate the correlation between symmetry energy slope L and the properties of PNSs. As L increases, the radius of a PNS also increases; however, this effect diminishes with a growing lepton fraction in the isentropic case. These results indicate that nuclear symmetry energy and its density dependence play crucial roles in determining the properties of PNSs and their evolutionary stages.
We examine the effects of symmetry energy on proto-neutron stars (PNSs) using an equation of state (EOS) described by the relativistic mean-field (RMF) model. The thermal properties of dense matter and the bulk properties of PNSs are investigated under the assumptions of isothermy, isentropy, and fixed lepton fractions. The polytropic index is calculated at finite temperature, revealing a negative correlation with the maximum mass of a PNS that the EOS can support. The properties of PNSs during the heating and cooling stages along their evolutionary path are explored under different combinations of lepton fraction and entropy. We investigate the correlation between symmetry energy slope L and the properties of PNSs. As L increases, the radius of a PNS also increases; however, this effect diminishes with a growing lepton fraction in the isentropic case. These results indicate that nuclear symmetry energy and its density dependence play crucial roles in determining the properties of PNSs and their evolutionary stages.
2025, 49(5): 054103. doi: 10.1088/1674-1137/adaa59
Abstract:
Studying percolation phase transitions offers valuable insights into the characteristics of phase transitions, shedding light on the underlying mechanisms that govern the formation of global connectivity within a system. We explore the percolation phase transition in the 3D cubic Ising model by employing two machine learning techniques. Our results demonstrate that machine learning methods can distinguish different phases during the percolation transition. Through the finite-size scaling analysis on the output of the neural networks, the percolation temperature and a correlation length exponent in the geometrical percolation transition are extracted and compared to those in the thermal magnetization phase transition within the 3D Ising model. These findings provide a valuable method for enhancing our understanding of the properties of the QCD critical point, which belongs to the same universality class as the 3D Ising model.
Studying percolation phase transitions offers valuable insights into the characteristics of phase transitions, shedding light on the underlying mechanisms that govern the formation of global connectivity within a system. We explore the percolation phase transition in the 3D cubic Ising model by employing two machine learning techniques. Our results demonstrate that machine learning methods can distinguish different phases during the percolation transition. Through the finite-size scaling analysis on the output of the neural networks, the percolation temperature and a correlation length exponent in the geometrical percolation transition are extracted and compared to those in the thermal magnetization phase transition within the 3D Ising model. These findings provide a valuable method for enhancing our understanding of the properties of the QCD critical point, which belongs to the same universality class as the 3D Ising model.
2025, 49(5): 054104. doi: 10.1088/1674-1137/adb2fa
Abstract:
In this study, the accuracy of the Finite-Range Droplet Model 2012 (FRDM) in describing the α decay energies of the 947 known heavy and superheavy nuclei is investigated. We find evident discrepancies between the α decay energies obtained using the FRDM and those reported by the evaluated atomic mass table AME 2020 (AME). In particular, the FRDM underestimates the experimental α decay energies of superheavy nuclei. The α decay energies of known nuclei obtained using the FRDM are optimized using a neural network approach, i.e., FRDM-NN, and the accuracy improves significantly. The α decay energy systematics obtained using both the FRDM and FRDM-NN exhibit an evident shell effect at neutron number\begin{document}$ N=184$\end{document} ![]()
![]()
, implying that \begin{document}$ N=184$\end{document} ![]()
![]()
may be the magic number of the superheavy nucleus region. The α decay half-lives of known superheavy nuclei are calculated using the Generalized Liquid Drop Model (GLDM) and Royer formula with the input of the optimized α decay energies obtained using the FRDM-NN, and the calculations can reproduce the experimental data well. The α decay half-lives of unknown superheavy nuclei, in particular, superheavy nuclei with \begin{document}$ Z=119$\end{document} ![]()
![]()
and 120, are also predicted using the GLDM and Royer formula with the input of the α decay energy obtained using the FRDM-NN. The relative error of two types of predicted α decay half-lives and superposition are analyzed, and the average predictions are given. The α decay energies predicted by the FRDM-NN and the α decay half-lives calculated using the GLDM and Royer formula can provide references for the experimental synthesis of new superheavy elements with \begin{document}$Z=119$\end{document} ![]()
![]()
and 120.
In this study, the accuracy of the Finite-Range Droplet Model 2012 (FRDM) in describing the α decay energies of the 947 known heavy and superheavy nuclei is investigated. We find evident discrepancies between the α decay energies obtained using the FRDM and those reported by the evaluated atomic mass table AME 2020 (AME). In particular, the FRDM underestimates the experimental α decay energies of superheavy nuclei. The α decay energies of known nuclei obtained using the FRDM are optimized using a neural network approach, i.e., FRDM-NN, and the accuracy improves significantly. The α decay energy systematics obtained using both the FRDM and FRDM-NN exhibit an evident shell effect at neutron number
2025, 49(5): 054105. doi: 10.1088/1674-1137/adb2f8
Abstract:
Cd isotopes exhibit multiphonon excitations involving particle-hole configurations, which makes them potential candidates for studying the coexistence of normal and intruder states. However, the presence of intruder states in Cd isotopes is more pronounced. Therefore, the two-state mixing model is suitable for explaining the band mixing observed in this study. This study utilizes a simple two-state mixing model to analyze the ground and excited states of Cd isotopes. The mixing between the lowest vibrational and rotational\begin{document}$0^+$\end{document} ![]()
![]()
and \begin{document}$2^+$\end{document} ![]()
![]()
states and the sum of the second and third states of each \begin{document}$J^p$\end{document} ![]()
![]()
are estimated and compared. The calculations indicate that the mixing is more significant in 114Cd than in 116Cd.
Cd isotopes exhibit multiphonon excitations involving particle-hole configurations, which makes them potential candidates for studying the coexistence of normal and intruder states. However, the presence of intruder states in Cd isotopes is more pronounced. Therefore, the two-state mixing model is suitable for explaining the band mixing observed in this study. This study utilizes a simple two-state mixing model to analyze the ground and excited states of Cd isotopes. The mixing between the lowest vibrational and rotational
2025, 49(5): 054106. doi: 10.1088/1674-1137/adb2fc
Abstract:
In this study, a Glauber-type model for describing nuclear fragmentation in light targets at energies below 100\begin{document}$A\cdot$\end{document} ![]()
![]()
MeV is presented. It is developed based on the Glauber model within the nucleon transparent limit, in which the Lorentz-invariant phase space factor is introduced to account for energy and momentum conservation. Accordingly, the scope of the applicability of the model is discussed. The longitudinal momentum distributions of the most neutron-rich nuclei (10Be, 9Li, and 8He), which were produced in a few nucleon removal reactions during the 11B fragmentation of a Be target at beam energies of 10, 30, and 100 \begin{document}$A\cdot$\end{document} ![]()
![]()
MeV, are calculated. The results of the calculations are then compared to the predictions of statistical fragmentation models, such as the Goldhaber model. Using the new model, the asymmetric longitudinal momentum distributions at low energies are explained by the kinematical locus and geometry of the reaction.
In this study, a Glauber-type model for describing nuclear fragmentation in light targets at energies below 100
2025, 49(5): 054107. doi: 10.1088/1674-1137/ada3cc
Abstract:
The\begin{document}$ ^{252} {\rm{Cf}}$\end{document} ![]()
![]()
isotope produced at Oak Ridge National Laboratory is a promising target material for the synthesis of new superheavy nuclei through fusion reaction experiments. Within the framework of the dinuclear system model, reaction systems with the \begin{document}$ ^{252} {\rm{Cf}}$\end{document} ![]()
![]()
target and \begin{document}$ ^{48} {\rm{Ca}}$\end{document} ![]()
![]()
, \begin{document}$ ^{45} {\rm{Sc}}$\end{document} ![]()
![]()
, \begin{document}$ ^{50} {\rm{Ti}}$\end{document} ![]()
![]()
, \begin{document}$ ^{51} {\rm{V}}$\end{document} ![]()
![]()
, \begin{document}$ ^{54} {\rm{Cr}}$\end{document} ![]()
![]()
, and \begin{document}$ ^{55} {\rm{Mn}}$\end{document} ![]()
![]()
projectiles are investigated for the synthesis of the new isotopes \begin{document}$ ^{295-297} {\rm{Og}}$\end{document} ![]()
![]()
, \begin{document}$ ^{292-294} {\rm{119}}$\end{document} ![]()
![]()
, \begin{document}$ ^{297-299} {\rm{120}}$\end{document} ![]()
![]()
, \begin{document}$ ^{298-300} {\rm{121}}$\end{document} ![]()
![]()
, \begin{document}$ ^{301-303} {\rm{122}}$\end{document} ![]()
![]()
, and \begin{document}$ ^{302-304} {\rm{123}}$\end{document} ![]()
![]()
. The decreasing trend of maximal evaporation residue cross sections with the increasing proton number of the compound nucleus is discussed in the capture, fusion, and survival stages. Additionally, radioactive beam-induced reactions based on the \begin{document}$ ^{252} {\rm{Cf}}$\end{document} ![]()
![]()
target are investigated to reach the predicted neutron shell closure N = 184, with the maximal evaporation residue cross section predicted to be 21 fb for synthesizing \begin{document}$ ^{302} {\rm{Og}}$\end{document} ![]()
![]()
. The predicted results fall below the current detection limitation, indicating the necessity for advancement in both accelerator and detection techniques, as well as exploration of alternative reaction mechanisms.
The
2025, 49(5): 054108. doi: 10.1088/1674-1137/ada7d0
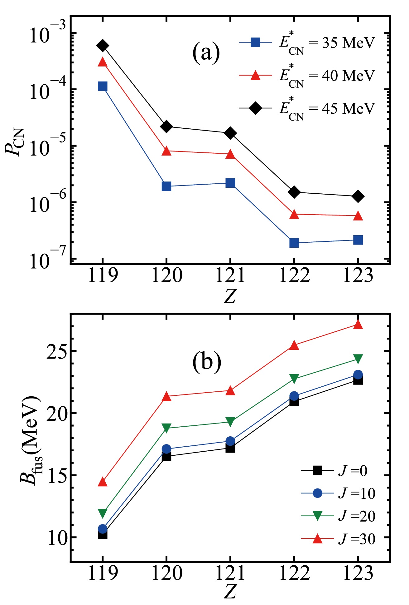
Abstract:
The present manuscript investigates the fusion-ER cross-sections of different projectile-target combinations, namely, 16O+148,150Nd, 165Ho, 194Pt, 18O+148Nd, 194Pt, 192Os, 19F+188Os, and 30Si+170Er, consisting of quadrupole (\begin{document}$ \beta_2 $\end{document} ![]()
![]()
) and hexadecapole (\begin{document}$ \beta_4 $\end{document} ![]()
![]()
) deformed target nuclei. The study analyzes the influence of higher-order deformations and corresponding orientation criteria adopted for the exploration of the dynamics of the considered nuclei. The influence of these parameters has been studied in terms of capture cross-section (\begin{document}$\sigma_{\rm cap}$\end{document} ![]()
![]()
), compound nucleus (CN) formation probability (\begin{document}$P_{\rm CN}$\end{document} ![]()
![]()
), survival probability (\begin{document}$W_{\rm sur}$\end{document} ![]()
![]()
), and the fusion-ER cross-sections across center of mass energies (\begin{document}$E_{\rm c.m.}$\end{document} ![]()
![]()
). The study recognizes the importance of the fission barrier in determining the survival probability (\begin{document}$W_{\rm sur}$\end{document} ![]()
![]()
) of the compound nucleus and subsequently the ER cross-sections. A discrepancy among the calculated and experimental ER cross-sections is observed, particularly in reactions with lower fission barriers. In reactions with a lower fission barrier of formed CN, the level density parameter ratio (\begin{document}$ a_f/a_n $\end{document} ![]()
![]()
) of the fission and neutron-evaporation channels assists in the study of experimental data.
The present manuscript investigates the fusion-ER cross-sections of different projectile-target combinations, namely, 16O+148,150Nd, 165Ho, 194Pt, 18O+148Nd, 194Pt, 192Os, 19F+188Os, and 30Si+170Er, consisting of quadrupole (
2025, 49(5): 054109. doi: 10.1088/1674-1137/ada34f
Abstract:
Heavy-ion fusion reactions are relevant to numerous important issues in the stellar environment as well as in the synthesis of new nuclides and superheavy elements. In this study, the role of Pauli blocking and the isospin effect in sub-barrier fusion reactions is investigated using the well established coupled-channel method. An isospin-dependent Pauli blocking potential is proposed to better address the deep sub-barrier fusion hindrance problem. We find that the Pauli blocking effect manifests itself strongly for isospin symmetric targets and is reduced for targets with large isospin asymmetries. The agreement between experimental and theoretical fusion cross sections is improved for both the 12C-target and 16O-target systems.
Heavy-ion fusion reactions are relevant to numerous important issues in the stellar environment as well as in the synthesis of new nuclides and superheavy elements. In this study, the role of Pauli blocking and the isospin effect in sub-barrier fusion reactions is investigated using the well established coupled-channel method. An isospin-dependent Pauli blocking potential is proposed to better address the deep sub-barrier fusion hindrance problem. We find that the Pauli blocking effect manifests itself strongly for isospin symmetric targets and is reduced for targets with large isospin asymmetries. The agreement between experimental and theoretical fusion cross sections is improved for both the 12C-target and 16O-target systems.
2025, 49(5): 054110. doi: 10.1088/1674-1137/adb306
Abstract:
In this study, we explore the effect of the deformation of nuclei on collective flow in relativistic heavy-ion collisions. The parameter associated with the geometrical deformation in the Glauber model is tuned to reproduce the empirical multiplicity probability distributions correctly. Subsequently, the particle spectra and collective flows for Au+Au and U+U collisions are evaluated using a hybrid hydrodynamic code CHESS. We analyze the effects of the degrees of freedom associated with the initial conditions on the final-state flow harmonics by exploring the parameter space of U+U collisions. The connection between the deformation parameters, specifically\begin{document}$ \beta_2 $\end{document} ![]()
![]()
and \begin{document}$ \beta_4 $\end{document} ![]()
![]()
, and the flow anisotropies is scrutinized. In particular, deviations in elliptic flow at \begin{document}$ p_{\mathrm{T}}\sim 2 $\end{document} ![]()
![]()
GeV are observed at smaller values of \begin{document}$ \beta_2 $\end{document} ![]()
![]()
in Au+Au collisions. In contrast, for U+U collisions, the averaged overall flow harmonics are found to be less sensitive to geometrical parameters. Despite the difference in model specifications, our findings largely confirm those obtained in previous studies employing different approaches, which indicate that flow harmonics can be used as a sensible probe for initial geometry fluctuations and to discriminate between different theoretical models.
In this study, we explore the effect of the deformation of nuclei on collective flow in relativistic heavy-ion collisions. The parameter associated with the geometrical deformation in the Glauber model is tuned to reproduce the empirical multiplicity probability distributions correctly. Subsequently, the particle spectra and collective flows for Au+Au and U+U collisions are evaluated using a hybrid hydrodynamic code CHESS. We analyze the effects of the degrees of freedom associated with the initial conditions on the final-state flow harmonics by exploring the parameter space of U+U collisions. The connection between the deformation parameters, specifically
2025, 49(5): 054111. doi: 10.1088/1674-1137/adb2fb
Abstract:
We investigate the breakup of the\begin{document}$ ^{11} {\rm{Be}}$\end{document} ![]()
![]()
halo nucleus on a light target (\begin{document}$ ^{12} {\rm{C}}$\end{document} ![]()
![]()
) within the quantum-quasiclassical approach in a wide range of beam energy (5–67 MeV/nucleon), including bound states and low-lying resonances in different partial and spin states of \begin{document}$ ^{11} {\rm{Be}}$\end{document} ![]()
![]()
. The obtained results are in good agreement with existing experimental data at 67 MeV/nucleon. Furthermore, we demonstrate that the developed computational scheme can be used for investigating nuclei spectral properties in low-energy breakup experiments on different targets.
We investigate the breakup of the
2025, 49(5): 054112. doi: 10.1088/1674-1137/adb70b
Abstract:
In this study, Langevin approach incorporated with the statistical model is adopted to investigate independent fission yields for a large quantity of fission products and the dependence of prompt fission observables on the incident neutron energy in\begin{document}$ ^{235} $\end{document} ![]()
![]()
U(n, f). The neutron evaporation from the fission process is considered by coupling the Weisskopf statistical model to Langevin dynamical simulation, where the potential energy surface of the respective fissioning nucleus from each fission chance is calculated using the macroscopic-microscopic model within the two-center shell model. The partitions of the charge and total excitation energy between the two complementary fragments are evaluated such that the prompt neutron emissions from fission fragments can be described based on the characteristics of primary fragments. With the present model, the calculated independent fission yields of the isotopes from Z = 30−61 in 14 MeV n+\begin{document}$ ^{235} $\end{document} ![]()
![]()
U fission are in good agreement with the evaluated data from ENDF/B-VIII.0. Moreover, the evolution of the independent mass yields and the cumulative yields for select isotopes with the incident neutron energy, as well as the tendency of both the average TKE and prompt neutron multiplicity with the increase in the incident neutron energy, are consistent with the experimental data. The present model can aid in reproducing prompt fission observables across a range of incident neutron energies for major actinides.
In this study, Langevin approach incorporated with the statistical model is adopted to investigate independent fission yields for a large quantity of fission products and the dependence of prompt fission observables on the incident neutron energy in
2025, 49(5): 055101. doi: 10.1088/1674-1137/adb2fd
Abstract:
From an astrophysical perspective, the composition of black holes (BHs), dark matter (DM), and dark energy can be an intriguing physical system. In this study, we consider Schwarzschild BHs embedded in a Dehnen-type DM halo with a quintessential field. This study examines the horizons, shadows, deflection angle, and quasinormal modes (QNMs) of the effective BH spacetime and how they are affected by the dark sector. The Schwarzschild BH embodied in a Dehnen-type DM halo with a quintessential field possesses two horizons: the event and cosmological horizons. We demonstrate that all dark sector parameters increase the event horizon while decreasing the cosmological horizon. We analyze the BH shadow and emphasize the impact of DM and quintessence parameters on the shadow. We show that the dark sector casts larger shadows than a Schwarzschild BH in a vacuum. Further, we delve into the weak gravitational lensing deflection angle using the Gauss-Bonnet theorem (GBT). We then investigate the system's QNMs using the 6th order WKB approach. To visually demonstrate the dark sector parameters, we present figures that illustrate the impact of varying the parameters of the Dehnen-type DM halo as well as the quintessence background. Our findings show that the gravitational waves emitted by BHs with a dark sector have a lower frequency and decay rate compared to those emitted by BHs in a vacuum.
From an astrophysical perspective, the composition of black holes (BHs), dark matter (DM), and dark energy can be an intriguing physical system. In this study, we consider Schwarzschild BHs embedded in a Dehnen-type DM halo with a quintessential field. This study examines the horizons, shadows, deflection angle, and quasinormal modes (QNMs) of the effective BH spacetime and how they are affected by the dark sector. The Schwarzschild BH embodied in a Dehnen-type DM halo with a quintessential field possesses two horizons: the event and cosmological horizons. We demonstrate that all dark sector parameters increase the event horizon while decreasing the cosmological horizon. We analyze the BH shadow and emphasize the impact of DM and quintessence parameters on the shadow. We show that the dark sector casts larger shadows than a Schwarzschild BH in a vacuum. Further, we delve into the weak gravitational lensing deflection angle using the Gauss-Bonnet theorem (GBT). We then investigate the system's QNMs using the 6th order WKB approach. To visually demonstrate the dark sector parameters, we present figures that illustrate the impact of varying the parameters of the Dehnen-type DM halo as well as the quintessence background. Our findings show that the gravitational waves emitted by BHs with a dark sector have a lower frequency and decay rate compared to those emitted by BHs in a vacuum.
2025, 49(5): 055102. doi: 10.1088/1674-1137/adb384
Abstract:
We investigate the optical properties of the spacetime surrounding a Sen black hole, focusing on the black hole shadow, weak gravitational lensing, and time delay effects. Our analysis reveals that the effective charge of the Sen black hole significantly influences these phenomena. Specifically, an increase in the effective charge leads to a decrease in the radius of the photon sphere and a corresponding decrease in the size of the black hole shadow. Additionally, the bending angle of light rays diminishes as the effective charge increases. Our study provides observational bounds on the effective charge based on these optical characteristics. We also examine the magnification of source brightness using the lens equation and analyze the time delay of light in the presence of a surrounding plasma medium. Our findings offer new insights into the impact of effective charge and plasma on the observational signatures of Sen black holes.
We investigate the optical properties of the spacetime surrounding a Sen black hole, focusing on the black hole shadow, weak gravitational lensing, and time delay effects. Our analysis reveals that the effective charge of the Sen black hole significantly influences these phenomena. Specifically, an increase in the effective charge leads to a decrease in the radius of the photon sphere and a corresponding decrease in the size of the black hole shadow. Additionally, the bending angle of light rays diminishes as the effective charge increases. Our study provides observational bounds on the effective charge based on these optical characteristics. We also examine the magnification of source brightness using the lens equation and analyze the time delay of light in the presence of a surrounding plasma medium. Our findings offer new insights into the impact of effective charge and plasma on the observational signatures of Sen black holes.
2025, 49(5): 055103. doi: 10.1088/1674-1137/ada34a
Abstract:
In this work, we develop a general perturbative procedure to determine the off-equatorial plane deflections in the weak deflection limit in general stationary and axisymmetric spacetimes, enabling the existence of the generalized Carter constant. Deflections of both null and timelike rays, with the finite distance effect of the source and detector considered, are obtained as dual series of\begin{document}$M/r_0$\end{document} ![]()
![]()
and \begin{document}$r_0/r_{s,d}$\end{document} ![]()
![]()
. These deflections enable a set of exact gravitational lensing equations from which the apparent angular positions of the images are solved. The method and general results are then applied to the Kerr-Newmann, Kerr-Sen, and rotating Simpson-Visser spacetimes to study the effect of the spin and characteristic (effective) charge of the spacetimes and the source altitude on the deflection angles and image apparent angles. We find that, generally, both the spacetime spin and charge affect only the deflections from the second non-trivial order, whereas the source altitude influences the deflection from the leading order. Because of this, measuring the effects of the spacetime spin and charge from the apparent locations of the images in gravitational lensing in realistic scenarios is difficult. We also present the off-equatorial deflections in the rotating Bardeen, Hayward, Ghosh, and Tinchev black hole spacetimes.
In this work, we develop a general perturbative procedure to determine the off-equatorial plane deflections in the weak deflection limit in general stationary and axisymmetric spacetimes, enabling the existence of the generalized Carter constant. Deflections of both null and timelike rays, with the finite distance effect of the source and detector considered, are obtained as dual series of
2025, 49(5): 055104. doi: 10.1088/1674-1137/adb70c
Abstract:
This study investigates back-reaction effects from matter accretion onto a cylindrically symmetric black hole using a perturbative scheme, focusing on cases where accretion reaches a quasi-steady state. We examine three distinct models by deriving corrections to the metric coefficients and obtaining expressions for the mass function. We analyze energy conditions and the self-consistency of the corrected solution and present formulas for the corrected apparent horizon and discussed thermodynamic properties. Our results align with the Vaidya form near the apparent horizon, regardless of the energy-momentum tensor form. Furthermore, we show that for a charged cylindrically symmetric black hole, the corrected mass term resembles that of a static case, indicating that charge does not alter the corrected metric form in this perturbative approach.
This study investigates back-reaction effects from matter accretion onto a cylindrically symmetric black hole using a perturbative scheme, focusing on cases where accretion reaches a quasi-steady state. We examine three distinct models by deriving corrections to the metric coefficients and obtaining expressions for the mass function. We analyze energy conditions and the self-consistency of the corrected solution and present formulas for the corrected apparent horizon and discussed thermodynamic properties. Our results align with the Vaidya form near the apparent horizon, regardless of the energy-momentum tensor form. Furthermore, we show that for a charged cylindrically symmetric black hole, the corrected mass term resembles that of a static case, indicating that charge does not alter the corrected metric form in this perturbative approach.
2025, 49(5): 055105. doi: 10.1088/1674-1137/adb307
Abstract:
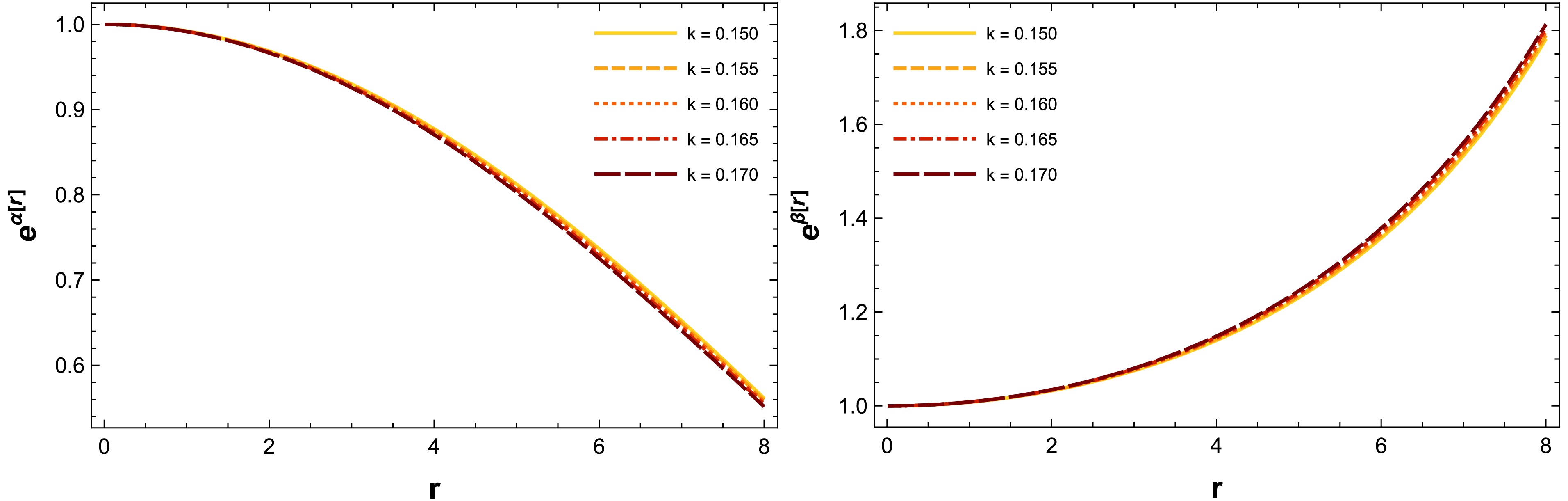
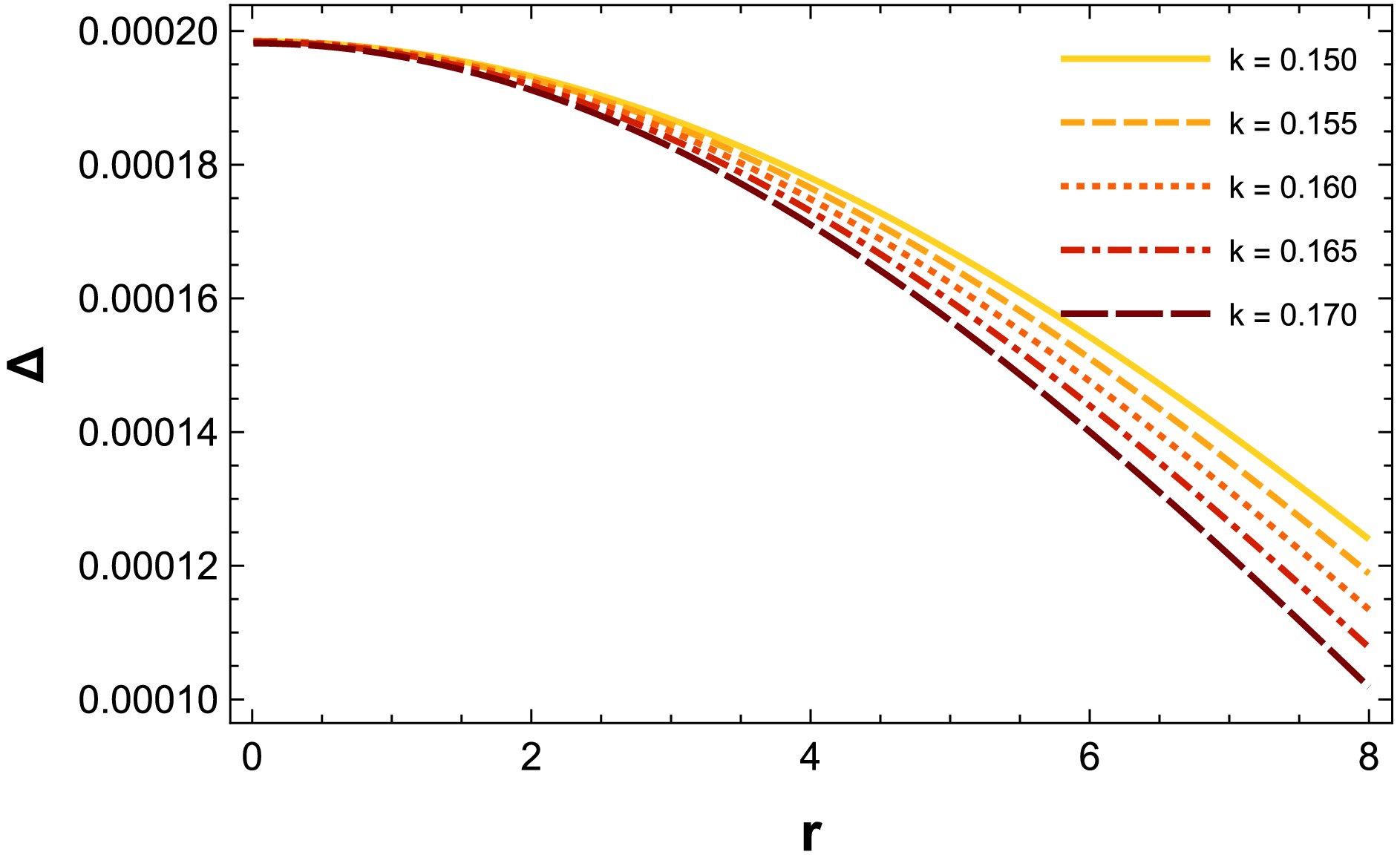
This paper presents an innovative framework for modeling anisotropic compact stars by incorporating the density profile of Bose-Einstein condensate dark matter within the\begin{document}$ f(Q) $\end{document} ![]()
![]()
gravity framework. This approach provides new insights into the dynamics of compact stars and the role of dark matter in their structure. We derive the metric potential for compact stellar configurations and calculate the associated unknown parameters. Analyzing the physical properties of the compact star PSR J1614-2230 across various values of k, we find that the derived interior solutions for anisotropic stars satisfy all essential physical conditions, thereby confirming the robustness and stability of the proposed model.
This paper presents an innovative framework for modeling anisotropic compact stars by incorporating the density profile of Bose-Einstein condensate dark matter within the
2025, 49(5): 055106. doi: 10.1088/1674-1137/adabd0
Abstract:
In this study, we investigate the Hawking radiation of the quantum Oppenheimer-Snyde black hole using the tunneling scheme proposed by Parikh and Wilczek. We calculate the emission rate of massless scalar particles. Compared with the traditional results within the framework of General Relativity, our findings include quantum correction terms resulting from loop quantum gravity effects. Using the approach in [J. Zhang, Phys. Lett. B 668(5), 353 (2008); J. Zhang, Phys. Lett. B 675(1), 14 (2009)], we establish the entropy of the black hole. This entropy includes a logarithmic correction, which results from quantum gravity effects. Our result is consistent with the well-known result in the context of quantum gravity.
In this study, we investigate the Hawking radiation of the quantum Oppenheimer-Snyde black hole using the tunneling scheme proposed by Parikh and Wilczek. We calculate the emission rate of massless scalar particles. Compared with the traditional results within the framework of General Relativity, our findings include quantum correction terms resulting from loop quantum gravity effects. Using the approach in [J. Zhang, Phys. Lett. B 668(5), 353 (2008); J. Zhang, Phys. Lett. B 675(1), 14 (2009)], we establish the entropy of the black hole. This entropy includes a logarithmic correction, which results from quantum gravity effects. Our result is consistent with the well-known result in the context of quantum gravity.
2025, 49(5): 055107. doi: 10.1088/1674-1137/adbc87
Abstract:
The Hubble constant\begin{document}$H_0$\end{document} ![]()
![]()
, a key parameter quantifying the present expansion rate of the universe, remains a subject of significant debate due to the persistent tension between early- and late-universe measurements. Strong gravitational lensing (SGL) time delays provide an independent avenue to constrain \begin{document}$H_0$\end{document} ![]()
![]()
. In this paper, we utilize seven SGL systems from the TDCOSMO sample to constrain \begin{document}$H_0$\end{document} ![]()
![]()
, employing the model-independent approaches: deep neural networks (DNN), Gaussian process (GP), polynomial fitting (polyfit) and Padé approximant (PA). Using these methods, we reconstruct unanchored luminosity distances from the Pantheon+ SNe Ia dataset and obtain \begin{document}$H_0=72.3^{+3.8}_{-3.6}$\end{document} ![]()
![]()
km s−1 Mpc−1, \begin{document}$H_0=72.4^{+1.6}_{-1.7}$\end{document} ![]()
![]()
km s−1 Mpc−1, \begin{document}$H_0=70.7^{+3.0}_{-3.1}$\end{document} ![]()
![]()
km s−1 Mpc−1 and \begin{document}$H_0=74.0^{+2.7}_{-2.7}$\end{document} ![]()
![]()
km s−1 Mpc−1, respectively. These estimates are consistent within 1σ level and align with local distance ladder results. Notably, the GP method achieves uncertainties that are half those of the DNN approach, whereas the DNN method offers more reliable confidence intervals in reconstruction at high redshifts. Our findings underscore the potential of these methodologies to refine constraints on \begin{document}$H_0$\end{document} ![]()
![]()
and contribute to resolving the Hubble tension with future advancements.
The Hubble constant
ISSN 1674-1137 CN 11-5641/O4
Original research articles, Ietters and reviews Covering theory and experiments in the fieids of
- Particle physics
- Nuclear physics
- Particle and nuclear astrophysics
- Cosmology
Author benefits
- A SCOAP3 participating journal - free Open Access publication for qualifying articles
- Average 24 days to first decision
- Fast-track publication for selected articles
- Subscriptions at over 3000 institutions worldwide
- Free English editing on all accepted articles
News
- Chinese Physics C Outstanding Reviewer Award 2023
- Impact factor of Chinese Physics C is 3.6 in 2022
- 2022 CPC Outstanding Reviewer Awards
- The 2023 Chinese New Year-Office closure
- ãChinese Physics CãBEST PAPER AWARDS 2022
Cover Story
- Cover Story (Issue 9, 2025): Precise measurement of Ïc0 resonance parameters and branching fractions of Ïc0,c2âÏï¼Ïï¼/ K+K-
- Cover Story (Issue 8, 2025) A Novel Perspective on Spacetime Perturbations: Bridging Riemannian and Teleparallel Frameworks
- Cover Story (Issue 7, 2025) Evidence of the negative parity linear chain states in 16C
- Cover Story (Issue 1, 2025) Comments on Prediction of Energy Resolution inthe JUNO Experiment
- Cover Story (Issue 12, 2024) | Doubly heavy meson puzzle: precise prediction of the mass spectra and hadronic decay with coupled channel effects to hunt for beauty-charm family












