-
The nuclear radii stand as a pivotal observable parameter for elucidating nuclear structure [1]. By definition, the charge distribution of a nucleus is characterized by the
$ \langle r^{2}\rangle_{ch} $ , whereas the neutron and proton distributions are described by the$ \langle r^{2}\rangle_{n} $ and$ \langle r^{2}\rangle_{p} $ , respectively.Experimentally, several techniques have been used to determine the rms nuclear charge radii. Three methods have proven particularly effective: electron scattering experiments, muonic spectra analyses, and measurements of optical and
$ K_{\alpha} $ X-ray isotope shifts [2]. For example, electron scattering experiments with energies up to 125 and 150 MeV have been conducted [3]. These experiments measured the angular distribution of cross sections related to form factors. This measurement, in turn, enables the deduction of the nuclear charge distribution.Muonic spectra offer an alternative approach to determine
$ \langle r^{2}\rangle_{ch} $ . Muons are 207 times heavier than electrons. Due to this greater mass, they have smaller orbital radii and a higher degree of overlap with the nuclear wave function. Spectra from the$ 2p\rightarrow1s $ muon de-excitation process have been used to extract$ \langle r^{2}\rangle_{ch} $ [4]. Additionally, isotope shifts cause differences in atomic spectra. When these spectral differences are combined with precise atomic structure calculations, they can also yield the rms nuclear charge radius [5].The rms nuclear matter radii can be determined from analysis of the interaction cross sections in heavy ion collisions at high energies, classically the interaction cross section
$ \sigma $ is given by the formula$ \sigma=\pi(R_{T}+R_{P})^{2} $ , with$ R_{T} $ and$ R_{P} $ denoting the radii of the target and projectile nuclei, respectively [6−8], quantization analysis is accomplished through Glauber-model [9−11]. Using peripheral collisions, the rms radii of point proton distributions can be obtained from charge-changing interaction cross sections at intermediate energies, as these cross sections are related to both proton and neutron distributions [12, 13]. Moreover, the rms radii of point proton distributions can be derived from charge radii data using the relation [14]:$ \sqrt{\langle r^{2}\rangle_{p}}=\sqrt{\langle r^{2}\rangle_{ch}-0.76+0.11(N/Z)} $ .Theoretically, advanced approaches such as ab initio theory [15, 16], shell model theory [17], and mean field theory [18−20] have been extensively used to calculate the rms nuclear charge, neutron, and proton radii.
Optical Model Potentials (OMPs) play a critical role in understanding nuclear reaction mechanisms. OMPs are obtained by fitting experimental data. Systematic OMPs are derived from a broad range of target nuclei and projectile energies [21−23]. They significantly reduce uncertainties and enhance the reliability of predictions [21]. Xu et al. conducted sensitivity tests of potential parameters in 2013 [23], while Zhang et al. reported on the sensitivity of neutron density distributions for OMPs in 2014 [24]. In 2023, Yang et al. applied systematic OMPs to heavy ions [21]. These previous studies make it possible to extract the rms nuclear proton radii with the optical model analyses of elastic scattering data. Regarding the isotopes under investigations, elastic electron scattering measurements for 6Li and 7Li, 10B and 11B were reported by F.A. Bumiller in 1972 [25] and T. Stovall in 1966 [26]. However, 8Li is unstable with a half-life of 837.7 ms [27], rendering elastic electron scattering unsuitable for measuring its charge radius. Instead, by using stable Lithium isotopes (6Li or 7Li) as references through isotope shift measurements, the charge radius of 8Li can be determined [28]. In 2019, Bernhard Maass achieved the first isotope shift measurements for 10B and 11B, providing an improvement of the experimental precision compared to that of the elastic electron scattering [29]. As of now, only the rms radius of the point proton distribution for 11B has been analyzed from charge-changing interactions, as reported by Yoshiko in 2015 [15]. This paper is structured as follows. Section II details the formalism considered in the present work, encompassing the nucleus-nucleus potential used to extract the rms nuclear proton radii. Section III presents the descriptions of the angular distributions of elastic scattering with different nucleon density distributions. Section IV presents results of the proton radii, accompanied by comparisons with other experimental and theoretical results. Finally, in Section V, a summary of this study is given.
-
The angular distributions of elastic scattering were analyzed within the framework of the optical model. The effective interactions are characterized by a long-range repulsive Coulomb potential
$ V_{C}(R) $ and a short-range attractive nuclear potential$ U_{N}(R) $ which are combined as follows:$ U(R,E_{\rm{lab}})=U_{N}(R,E_{\rm{lab}})+V_{C}(R), $

(1) Here, R denotes the vector connecting the center of mass (c.m.) of the target nucleus to that of the projectile, while
$ E_{\rm{lab}} $ represents the incident energy in the laboratory frame. It should be noted that$ U_{N}(R,E_{\rm{lab}}) $ is derived from the Bruyères Jeukenne-Lejeune-Mahaux (JLMB) effective interaction. Thus, it represents an optical potential rather than a bare potential. For the Coulomb component$ V_{C}(R) $ , we adopted a conventional model. This model assumes a uniform charge distribution in spherical nuclei, and it is defined as follows:$ V_{C}(R)=\left\{ \begin{array}{*{20}{l}} \dfrac{Z_{P}Z_{T}e^{2}}{R} & (R>R_{C}) \\ \dfrac{Z_{P}Z_{T}e^{2}}{2R_{c}}\left[3-\dfrac{R^{2}}{R_{C}^{2}}\right] & (R \leqslant R_{C}) \end{array} \right., $

(2) In this equation, the charge radius
$ R_{C} $ was assumed to be 1.3$ \times (A_{P}^{1/3}+A_{T}^{1/3}) $ fm, with$ A_{P} $ and$ A_{T} $ signifying the mass numbers of the projectile and target nuclei, respectively. For the nuclear component, the systematic nucleus-nucleus potential proposed in Ref. [21] was employed. The real and imaginary parts of the complex$ U_{N}(R,E_{\rm{lab}}) $ potential were computed using the single-folding model. The renormalization factors$ N_{r} $ and$ N_{i} $ were determined through analysis of experimental data for stable nuclei [21]:$ U_{N}(R,E_{\rm{lab}})=N_{r}{\rm{Re}}[U_{{\rm{sf}}}]+N_{i}{\rm{Im}}[U_{{\rm{sf}}}], $

(3) Here,
$ U_{{\rm{sf}}} $ represents the single-folding model potential experienced by a projectile nucleus during its collision with a target nucleus at the incident energy$ E_{\rm{lab}} $ . This potential requires renormalization due to the composite nature of the projectile nucleus and is expressed by the formula:$ U_{{\rm{sf}}}(R,E_{\rm{lab}})=\sum\limits_{i=p,n}\int\rho_{i}({\boldsymbol{r}})v(E_{\rm{lab}}/A_{P},|{\boldsymbol{s}}|)d{\boldsymbol{r}}. $

(4) In this expression,
$ {\boldsymbol{s}} = {\boldsymbol{R}}+{\boldsymbol{r}} $ is the vector from the c.m. of the target to the nucleon of the projectile. The interaction$ v(E_{\rm{lab}}/A_{P},|{\boldsymbol{s}}|) $ between a free nucleon and the target nucleus was assumed to follow the semimicroscopic Lane-consistent JLMB model potential in the present calculations. Additionally,$ \rho_{i}({\boldsymbol{r}}) $ denotes the nucleon density distribution (i = p for proton and i = n for neutron) within the projectile at position r relative to the c.m. of the projectile. In this study, the proton and neutron density distributions of both projectile and target nuclei were obtained from Hartree-Fock calculations based on the SkX parametrization [30].This parameter set is used to explain binding energy differences of mirror nuclei [31], interaction cross section [32], transfer reactions [33] and nuclear charge density distributions [34]. The calculated proton rms radii for 6Li, 7Li, 8Li, 10B and 11B, are 2.104, 2.092, 2.090, 2.325, and 2.303 fm, respectively. In contrast, the corresponding experimental values are 2.46 ± 0.04, 2.315 ± 0.044, 2.212 ± 0.047, 2.29 ± 0.05, and 2.272 ± 0.031 fm [2]. This disparity highlights a significant discrepancy between theoretical predictions and experimental data, especially for lithium isotopes. Notably, single-folding model calculations with smaller rms proton radii yield predicted angular distributions that are shifted towards larger angles compared to those obtained using the experimental values. This observation suggests that by optimizing the fit between experimental data and theoretical cross sections through adjustments of the nucleon density distributions, it is feasible to extract the rms proton radii of nuclei with enhanced accuracy. -
The elastic scattering experimental data for 6,7,8Li and 10,11B projectiles utilized in this study were collected from the EXFOR[35] nuclear reaction database. The data involved target nuclei with mass numbers ranging from 40 to 209 and incident energies exceeding the Coulomb barriers. With these data, the rms proton radii were extracted through optical model analysis based on an updated systematic nucleus-nucleus potential (USNP). This potential has demonstrated success in reproducing elastic scattering and total reaction cross-section data for projectiles with mass numbers up to A ~ 40, including both stable and radioactive nuclei, for incident energies from the vicinity of the Coulomb barrier to about 100 MeV/nucleon [21]. In the analysis procedure, each set of angular distribution data was individually fitted by altering the nucleon density distributions. The standard minimum
$ \chi^{2} $ was employed to achieve an optimal description of the experimental data. Mathematically, the$ \chi^{2} $ is defined as:$ \chi^{2}=\frac{1}{N}\sum\limits_{i=1}^{N}\left [ \frac{\sigma_{i}^{{\rm{th}}}(\theta_{i})-\sigma_{i}^{{\rm{exp}}}(\theta_{i})}{\Delta \sigma_{i}^{{\rm{exp}}}(\theta_{i})}\right ]^{2}. $

(5) where N represents the total number of data points in each angular distribution dataset,
$ \sigma_{i}^{{\rm{th}}} $ denotes the theoretical cross section at the scattering angle$ \theta_{i} $ , and$ \sigma_{i}^{{\rm{exp}}} $ and$ \Delta\sigma_{i}^{{\rm{exp}}} $ are the corresponding experimental cross section and its associated uncertainty, respectively. Notably,$ \sigma_{i}^{{\rm{th}}} $ was calculated using the USNP with various projectile density distributions. These distributions were generated by rescaling the original Hartree-Fock densities, where the rms radii of the resulting nucleon density distributions were varied by a factor$ \alpha $ in the range of 0.60 - 1.40 with a step size of 0.01. The rescaling process was accomplished by replacing the original density distribution$ \rho(r) $ with$ \rho(r/\alpha)/\alpha^{3} $ . Here is a brief justification of this method. Density distribution$ \rho(r) $ has a simple conservation law:$ \int\rho(r)d\tau=\int\rho(r)r^{2}dr=constant, $

Replace
$ \rho(r) $ with$ \rho(r/\alpha) $ and add a factor$ \lambda $ to maintain conservation:$ \int\rho(r)r^{2}dr=\lambda\int\rho\left(\frac{r}{\alpha}\right)r^{2}dr=constant, $

Change variables as
$ t=\dfrac{r}{\alpha} $ :$ \int\rho(r)r^{2}dr=\lambda\alpha^{3}\int\rho(t)t^2dt=constant, $

It's easy to get that:
$ \lambda=\alpha^{3}. $

The rescaled density distribution is
$ \rho(r/\alpha)/\alpha^{3} $ . Then we are going to reach the relationship between rms radii, by definition the rms radii is:$ \langle r^{2}\rangle=\frac{\int\rho(r)r^{2}d\tau}{\int\rho(r)d\tau}, $

Rescaling the density distribution will change rms radii:
$ \langle r'^{2}\rangle=\frac{\dfrac{1}{\alpha^{3}}\int\rho(r/\alpha)r^{2}d\tau}{\dfrac{1}{\alpha^{3}}\int\rho(r/\alpha)d\tau}, $

Implement
$ \langle r^{2}\rangle/\langle r'^{2}\rangle $ and change variables as$ t=\dfrac{r}{\alpha} $ :$ \langle r^{2}\rangle/\langle r'^{2}\rangle=\frac{\int\rho(r)r^{4}dr}{\alpha^{2}\int\rho(t)t^{4}dt}=\frac{1}{\alpha^2} $

After rescaling the density distribution, rms radii are represented as:
$ \langle r'^{2}\rangle=\alpha^{2}\langle r^{2}\rangle $

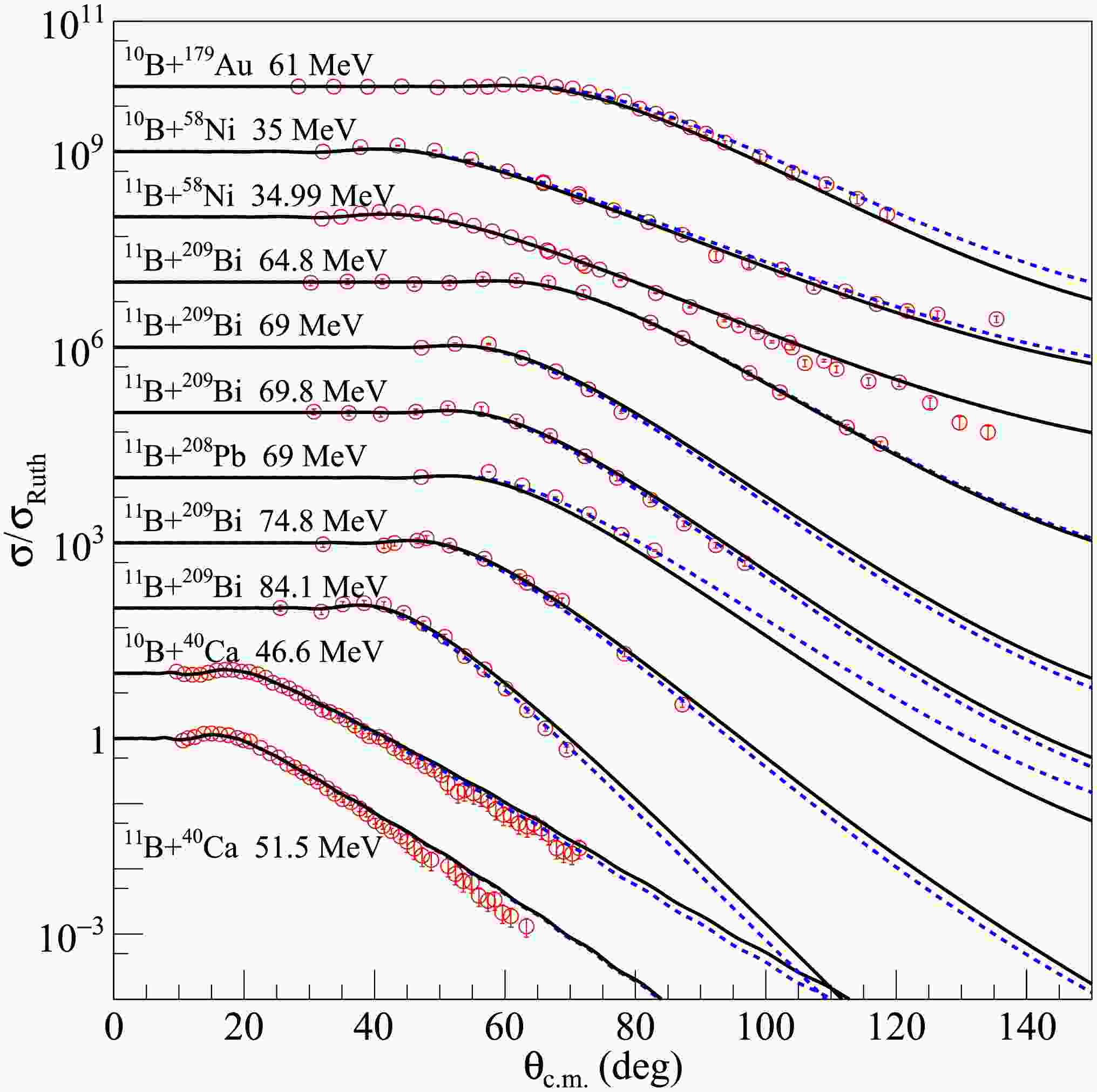
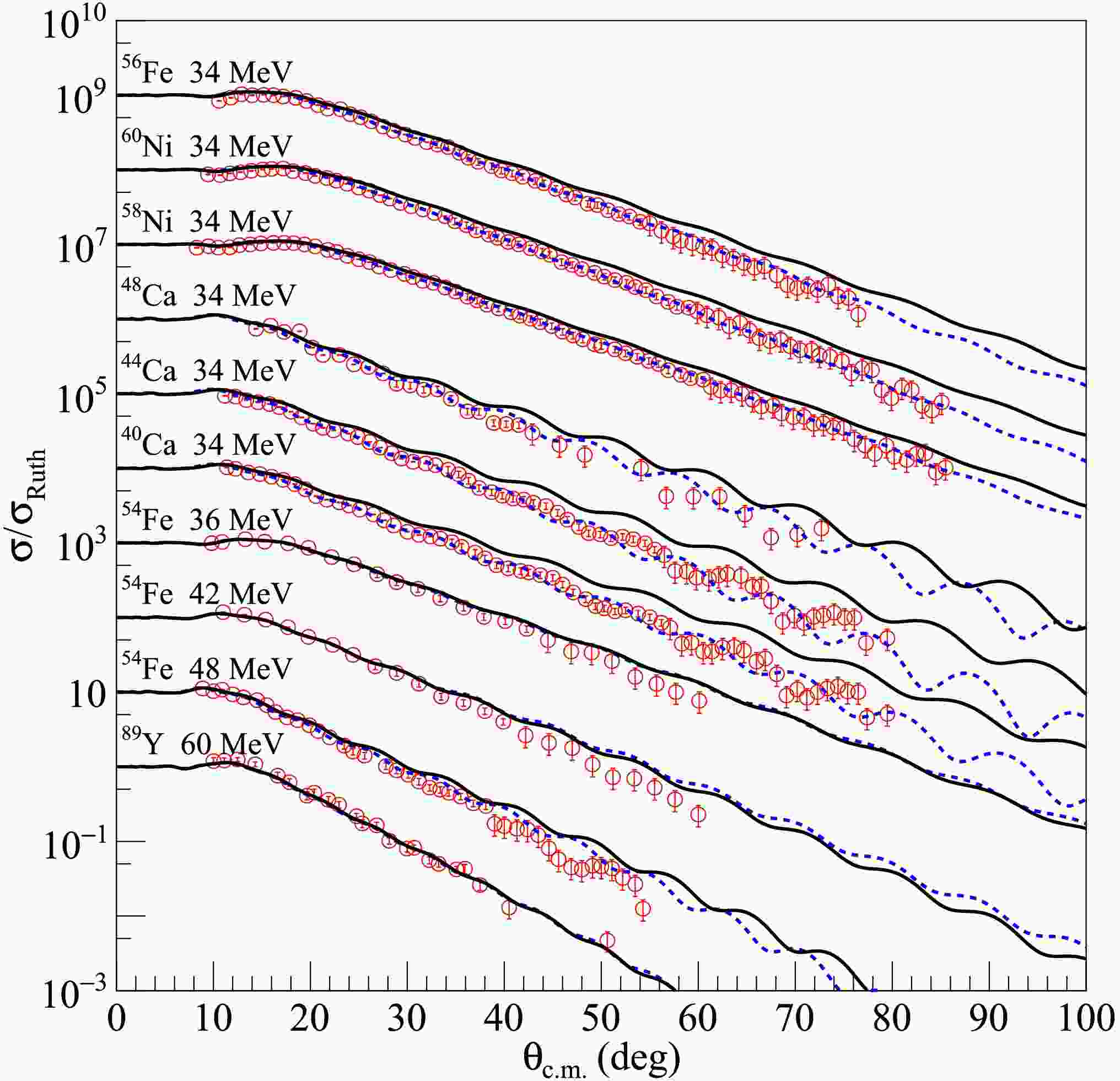
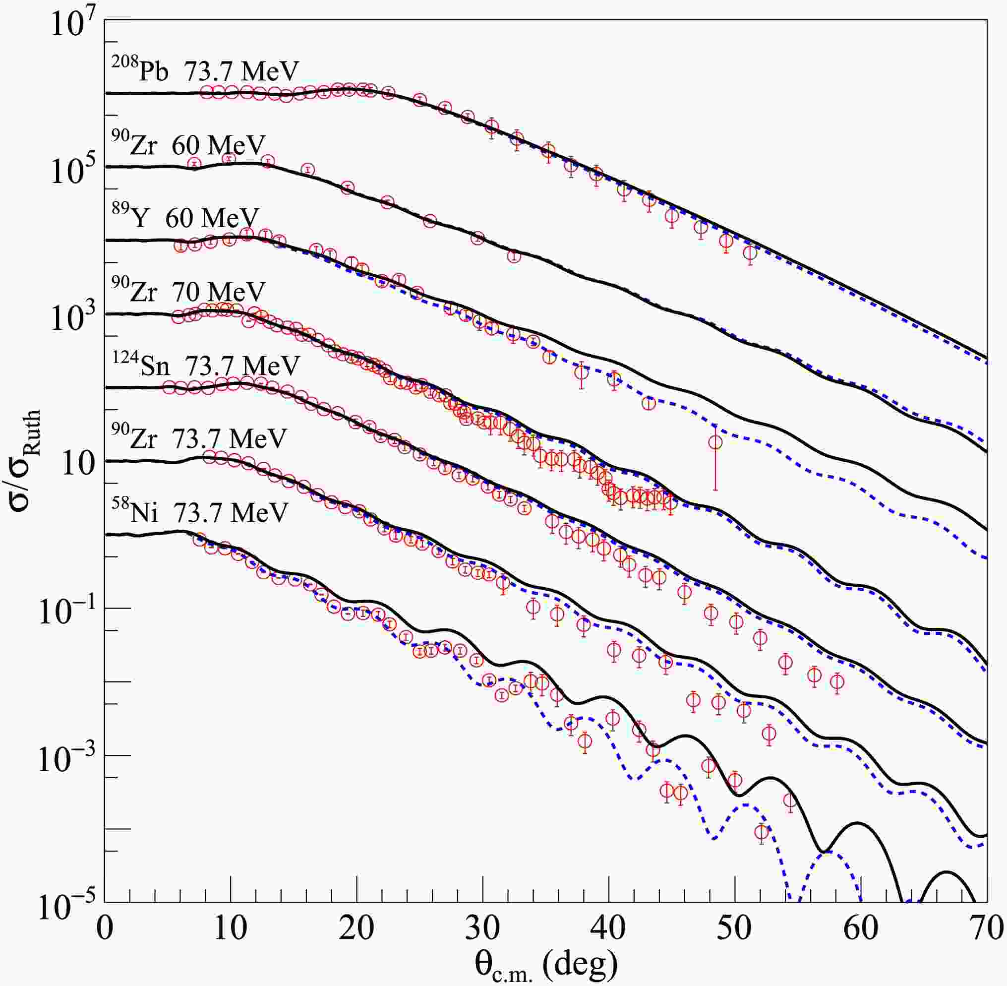
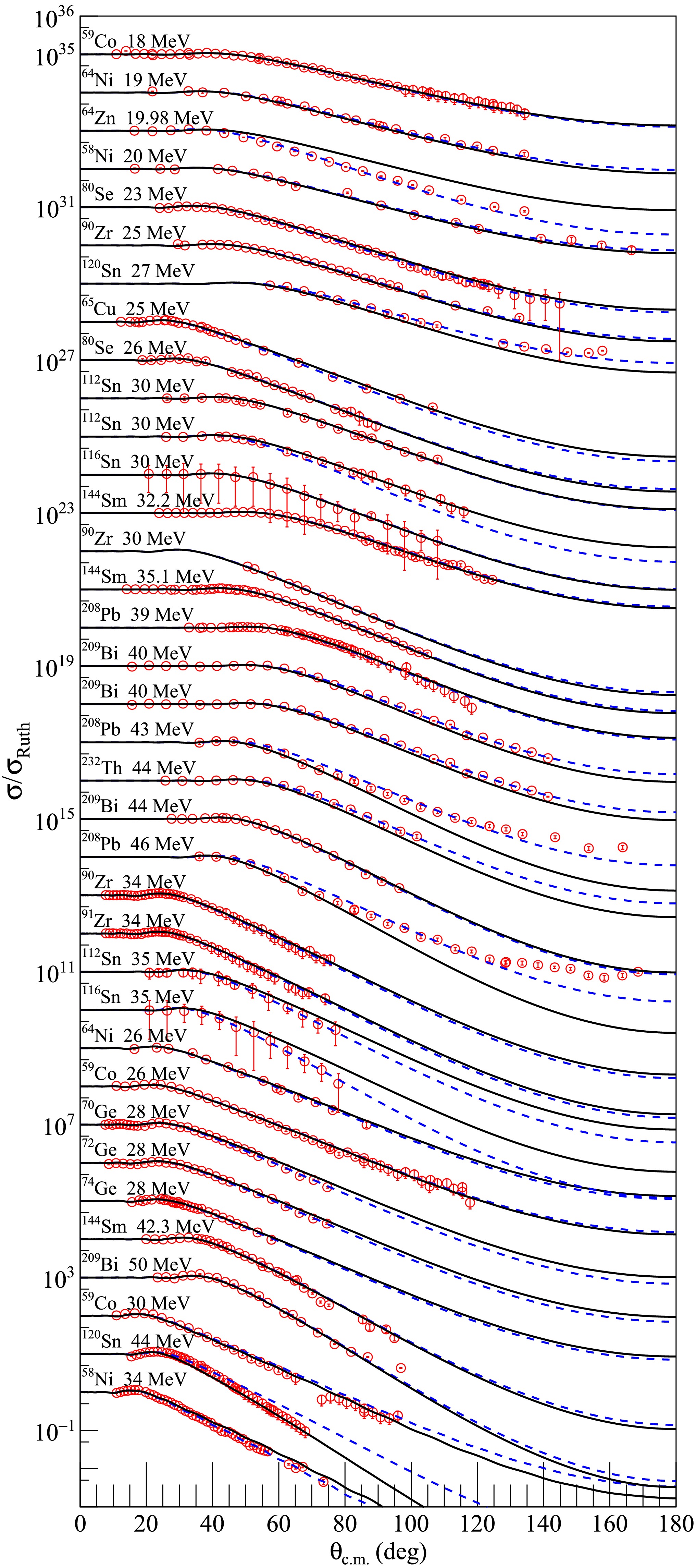
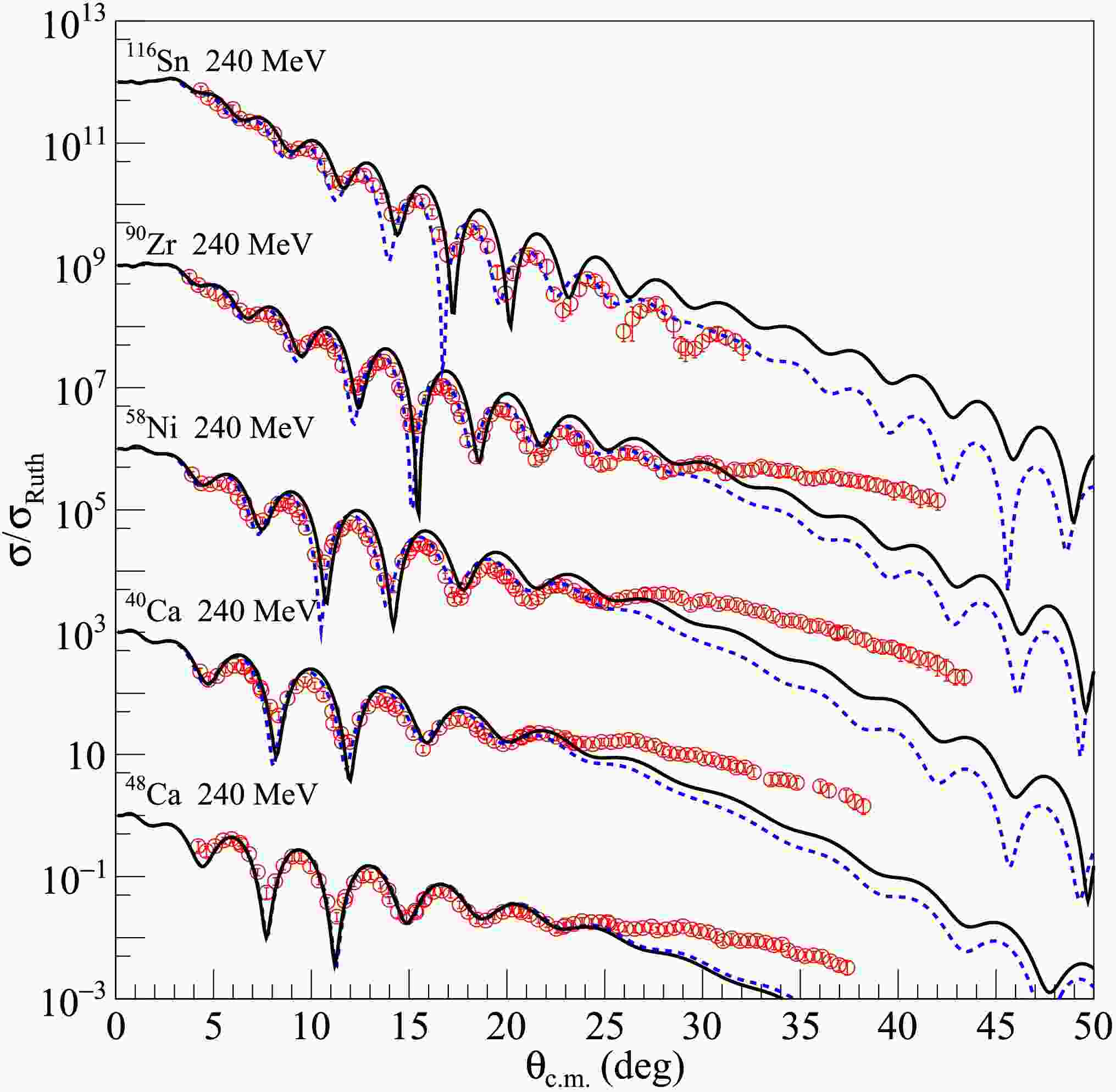
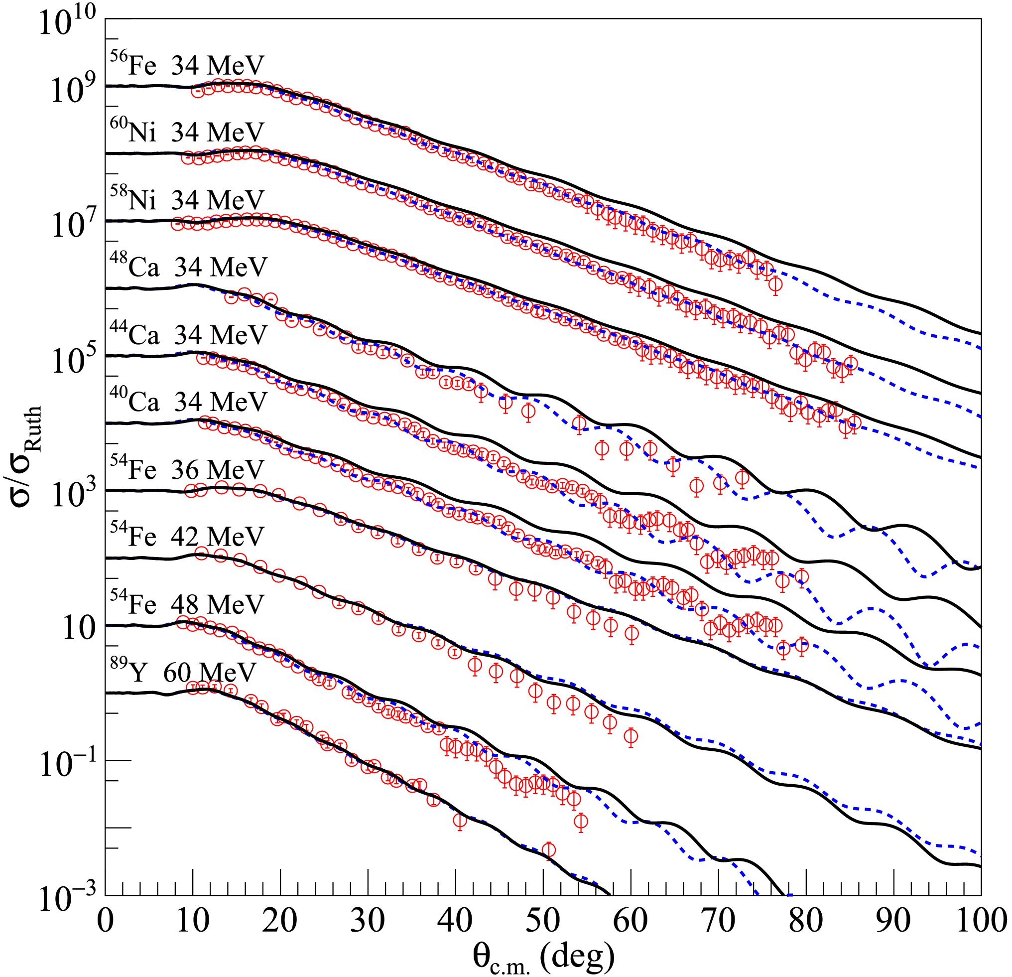
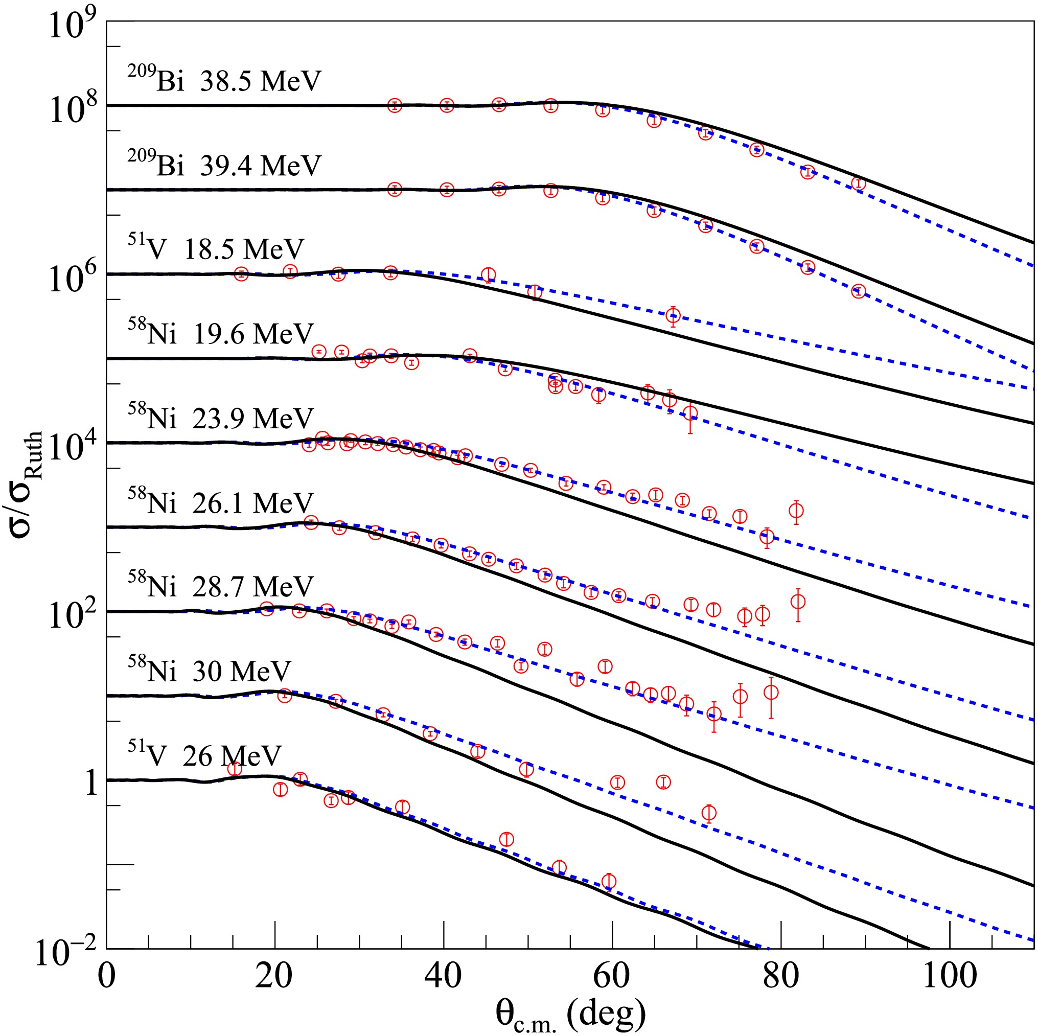
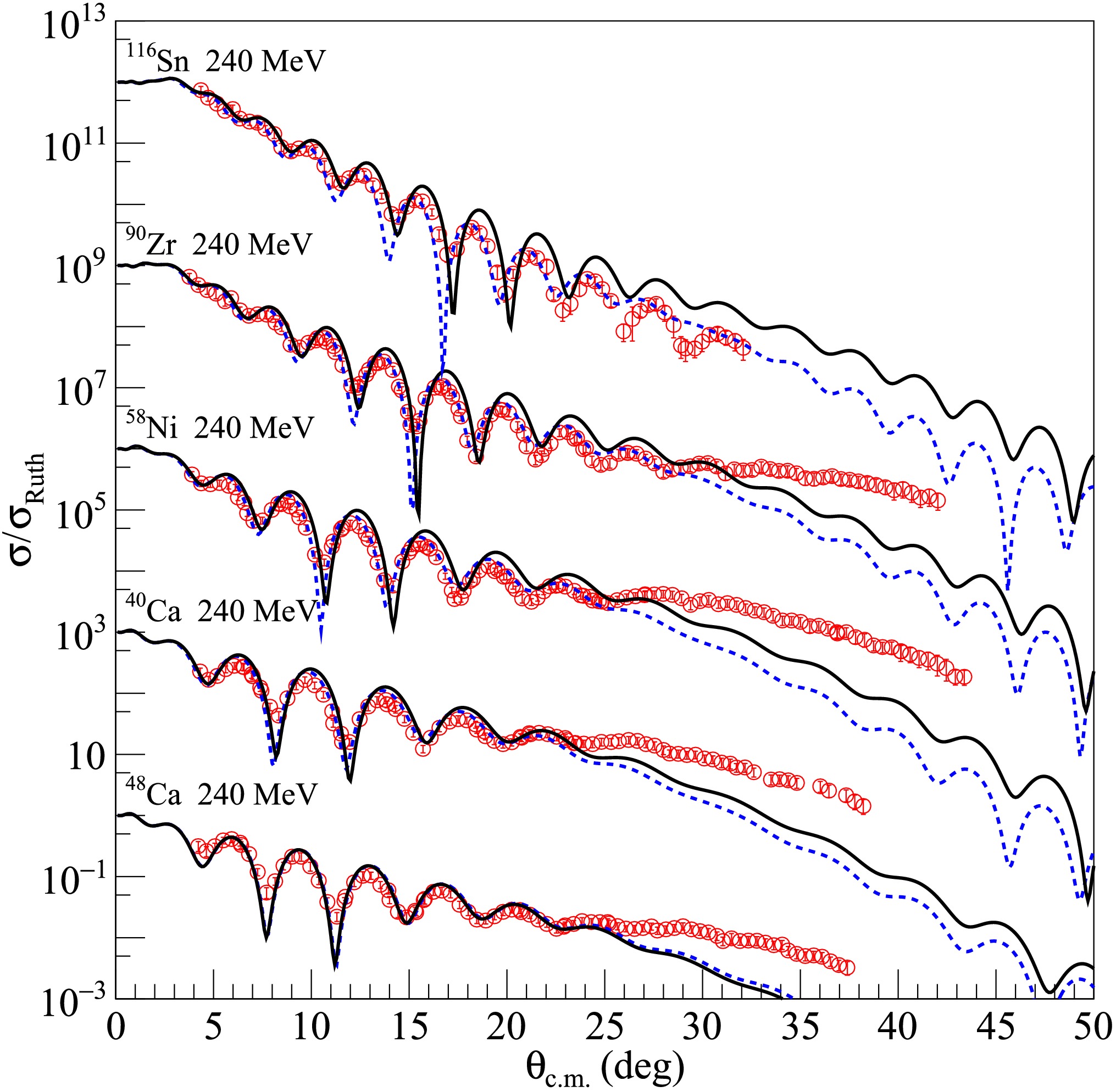
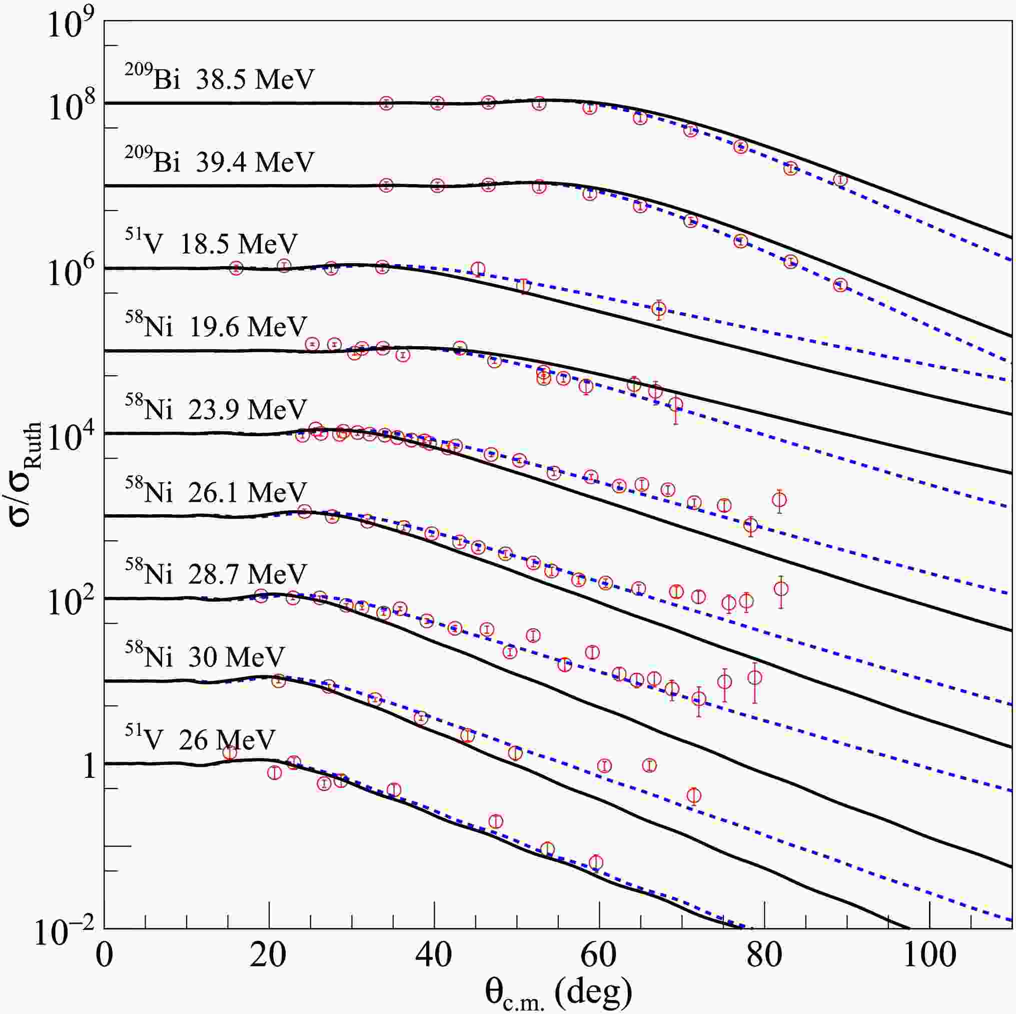
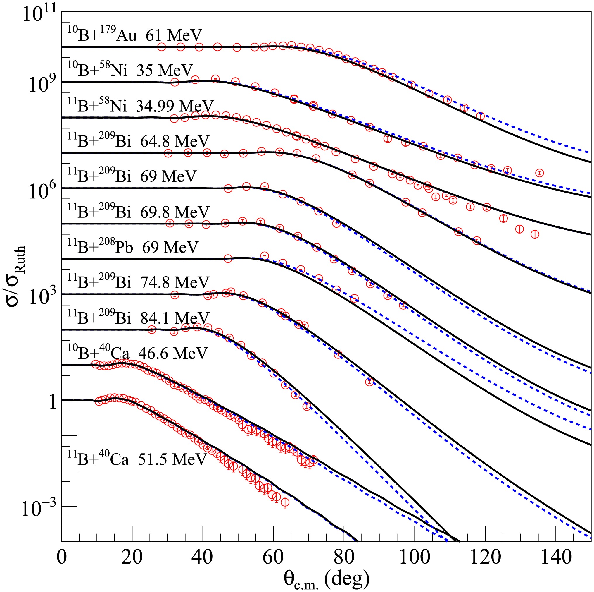
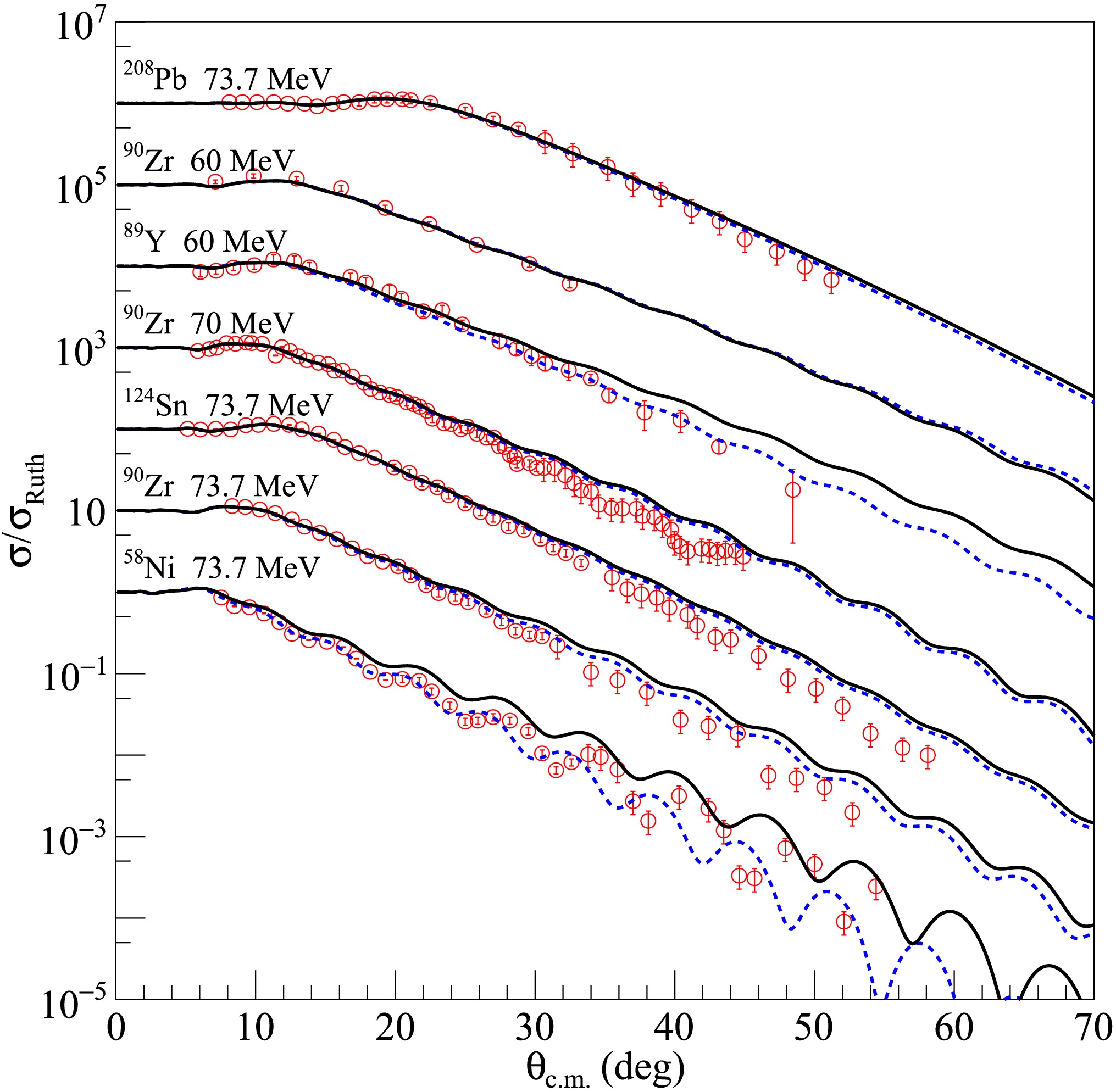
Subsequently, the newly created density distribution for each dataset was input into the SFRESCO computer code to compute the differential cross sections and determine the optimal value of the rms radii. To obtain more accurate rms proton radii for the nuclei under investigation, extensive comparisons were made between the experimental data and the results of optical model calculations with modified nucleon density distributions. The findings are presented in Figs. 1, 2, and 3 for 6Li elastic scattering from medium - mass and heavy targets, in Figs. 4 and 5 for 7Li, in Fig. 6 for 8Li and in Fig. 7 for 10B and 11B. The blue dashed curves represent the optical model calculation results using the searched nucleon density distributions, without any adjustments to the optical model parameters of the USNP. The overall agreement between the experimental data and the fitted angular distributions is quite satisfactory, as further corroborated by the
$ \chi^{2} $ values tabulated in Table 1. Compared with the calculations using the original nucleon distributions, significant improvements in describing the elastic cross sections were observed.
Figure 1. (color online) Comparisons between optical model calculations and experimental data for 6Li elastic scattering from medium mass and heavy targets at incident energies indicated in the figure. The blue dashed and black solid curves represent results calculated with optimal and average values of rms proton radii, respectively. The data sets are offset for optimum view. The experimental data are from Refs. [36−55].
Projectile Target Energy(MeV) Radii(fm) $ {\chi^{2}} $ 

Ref. 6Li 40Ca 240 2.55 11.72 [60] 48Ca 240 2.25 9.85 [60] 58Ni 20 2.18 1.96 [52] 58Ni 34 2.48 2.46 [44] 58Ni 73.7 2.88 22.39 [56] 58Ni 240 2.69 12.11 [61] 59Co 18 2.4 9.86 [48] 59Co 26 2.23 5.21 [48] 59Co 30 2.13 12.29 [48] 64Ni 19 2.15 3.22 [52] 64Ni 26 2.42 0.88 [52] 64Zn 19.98 2.88 31.66 [55] 65Cu 25 2.44 54.75 [54] 70Ge 28 2.46 1.03 [50] 72Ge 28 2.44 0.98 [50] 74Ge 28 2.42 0.74 [50] 80Se 23 2.42 1.00 [53] 80Se 26 2.21 1.03 [53] 89Y 60 2.59 0.92 [58] 90Zr 25 2.19 169.56 [49] 90Zr 30 2.23 62.23 [49] 90Zr 34 2.42 0.44 [45] 90Zr 60 2.21 2.84 [58] 90Zr 70 2.42 19.99 [57] 90Zr 73.7 2.46 8.73 [56] 90Zr 240 2.67 6.99 [61] 91Zr 34 2.42 0.84 [45] 112Sn 30 2.38 0.62 [46] 112Sn 30 2.57 7.82 [47] 112Sn 35 2.52 0.09 [43] 116Sn 30 2.31 0.06 [43] 116Sn 35 2.8 0.03 [43] 116Sn 240 2.88 5.21 [59] 120Sn 27 2.1 34.80 [51] 120Sn 44 1.73 11.11 [38] 124Sn 73.7 2.42 11.31 [56] 144Sm 32.2 2.23 2.82 [40] 144Sm 35.1 2.23 3.26 [40] 144Sm 42.3 2.23 9.50 [40] 208Pb 39 2.4 1.57 [42] 208Pb 43 1.79 9.65 [37] 208Pb 46 1.77 18.63 [37] 208Pb 73.7 2.42 2.26 [56] 209Bi 40 2.13 10.08 [36] 209Bi 40 2.13 10.03 [41] 209Bi 44 2.4 2.51 [36] 209Bi 50 2.21 42.61 [36] 232Th 44 2.08 0.48 [39] 7Li 40Ca 34 2.41 11.26 [66] 40Ca 34 2.59 9.23 [67] 44Ca 34 2.64 8.26 [67] 46Ti 17 2.34 3.09 [74] 48Ca 34 2.38 58.71 [67] 54Fe 36 2.09 5.14 [67] 54Fe 42 2.05 11.27 [67] 54Fe 48 2.3 10.11 [67] 56Fe 34 2.36 19.08 [67] 58Ni 19 2.15 5.25 [74] 58Ni 34 2.32 7.79 [67] 58Ni 42 2.07 0.90 [64] 59Co 18 2.15 2.81 [48] 59Co 26 2.3 2.01 [48] 59Co 30 2.2 8.01 [48] 60Ni 34 2.41 19.32 [67] 64Ni 19.3 2.2 0.23 [73] 64Ni 26.4 2.26 2.05 [73] 65Cu 25 2.09 27.99 [54] 80Se 20 2.09 3.03 [53] 80Se 23 2.07 2.37 [53] 80Se 26 1.99 1.99 [53] 89Y 60 2.09 1.50 [58] 90Zr 34 2.09 0.96 [67] 90Zr 34 2.24 0.47 [45] 93Nb 28 2.18 173.53 [72] 112Sn 28 2.07 130.56 [71] 112Sn 30 2.28 0.21 [69] 116Sn 28 2.09 893.60 [71] 116Sn 30 2.09 1.17 [65] 116Sn 35 2.3 0.94 [65] 118Sn 28 2.22 266.41 [71] 120Sn 28 2.09 92.42 [70] 120Sn 28 2.11 86.61 [71] 120Sn 30 2.09 226.13 [70] 122Sn 28 2.13 599.16 [71] 124Sn 28 2.09 184.44 [71] 138Ba 30 2.24 1.20 [68] 138Ba 32 2.28 0.89 [68] 144Sm 40.8 2.01 1.96 [40] 159Tb 44 2.07 9.17 [62] 208Pb 42 1.92 19.04 [63] 208Pb 42.6 2.2 0.92 [87] 232Th 44 2.01 7.38 [39] 8Li 58Ni 19.6 2.59 5.68 [75] 58Ni 23.9 1.69 2.40 [76] 58Ni 26.1 1.65 1.80 [76] 58Ni 27.8 1.32 2.93 [76] 58Ni 30 1.65 4.48 [76] 51V 18.5 1.65 0.35 [77] 51V 26 2.03 3.21 [78] 209Bi 38.5 2.42 0.82 [79] 209Bi 39.4 2.45 0.34 [79] 10B 40Ca 46.6 2.42 4.39 [80] 58Ni 35 2.26 10.14 [81] 197Au 61 2.19 10.49 [82] 11B 40Ca 51.5 2.33 9.40 [80] 58Ni 34.99 2.3 107.94 [85] 208Pb 69 2.1 184.11 [83] 209Bi 64.8 2.28 0.31 [84] 209Bi 69 2.37 7.66 [84] 209Bi 69.8 2.37 0.67 [84] 209Bi 74.8 2.4 1.51 [84] 209Bi 84.1 2.44 1.39 [84] Table 1. Experimental data analyzed in the present work for 6,7,8Li, and 10,11B from different targets, their references, and corresponding
$ \chi^{2} $ values calculated with the extracted rms proton radii.This outcome indicates that nucleon density distributions deviating from those predicted by Hartree-Fock calculations are necessary to more accurately reproduce the elastic scattering data. It is important to note that several factors, including experimental uncertainties, channel coupling effects, and the values of target nuclei radii, can influence the angular distributions of elastic scattering, thereby affecting the precision of the extracted projectile rms proton radii. Nevertheless, the systematic analysis incorporating a comprehensive set of experimental data is expected to yield relatively reliable rms proton radius values. As clearly illustrated in Figs. 1, 2, and 3, for most of the 6Li elastic scattering data, the angular distributions of the optimal fit exhibit a significant shift towards forward angles. This observation implies that, for 6Li projectiles, larger rms proton radii than those obtained from Hartree-Fock calculations should be adopted in optical model calculations. A similar trend was also evident in the 7Li elastic scattering results, although some angular distributions showed shifts towards larger angles, as depicted in Figs. 4 and 5. Conversely, the fitting results for most of the 8Li data suggest that the differential cross sections calculated using the original density distributions need to be enhanced to better match the experimental data. However, this does not necessarily imply that the rms proton radius of 8Li is smaller than the Hartree-Fock prediction. First, the potential parameters used in the fitting procedure were derived from the elastic scattering data analysis of the stable nucleus 9Be, and their applicability to 8Li elastic scattering data remains uncertain. Second, as discussed in Ref. [76], the 8Li + 58Ni elastic scattering is strongly influenced by coupled direct reaction channels. Coupled-reaction channels calculations, which consider the coupling between elastic scattering and neutron transfer channels populating bound and unbound states of 59Ni, have revealed that neutron stripping channels significantly impact the elastic cross sections, particularly enhancing the cross sections at large angles. Regarding the results for the stable nuclei 10B and 11B shown in Fig. 7, the discrepancies between the fitted angular distributions and the calculations with unaltered density distributions were negligible, and both approaches could reasonably reproduce the experimental data. This result may suggest that the rms proton radii of these two nuclei do not require substantial modifications for use in optical model analysis of elastic scattering data. However, due to the limited availability of experimental data, additional investigations are warranted to extract more conclusive rms proton radii for 10B and 11B nuclei.
-
Distributions of the rms proton radii values of 6,7,8Li and 10,11B extracted from individual elastic scattering data fittings are presented in Fig. 9.
Notably, the optimal rescaling factors for 6Li and 7Li predominantly cluster in the range of
$ \alpha > 1.00 $ . In contrast, the rescaling factors for 8Li exhibit significant dispersion, and due to the limited number of data points, definitive conclusions remain a elusive challenge similarly encountered with 10B and 11B. The average values of these distributions are adopted as the final rescaling factors for each projectile, demonstrating close correspondence to the central values of Gaussian functions fitted to the distributions. The final rescaling factors provide recommended rms proton radii for 6Li, 7Li, 8Li, 10B and 11B, are 2.35, 2.19, 1.94, 2.29, and 2.31 fm.The extracted proton rms radii from elastic scattering data analysis for 6,7,8Li and 10,11B are shown in Fig. 8. The average rms proton radii (red filled circles) for 6Li and 7Li exceed the Hartree-Fock predictions (black filled squares), whereas an opposite trend is observed for 8Li, consistent with the angular distribution results discussed earlier. Comparisons with experimental data derived from interaction cross sections [7], charge radii [2], and charge-changing cross sections [15] reveal that the extracted rms proton radii align more closely with experimental values than Hartree-Fock calculations, particularly for 10B and 11B. This finding underscores the effectiveness of optical model analysis based on USNP systematics for extracting nuclear rms proton radii from elastic scattering data.
Figure 8. (color online) Comparison of this work with other experimental and theoretical rms proton radii. References are listed as follow: unfold from charge radii[2]. interaction cross sections[7].charge-changing(Glauber)[15]. charge-changing(evaluation)[15]. anti-symmetrized molecular dynamic[15]. isotope shift[86]. proton scattering(GG)[86]. proton scattering(GO)[86]. Skyrme Hartree-Fock [20].
-
The optical model was employed to analyze the elastic scattering angular distributions of 112 datasets involving 6,7,8Li and 10,11B projectiles interacting with medium-mass and heavy targets at incident energies exceeding the Coulomb barriers. Subsequently, the root-mean-square (rms) proton radii of these projectiles were extracted. For the stable nuclei 6,7Li and 10,11B, the rms proton radii derived from the present analysis exhibit a more favorable agreement with experimental data than the predictions obtained from Hartree-Fock calculations. This outcome strongly suggests that systematic analysis of elastic scattering data represents an effective approach for extracting nuclear rms proton radii. In contrast, the extracted rms proton radius of 8Li is smaller, indicating the necessity of considering more intricate influences. These include the effects of strong couplings and the applicability of optical model parameters to weakly bound nuclei. Additionally, the current elastic scattering data for 8Li are limited in terms of the incident energy range and the variety of target nuclei investigated. Consequently, further experimental studies on 8Li are imperative to enable the extraction of rms proton radii using a systematic methodology.
Studying the proton rms radii of Li and B isotope through elastic scattering
- Received Date: 2025-08-18
- Available Online: 2026-03-01
Abstract: The root mean square (rms) nuclear proton radii of 6,7,8Li and 10,11B projectiles are systematically investigated through the analyses of elastic scattering data from target nuclei with mass numbers ranging from 40 to 209 at incident energies above the Coulomb barriers. The analyses employs a consistent single-folding model potential based on the Bruyères Jeukenne-Lejeune-Mahaux (JLMB) nucleon-nucleus interaction model, incorporating 112 sets of elastic scattering data to derive the projectile nuclear radii. This approach yields individual radii for each set, from which the mean rms proton radius is extracted as a characteristic parameter for the projectile nuclei. The rms proton radii of 6,7Li and 10,11B nuclei obtained from optical model fits demonstrate good agreement with both experimental measurements and existing theoretical predictions. Notably, a significantly smaller nuclear radius of 8Li is observed compared to values derived from intermediate-energy proton elastic scattering cross-section measurements, which may be attributed to additional dynamical effects specific to the 8Li projectile.





Abstract
HTML
Reference
Related
PDF













DownLoad: