2025 Vol. 49, No. 10
Display Method: |
2025, 49(10): 101001. doi: 10.1088/1674-1137/aded04
Abstract:
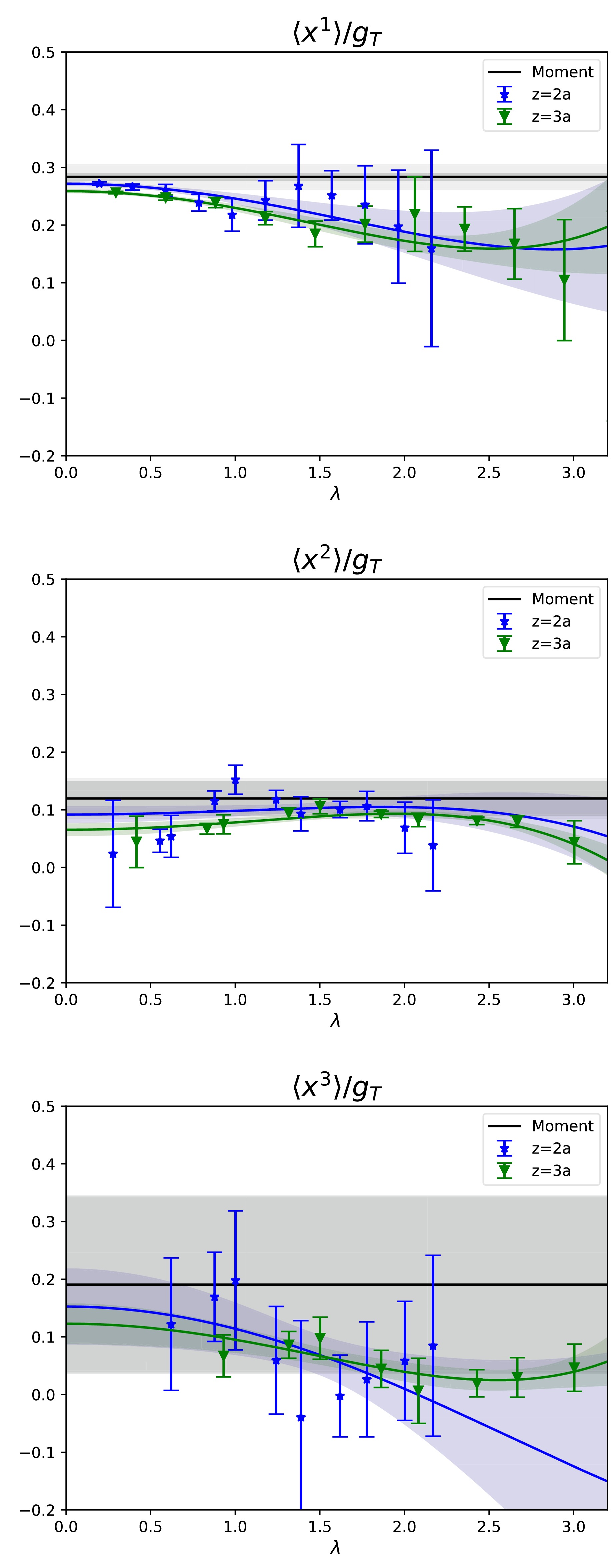
We show that the traditional moments approach in lattice quantum chromodynamics based on operator product expansion can be realized such that it utilizes derivatives in momentum rather than in distance. This avoids power divergent mixings, and thus allows to extract moments order by order to all orders in principle. Further, by exploiting the symmetry of lattice matrix elements, we can determine the even and odd moments separately. As a demonstrative example, we determine the first three moments beyond the tensor charge\begin{document}$ g_T$\end{document} ![]()
![]()
of the isovector quark transversity distribution in the nucleon.
We show that the traditional moments approach in lattice quantum chromodynamics based on operator product expansion can be realized such that it utilizes derivatives in momentum rather than in distance. This avoids power divergent mixings, and thus allows to extract moments order by order to all orders in principle. Further, by exploiting the symmetry of lattice matrix elements, we can determine the even and odd moments separately. As a demonstrative example, we determine the first three moments beyond the tensor charge
2025, 49(10): 103001. doi: 10.1088/1674-1137/ade65e
Abstract:
The neutrino floor, a theoretical sensitivity limit for dark matter (DM) direct detection, is being redefined as the boundary of a dynamic ''neutrino fog,'' where neutrino signals become inevitable, obscuring DM detection due to statistical and systematic uncertainties. This study provides the first site-specific analysis of the neutrino floor at China Jinping Underground Laboratory (CJPL), leveraging its unique geographic and environmental characteristics. We quantify how CJPL’s suppressed atmospheric neutrino flux (approximately 30% lower than that of Laboratori Nazionali del Gran Sasso (LNGS)) reshapes the neutrino floor, thereby enabling improved sensitivity to high-mass WIMPs (mass > 10 GeV). Using a gradient-based framework, we derive the CJPL’s neutrino floor and estimate the detection prospects for the PandaX-xT experiment. Our results demonstrate that a 500 tonne-year exposure with PandaX-xT could reach the floor, probing spin independent cross-sections down to\begin{document}$ \sigma_{n}\sim 3\times 10^{-49}\; {\rm{cm}}^2$\end{document} ![]()
![]()
at a DM mass of 70 GeV/c2.
The neutrino floor, a theoretical sensitivity limit for dark matter (DM) direct detection, is being redefined as the boundary of a dynamic ''neutrino fog,'' where neutrino signals become inevitable, obscuring DM detection due to statistical and systematic uncertainties. This study provides the first site-specific analysis of the neutrino floor at China Jinping Underground Laboratory (CJPL), leveraging its unique geographic and environmental characteristics. We quantify how CJPL’s suppressed atmospheric neutrino flux (approximately 30% lower than that of Laboratori Nazionali del Gran Sasso (LNGS)) reshapes the neutrino floor, thereby enabling improved sensitivity to high-mass WIMPs (mass > 10 GeV). Using a gradient-based framework, we derive the CJPL’s neutrino floor and estimate the detection prospects for the PandaX-xT experiment. Our results demonstrate that a 500 tonne-year exposure with PandaX-xT could reach the floor, probing spin independent cross-sections down to
2025, 49(10): 103002. doi: 10.1088/1674-1137/ade955
Abstract:
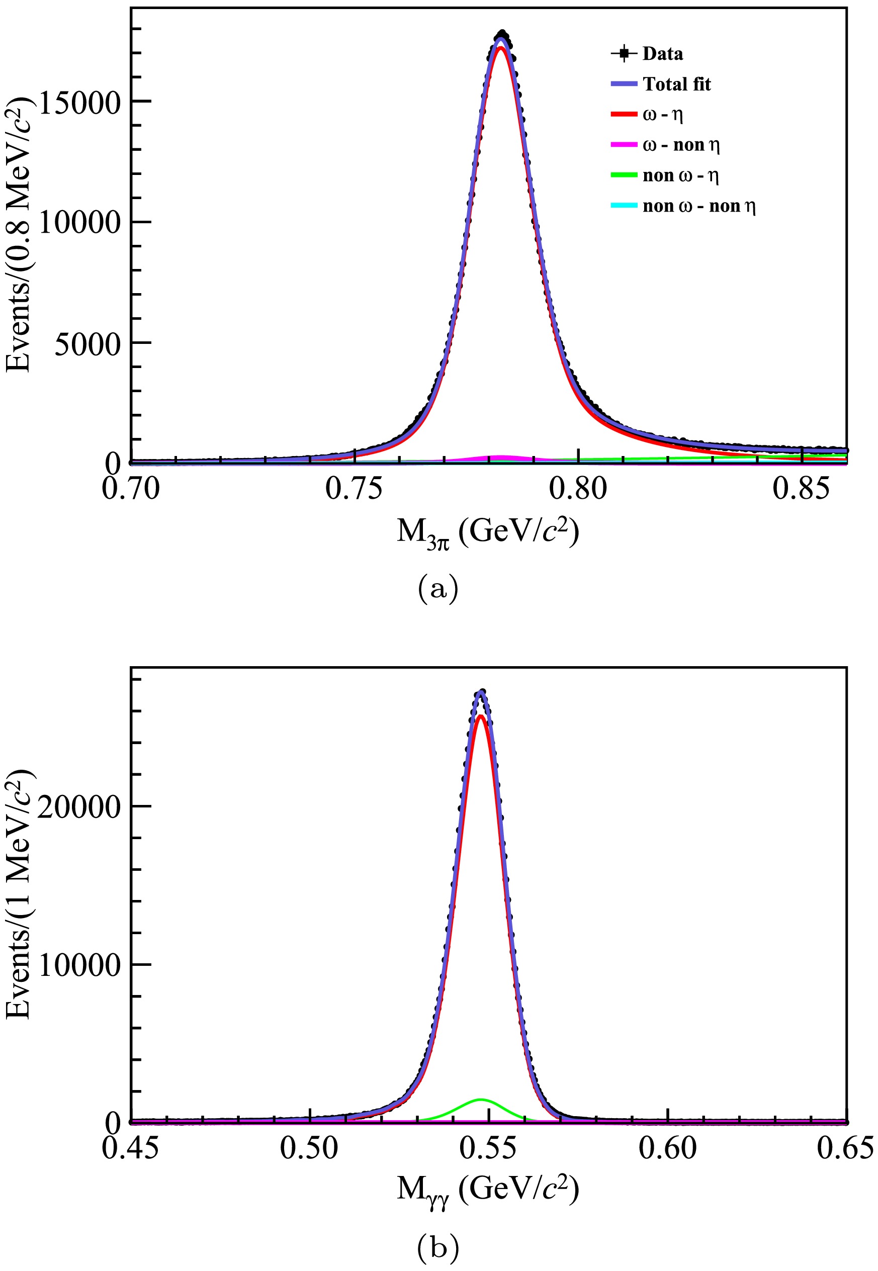
Lepton number violation decay\begin{document}$ \omega \to \pi^+ \pi^+ e^-e^- +c.c. $\end{document} ![]()
![]()
is searched for via \begin{document}$ J/\psi \to \omega\eta $\end{document} ![]()
![]()
using a data sample of \begin{document}$ (1.0087 \pm 0.0044) \times 10^{10} $\end{document} ![]()
![]()
\begin{document}$ J/\psi $\end{document} ![]()
![]()
events collected via the BESIII detector at the BEPCII collider. No significant signal is observed, and the upper limit on the branching fraction of \begin{document}$ \omega \to \pi^+ \pi^+ e^-e^- +c.c. $\end{document} ![]()
![]()
at the 90% confidence level is determined for the first time to be \begin{document}$ 2.8 \times 10^{-6} $\end{document} ![]()
![]()
.
Lepton number violation decay
2025, 49(10): 103003. doi: 10.1088/1674-1137/adf1f0
Abstract:
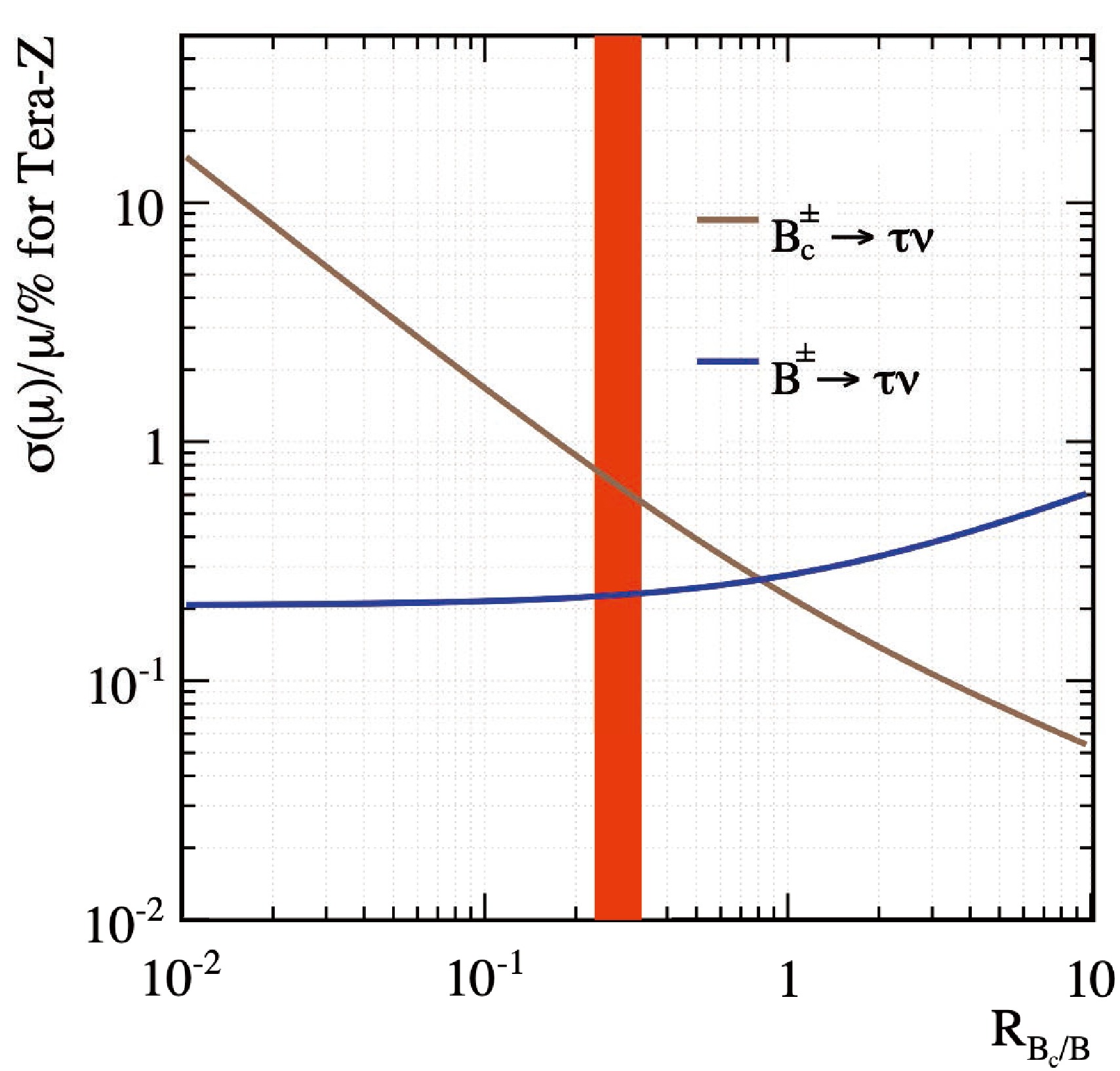
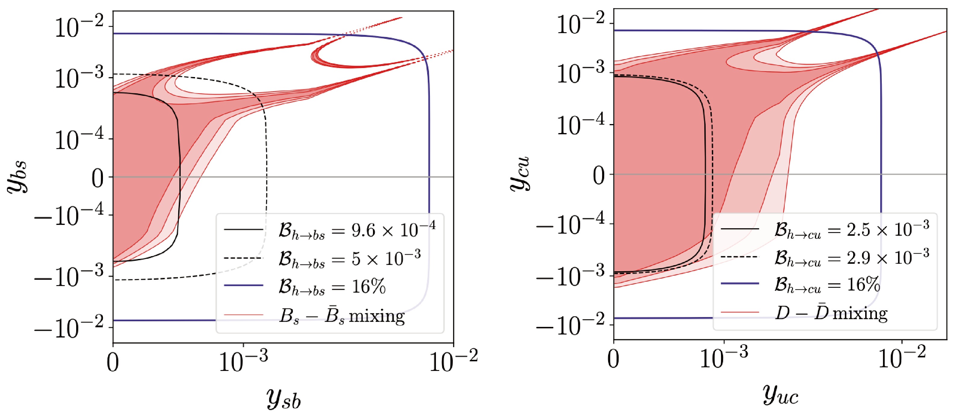
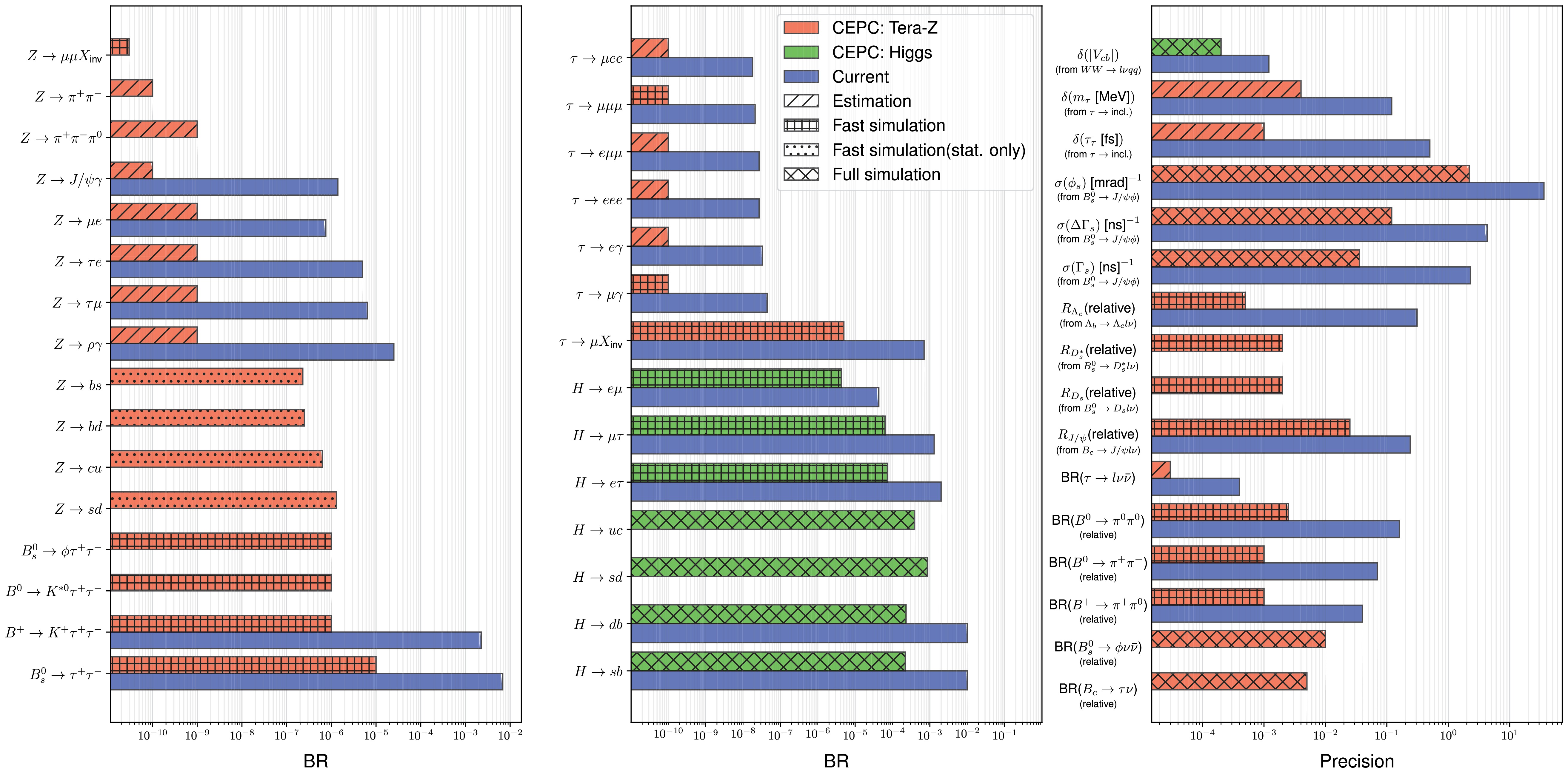
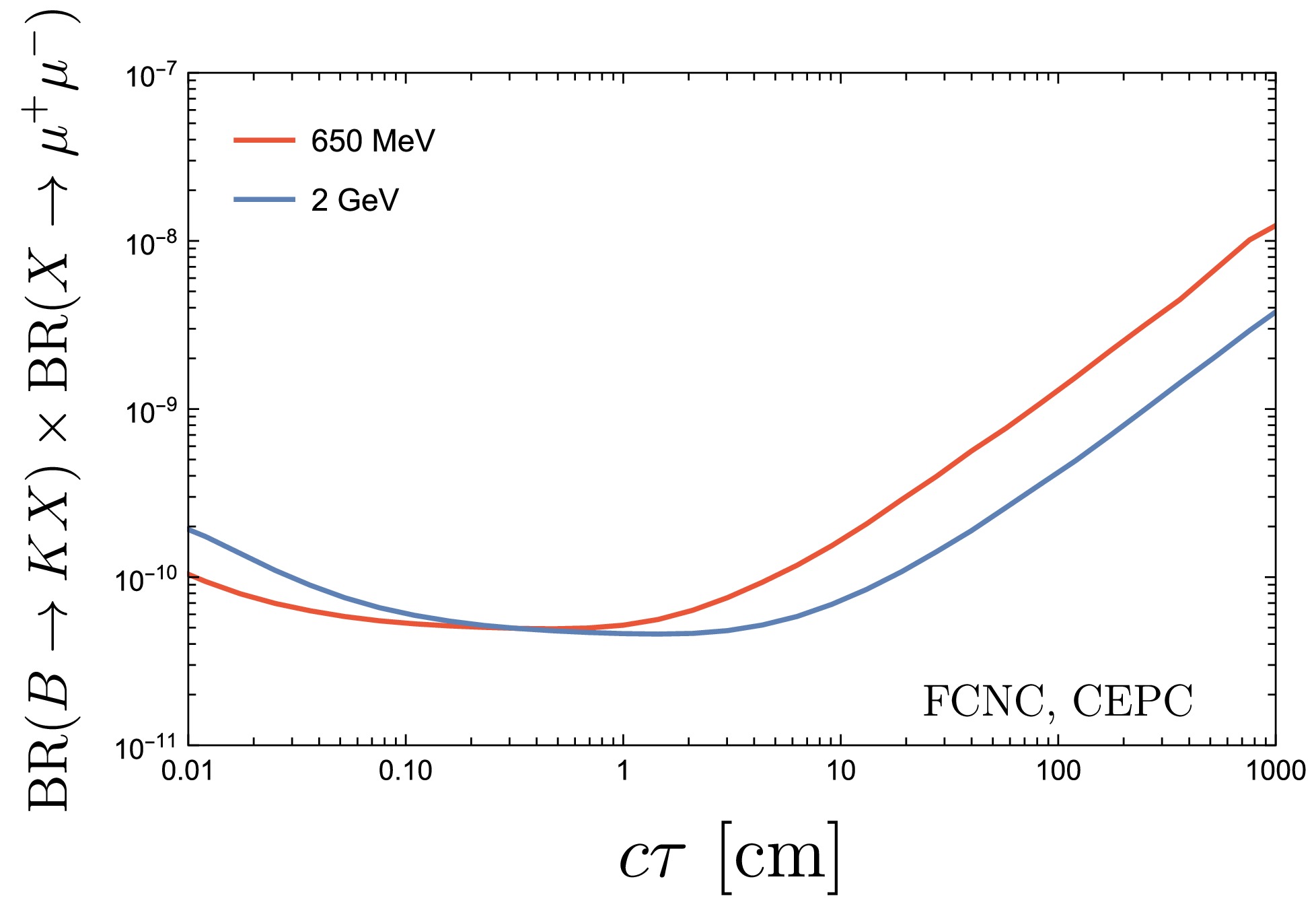
We discuss the landscape of flavor physics at the Circular Electron-Positron Collider (CEPC), based on the nominal luminosity outlined in its Technical Design Report. The CEPC is designed to operate in multiple modes to address a variety of tasks. At the Z pole, the expected production of 4 Tera Z bosons will provide unique and highly precise measurements of Z boson couplings, while the substantial number of boosted heavy-flavored quarks and leptons produced in clean Z decays will facilitate investigations into their flavor physics with unprecedented precision. We investigate the prospects of measuring various physics benchmarks and discuss their implications for particle theories and phenomenological models. Our studies indicate that, with its highlighted advantages and anticipated excellent detector performance, the CEPC can explore beauty and τ physics in ways that are superior to or complementary with the Belle II and Large-Hadron-Collider-beauty experiments, potentially enabling the detection of new physics at energy scales of 10 TeV and above. This potential also extends to the observation of yet-to-be-discovered rare and exotic processes, as well as testing fundamental principles such as lepton flavor universality, lepton and baryon number conservation, etc., making the CEPC a vibrant platform for flavor physics research. The WW threshold scan, Higgs-factory operation and top-pair productions of the CEPC further enhance its merits in this regard, especially for measuring the Cabibbo-Kobayashi-Maskawa matrix elements, and Flavor-Changing-Neutral-Current physics of Higgs boson and top quarks. We outline the requirements for detector performance and considerations for future development to achieve the anticipated scientific goals. The role of machine learning for innovative detector design and advanced reconstruction algorithms is also stressed. The CEPC flavor physics program not only develops new capabilities for exploring flavor physics beyond existing projects but also enriches the physics opportunities of this machine. It should be remarked that, given the richness of the CEPC flavor physics, this manuscript is not meant to be a comprehensive survey, but rather an investigation of representative cases. Uncovering the full potential of flavor physics at the CEPC will require further dedicated explorations in the future.
We discuss the landscape of flavor physics at the Circular Electron-Positron Collider (CEPC), based on the nominal luminosity outlined in its Technical Design Report. The CEPC is designed to operate in multiple modes to address a variety of tasks. At the Z pole, the expected production of 4 Tera Z bosons will provide unique and highly precise measurements of Z boson couplings, while the substantial number of boosted heavy-flavored quarks and leptons produced in clean Z decays will facilitate investigations into their flavor physics with unprecedented precision. We investigate the prospects of measuring various physics benchmarks and discuss their implications for particle theories and phenomenological models. Our studies indicate that, with its highlighted advantages and anticipated excellent detector performance, the CEPC can explore beauty and τ physics in ways that are superior to or complementary with the Belle II and Large-Hadron-Collider-beauty experiments, potentially enabling the detection of new physics at energy scales of 10 TeV and above. This potential also extends to the observation of yet-to-be-discovered rare and exotic processes, as well as testing fundamental principles such as lepton flavor universality, lepton and baryon number conservation, etc., making the CEPC a vibrant platform for flavor physics research. The WW threshold scan, Higgs-factory operation and top-pair productions of the CEPC further enhance its merits in this regard, especially for measuring the Cabibbo-Kobayashi-Maskawa matrix elements, and Flavor-Changing-Neutral-Current physics of Higgs boson and top quarks. We outline the requirements for detector performance and considerations for future development to achieve the anticipated scientific goals. The role of machine learning for innovative detector design and advanced reconstruction algorithms is also stressed. The CEPC flavor physics program not only develops new capabilities for exploring flavor physics beyond existing projects but also enriches the physics opportunities of this machine. It should be remarked that, given the richness of the CEPC flavor physics, this manuscript is not meant to be a comprehensive survey, but rather an investigation of representative cases. Uncovering the full potential of flavor physics at the CEPC will require further dedicated explorations in the future.
2025, 49(10): 103101. doi: 10.1088/1674-1137/ade4b7
Abstract:
In this study, we investigate a two-component scalar dark matter framework featuring two singlet scalar fields as dark matter candidates. To ensure vacuum stability, we employ copositive criteria for the scalar potential. We analyze four distinct copositive scenarios characterized by specific negative parameter configurations using direct detection constraints. A comprehensive parameter space scan is performed under joint constraints from the observed dark matter relic density and direct detection experiments. The different signs of couplings not only correspond to different copositive criteria but also contribute to different parameter spaces caused by interference. The allowed values of quartic couplings are different for the four different cases; however, they all require the new Higgs to play a dominant role in determining dark matter relic density within the viable parameter space.
In this study, we investigate a two-component scalar dark matter framework featuring two singlet scalar fields as dark matter candidates. To ensure vacuum stability, we employ copositive criteria for the scalar potential. We analyze four distinct copositive scenarios characterized by specific negative parameter configurations using direct detection constraints. A comprehensive parameter space scan is performed under joint constraints from the observed dark matter relic density and direct detection experiments. The different signs of couplings not only correspond to different copositive criteria but also contribute to different parameter spaces caused by interference. The allowed values of quartic couplings are different for the four different cases; however, they all require the new Higgs to play a dominant role in determining dark matter relic density within the viable parameter space.
2025, 49(10): 103102. doi: 10.1088/1674-1137/addfcd
Abstract:
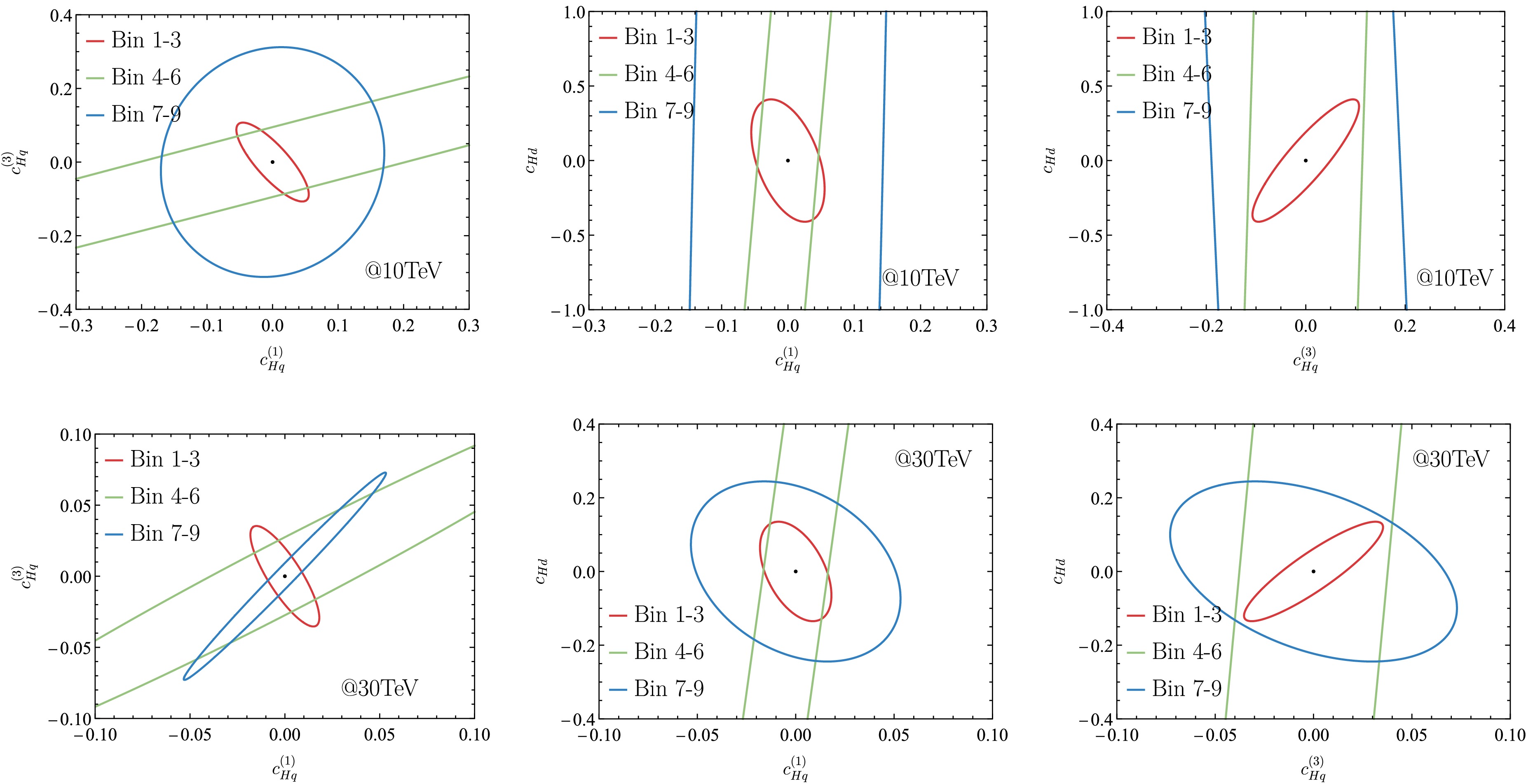
A future\begin{document}$ e^+e^- $\end{document} ![]()
![]()
collider could run at the Z-pole to perform important electroweak (EW) precision measurements, but such a run may not be viable for a future muon collider. However, this can be compensated for by measuring other EW processes utilizing the high energy and large luminosity of the muon collider. In this paper, we consider the measurements of the vector boson fusion processes of \begin{document}$ WW/WZ/W\gamma $\end{document} ![]()
![]()
to a pair of fermions (along with a \begin{document}$ \nu_{\mu}\bar{\nu}_{\mu} $\end{document} ![]()
![]()
or \begin{document}$ \nu_{\mu}\mu^+/\bar{\nu}_{\mu}\mu^- $\end{document} ![]()
![]()
pair) at a high-energy muon collider and study their potential for probing EW observables. We consider two run scenarios for the muon collider with center-of-mass energies of 10 and 30 TeV, respectively, and focus on the processes involving \begin{document}$ f=b,c,\tau $\end{document} ![]()
![]()
and the dimension-6 operators that directly modify the corresponding fermions coupling to the \begin{document}$ Z/W $\end{document} ![]()
![]()
bosons. The invariant mass distribution of the \begin{document}$ f\bar{f} $\end{document} ![]()
![]()
pair helps to separate the events from the \begin{document}$ Z/W $\end{document} ![]()
![]()
and high-energy resonances, whereas the polar angle of the outing fermion provides additional information. Through a chi-squared analysis on the binned distributions and combining the information from the WW and \begin{document}$ WZ/W\gamma $\end{document} ![]()
![]()
fusion processes, all relevant Wilson coefficients can be constrained simultaneously. The precision surpasses the current EW measurement constraints and is even competitive with future \begin{document}$ e^+e^- $\end{document} ![]()
![]()
colliders. Our analysis can be included in a more complete framework that is required to fully determine the potential of muon colliders in EW precision measurements.
A future
2025, 49(10): 103103. doi: 10.1088/1674-1137/ade1ca
Abstract:
We study the inelastic charmonium (\begin{document}$ J/\psi $\end{document} ![]()
![]()
, \begin{document}$ \psi(2S) $\end{document} ![]()
![]()
) and bottomonium (\begin{document}$ \Upsilon(nS) $\end{document} ![]()
![]()
) photoproduction and fragmentation processes in p-p and \begin{document}$ \rm Pb$\end{document} ![]()
![]()
-\begin{document}$\rm Pb$\end{document} ![]()
![]()
collisions at LHC energies, where the ultra-incoherent photon emission is included. Using the NRQCD factorization approach, an exact treatment is developed. This approach recovers the Weizsäcker-Williams approximation (WWA) near the \begin{document}$ Q^{2}\sim0 $\end{document} ![]()
![]()
region, where the Martin-Ryskin and BCCKL methods are used to avoid double counting. We calculated the \begin{document}$ Q^{2} $\end{document} ![]()
![]()
, y, z, \begin{document}$ \sqrt{s} $\end{document} ![]()
![]()
, and \begin{document}$ p_{T} $\end{document} ![]()
![]()
dependent and total cross sections. Inelastic photoproduction and fragmentation were observed to contribute to heavy quarkonium production, particularly at large \begin{document}$ p_{T} $\end{document} ![]()
![]()
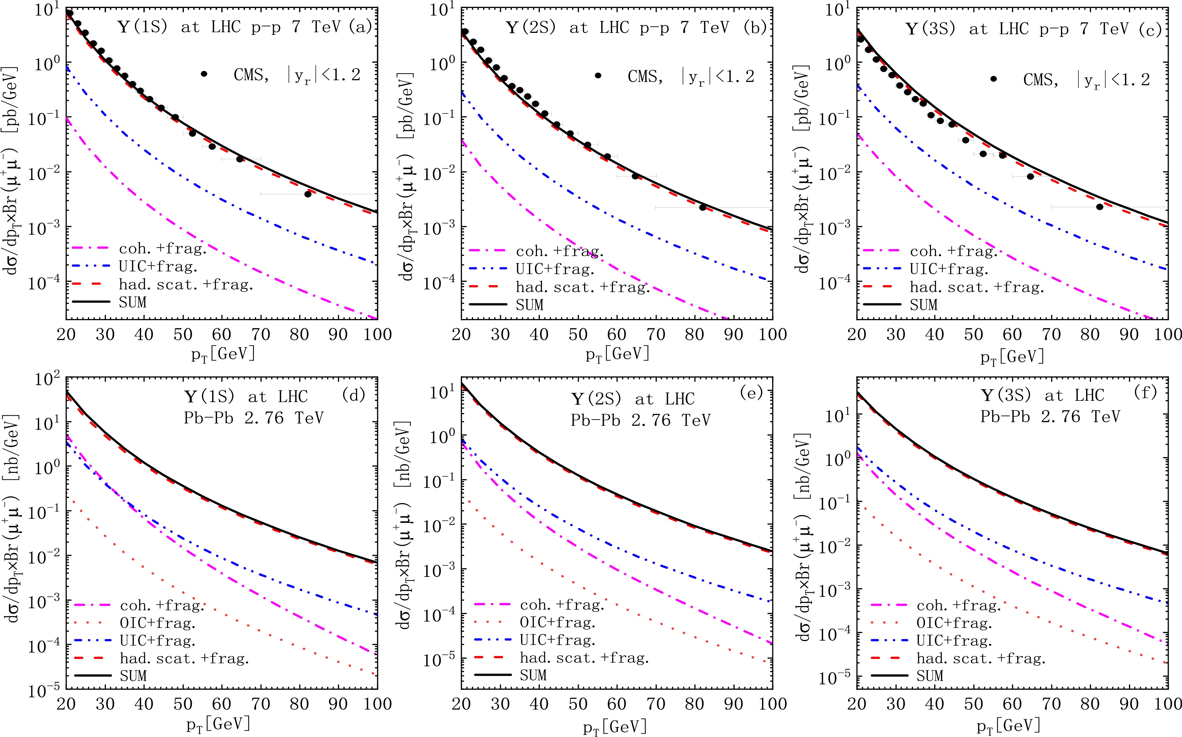
. In addition, the contribution of the ultra-incoherent photon channel, which increases rapidly with quarkonium mass, is significant and begins to dominate the photoproduction processes for large \begin{document}$ p_{T} $\end{document} ![]()
![]()
. We also obtained the complete WWA validity scopes of inelastic heavy quarkonium photoproduction in heavy-ion collisions. The WWA had high accuracy at high energies and for \begin{document}$\rm Pb $\end{document} ![]()
![]()
-\begin{document}$\rm Pb $\end{document} ![]()
![]()
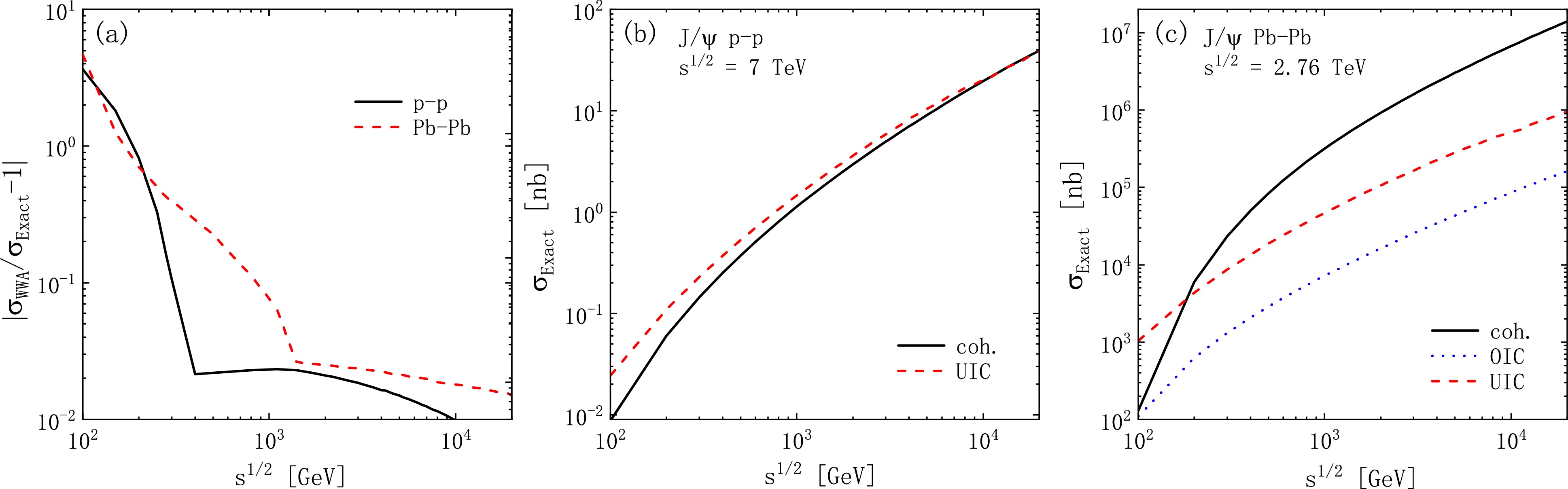
collisions. However, current photon spectra are derived beyond the WWA scope, and double counting can occur when considering different channels simultaneously.
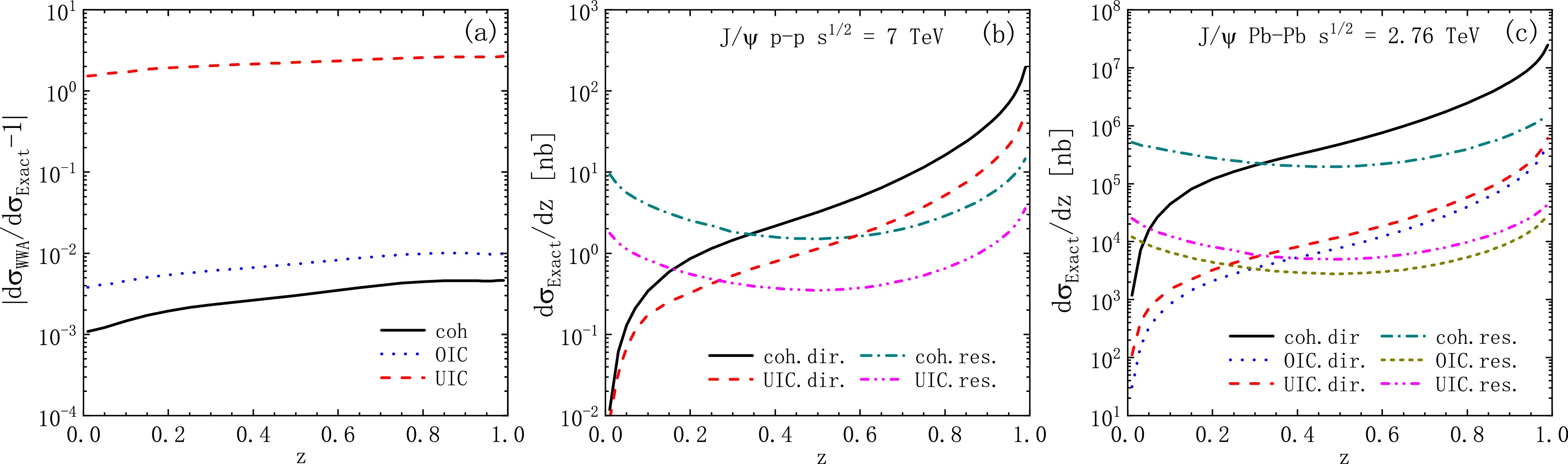
We study the inelastic charmonium (
2025, 49(10): 103104. doi: 10.1088/1674-1137/add912
Abstract:
In this study, we extend our previous study on the\begin{document}$ D^*\bar{D}^* $\end{document} ![]()
![]()
molecular states with \begin{document}$ J^{PC}=0^{++} $\end{document} ![]()
![]()
, \begin{document}$ 1^{+-} $\end{document} ![]()
![]()
, and \begin{document}$ 2^{++} $\end{document} ![]()
![]()
to investigate their two-body strong decays via the QCD sum rules based on rigorous quark-hadron duality. We obtain the partial decay widths and, therefore, the total widths of the ground states with \begin{document}$ J^{PC}=0^{++} $\end{document} ![]()
![]()
, \begin{document}$ 1^{+-} $\end{document} ![]()
![]()
, and \begin{document}$ 2^{++} $\end{document} ![]()
![]()
, which indicate that it is reasonable to assign \begin{document}$ X_2(4014) $\end{document} ![]()
![]()
as the \begin{document}$ D^*\bar{D}^* $\end{document} ![]()
![]()
tetraquark molecular states with \begin{document}$ J^{PC}=2^{++} $\end{document} ![]()
![]()
.
In this study, we extend our previous study on the
2025, 49(10): 103105. doi: 10.1088/1674-1137/ade1c9
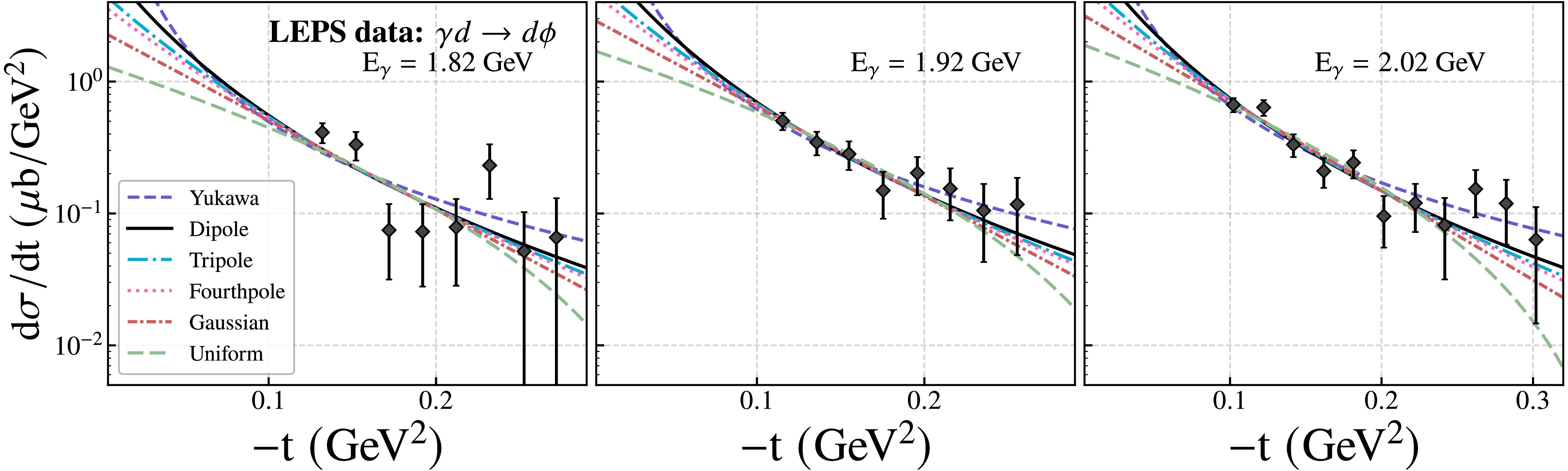
Abstract:
We present a comprehensive analysis of near-threshold photoproduction of\begin{document}$\rho^0$\end{document} ![]()
![]()
, ω, and ϕ mesons on a deuterium target, utilizing published datasets from DESY and SLAC for \begin{document}$\rho^0$\end{document} ![]()
![]()
and ω production, as well as data from the LEPS and CLAS Collaborations for ϕ production. In extracting the deuteron mass radius, we adopt a dipole parameterization for the scalar gravitational form factor, which effectively captures the \begin{document}$|t|$\end{document} ![]()
![]()
-dependence of the differential cross sections associated with vector meson photoproduction. In addition, results from alternative commonly used form factor parameterizations are considered and compared. By employing the vector meson dominance (VMD) framework and invoking low-energy Quantum Chromodynamics (QCD) theorems, we extract the deuteron mass radius from near-threshold photoproduction data of \begin{document}$\rho^0$\end{document} ![]()
![]()
, ω, and ϕ mesons. The mass radii obtained from the various datasets are found to be consistent within statistical uncertainties, yielding an average value of \begin{document}$2.03 \pm 0.13$\end{document} ![]()
![]()
fm under the dipole form assumption. We also provide a detailed discussion of the sensitivity of the extracted radius to the choice of gravitational form factor models. Our result represents a significant improvement in precision compared to earlier estimates based solely on ϕ meson photoproduction, offering new constraints for theoretical models of nuclear structure and deepening our understanding of the mass distribution within the deuteron.
We present a comprehensive analysis of near-threshold photoproduction of
2025, 49(10): 103106. doi: 10.1088/1674-1137/ade95a
Abstract:
In this study, we investigate the electromagnetic properties\begin{document}$ - $\end{document} ![]()
![]()
specifically, the magnetic dipole, electric quadrupole, and magnetic octupole moments \begin{document}$ - $\end{document} ![]()
![]()
of six hidden-charm pentaquark states: \begin{document}$ [u u][d c] \bar c $\end{document} ![]()
![]()
, \begin{document}$ [dd][u c] \bar c $\end{document} ![]()
![]()
, \begin{document}$ [u u][s c] \bar c $\end{document} ![]()
![]()
, \begin{document}$ [dd] [s c] \bar c $\end{document} ![]()
![]()
, \begin{document}$ [s s][u c] \bar c $\end{document} ![]()
![]()
, and \begin{document}$ [s s][d c] \bar c $\end{document} ![]()
![]()
. Employing the framework of QCD light-cone sum rules and utilizing two distinct diquark-diquark-antiquark interpolating currents, we focus on pentaquark configurations with spin-parity quantum numbers \begin{document}$ \rm{\mathit{J}}^{\rm{\mathit{P}}}=3/2^- $\end{document} ![]()
![]()
. The numerical results demonstrate significant deviations between the magnetic dipole moments predicted using different diquark-diquark-antidiquark structures. These results suggest that multiple pentaquark states with identical quantum numbers and quark constituents may exhibit distinct magnetic dipole moments, depending on their internal quark configurations. The obtained electromagnetic moments, particularly the variations in magnetic dipole moments, may provide insights into the internal structure of hidden-charm pentaquark states.
In this study, we investigate the electromagnetic properties
2025, 49(10): 103107. doi: 10.1088/1674-1137/ade6d7
Abstract:
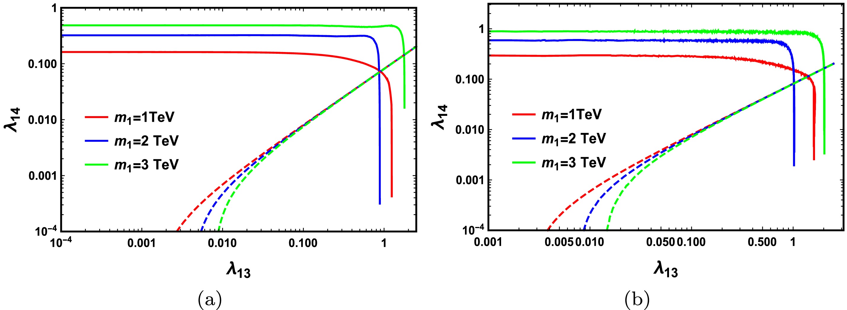
We apply a universal two-zero texture (UTZT) to all mass matrices for matter in its flavor space within the SO(10) GUT framework. This texture can be realized by assigning different charges to each family in a\begin{document}$ Z_6 $\end{document} ![]()
![]()
symmetry. By fixing the charged fermion masses at their best-fit values, we fit the remaining nine precisely measured observables (three angles and one CP-violating phase in quark mixing, three angles in lepton mixing, and two neutrino mass-squared differences) with seven model parameters. The model fits all data on fermion masses and mixing accurately, and the leptonic CP-violating phase is predicted to lie in the range \begin{document}$ (90^\circ, 230^\circ) $\end{document} ![]()
![]()
. The model further predicts the right-handed neutrino masses, with the lightest and heaviest ones being on orders of \begin{document}$ 10^9 $\end{document} ![]()
![]()
and \begin{document}$ 10^{12} $\end{document} ![]()
![]()
GeV, respectively. Gauge unification and proton decay were checked under the assumption of a breaking chain with two intermediate symmetries above the electroweak scale. The result indicates that \begin{document}$ \alpha_{\rm{GUT}} $\end{document} ![]()
![]()
varies in the range of (0.022,0.032) as long as the assumption of an economical choice of Higgs contents is fulfilled, and \begin{document}$ M_{\rm{GUT}} $\end{document} ![]()
![]()
should be bigger than \begin{document}$ 4.5\times 10^{15} $\end{document} ![]()
![]()
GeV to meet the Super-K bound. We report on the effective mass \begin{document}$ m_{ee} $\end{document} ![]()
![]()
for neutrinoless double beta decay, which provides a possibility to test grand unification with neutrinoless double beta decay experiments.
We apply a universal two-zero texture (UTZT) to all mass matrices for matter in its flavor space within the SO(10) GUT framework. This texture can be realized by assigning different charges to each family in a
2025, 49(10): 103108. doi: 10.1088/1674-1137/adec4e
Abstract:
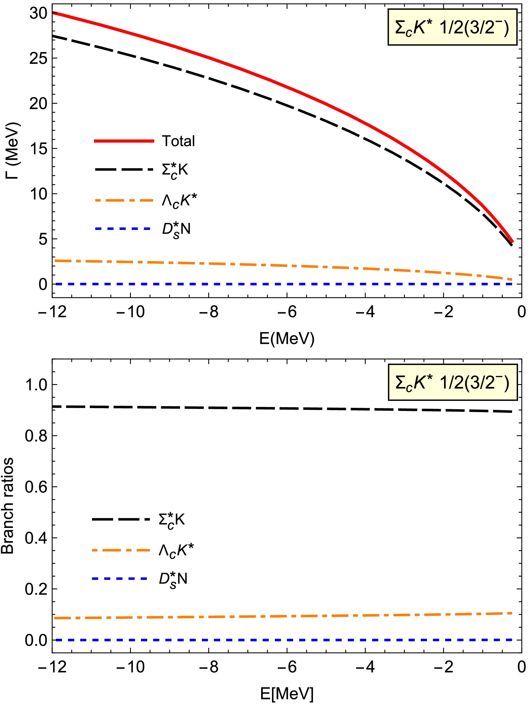
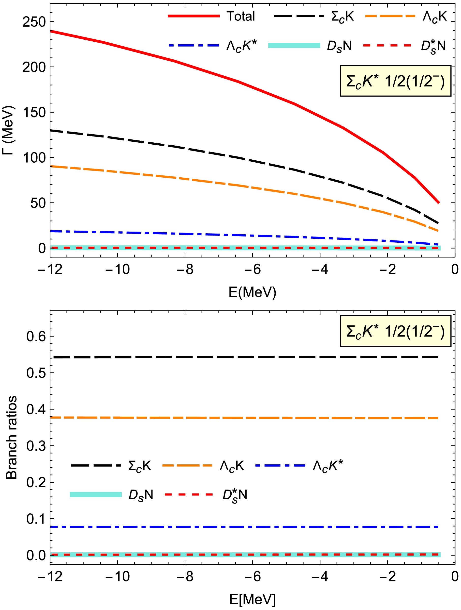
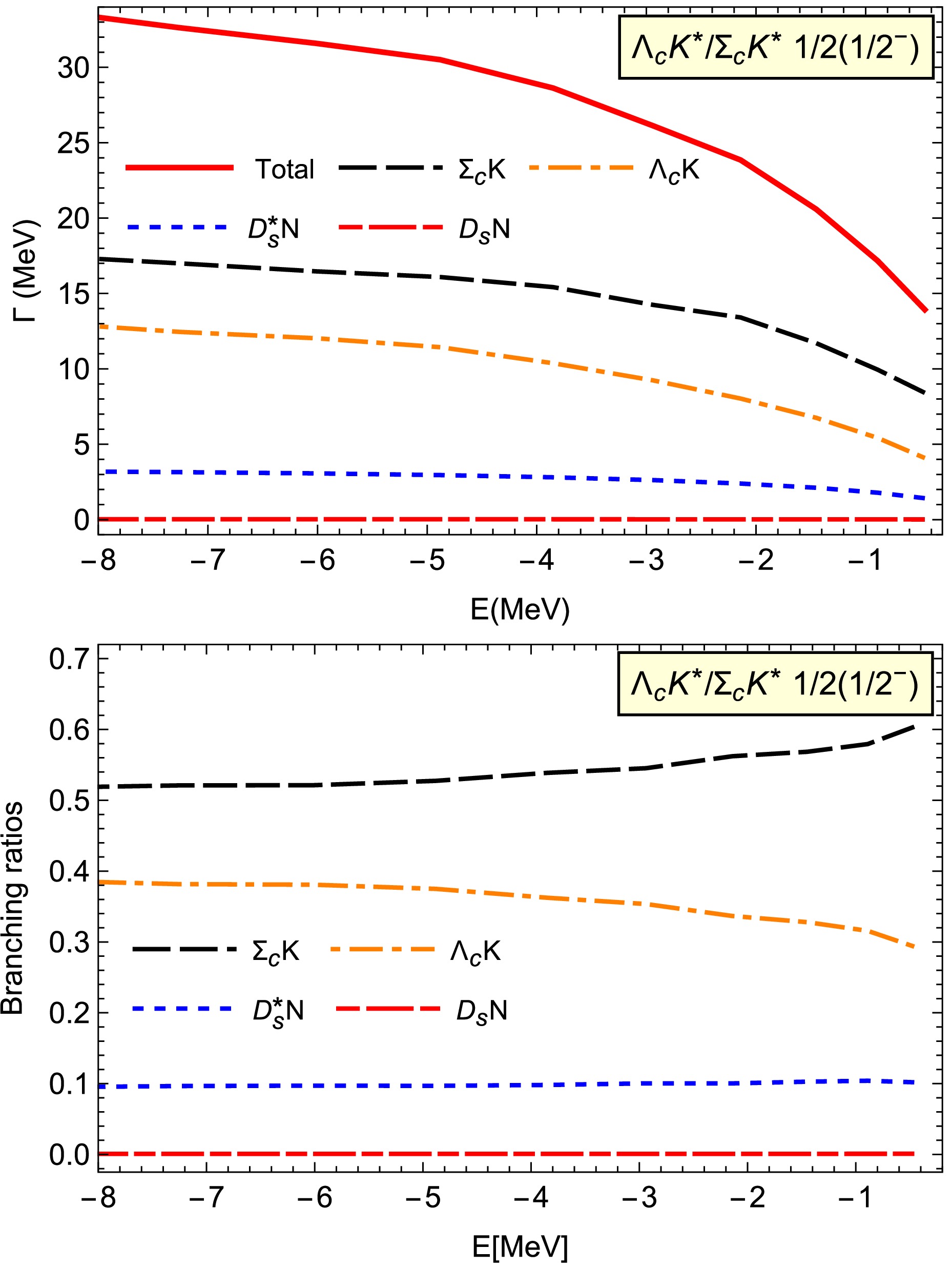
In this work, we apply the effective Lagrangian approach to investigate the two-body strong decay behaviors of the possible\begin{document}$ \Lambda_c K^* $\end{document} ![]()
![]()
and \begin{document}$ \Sigma_c K^{(*)} $\end{document} ![]()
![]()
molecules as predicted in our previous study [Phys. Rev. D 108, 054011 (2023)]. Our results indicate that the decay width for the coupled \begin{document}$ \Sigma_c K / \Lambda_c K^* / \Sigma_c K^* $\end{document} ![]()
![]()
molecule with \begin{document}$ I(J^P) = 1/2(1/2^-) $\end{document} ![]()
![]()
is on the order of several MeV, with the \begin{document}$ D_s N $\end{document} ![]()
![]()
channel being dominant. For the coupled \begin{document}$ \Lambda_c K^* / \Sigma_c K^* $\end{document} ![]()
![]()
molecule with \begin{document}$ 1/2(1/2^-, 3/2^-) $\end{document} ![]()
![]()
, the decay widths are on the order of tens of MeV, with the dominant channels being \begin{document}$ \Sigma_c K $\end{document} ![]()
![]()
and \begin{document}$ \Sigma_c^* K $\end{document} ![]()
![]()
, respectively. For the \begin{document}$ \Sigma_c K^* $\end{document} ![]()
![]()
molecules with \begin{document}$ 1/2(1/2^-) $\end{document} ![]()
![]()
, the decay width can reach one hundred MeV, with \begin{document}$ \Sigma_c K $\end{document} ![]()
![]()
and \begin{document}$ \Lambda_c K $\end{document} ![]()
![]()
being the dominant decay channels. The decay widths for the \begin{document}$ \Sigma_c K^* $\end{document} ![]()
![]()
molecules with \begin{document}$ 1/2(3/2^-) $\end{document} ![]()
![]()
and \begin{document}$ 3/2(1/2^-) $\end{document} ![]()
![]()
are on the order of tens of MeV, with the dominant decay modes being \begin{document}$ \Sigma_c^* K $\end{document} ![]()
![]()
and \begin{document}$ \Sigma_c K $\end{document} ![]()
![]()
, respectively. The branching ratios for all the discussed channels exhibit slight dependence on the binding energies.
In this work, we apply the effective Lagrangian approach to investigate the two-body strong decay behaviors of the possible
2025, 49(10): 103109. doi: 10.1088/1674-1137/ade95d
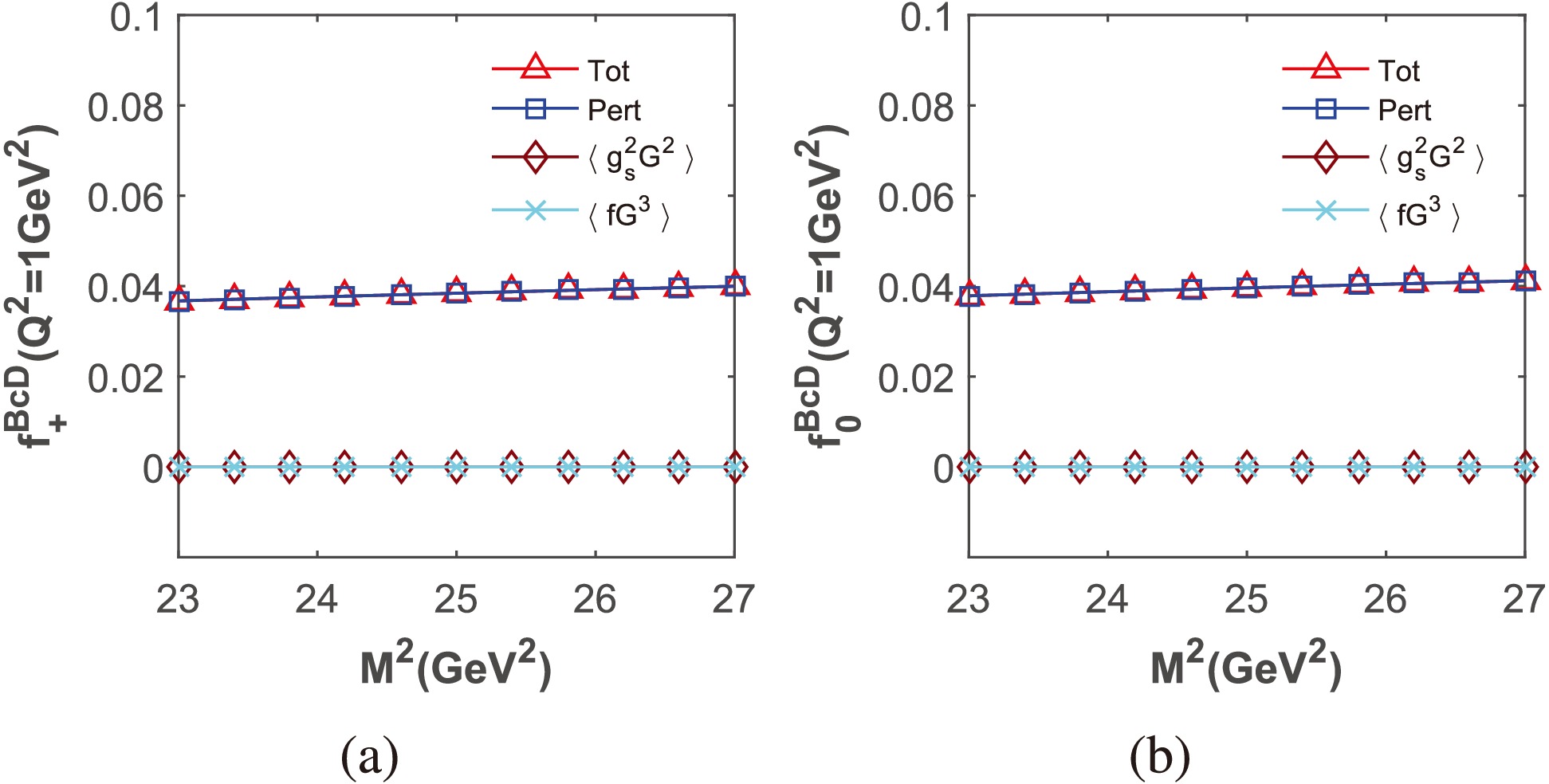
Abstract:
This study is devoted to calculating the form factors of\begin{document}$B_c \to D^{*}$\end{document} ![]()
![]()
, \begin{document}$B_c \to D$\end{document} ![]()
![]()
, \begin{document}$B_c \to D_s^{*}$\end{document} ![]()
![]()
, and \begin{document}$B_c \to D_s$\end{document} ![]()
![]()
transitions in the framework of three-point QCD sum rules. At the QCD side, the contributions of \begin{document}$\langle\overline{q}q\rangle$\end{document} ![]()
![]()
, \begin{document}$\langle\overline{q}g_{s}\sigma Gq\rangle$\end{document} ![]()
![]()
, \begin{document}$\langle g_{s}^{2}G^{2}\rangle$\end{document} ![]()
![]()
, \begin{document}$\langle g^{3}f_{abc}G^{3}\rangle$\end{document} ![]()
![]()
, and \begin{document}$\langle\overline{q}q\rangle \langle g_{s}^{2}G^{2}\rangle$\end{document} ![]()
![]()
are taken into account. With the obtained form factors, the decay widths and branching ratios of several two-body nonleptonic decay processes, \begin{document}$B_c \to \eta_c D^{*}$\end{document} ![]()
![]()
, \begin{document}$\eta_c D$\end{document} ![]()
![]()
, \begin{document}$ J/\psi D^{*}$\end{document} ![]()
![]()
, \begin{document}$ J/\psi D$\end{document} ![]()
![]()
, \begin{document}$\eta_c D_s^{*}$\end{document} ![]()
![]()
, \begin{document}$\eta_c D_s$\end{document} ![]()
![]()
, \begin{document}$J/\psi D_s^{*}$\end{document} ![]()
![]()
, and \begin{document}$J/\psi D_s$\end{document} ![]()
![]()
, are predicted. These results on the form factors and decay properties of the\begin{document}$B_c$\end{document} ![]()
![]()
meson provide useful information for us to study the heavy-quark dynamical behavior.
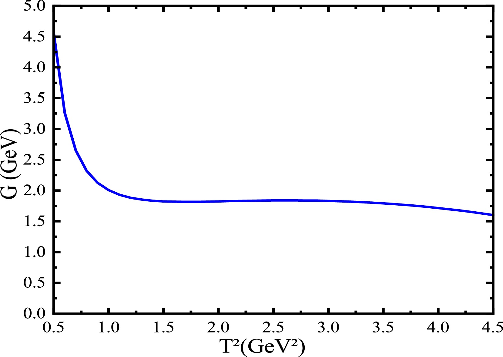
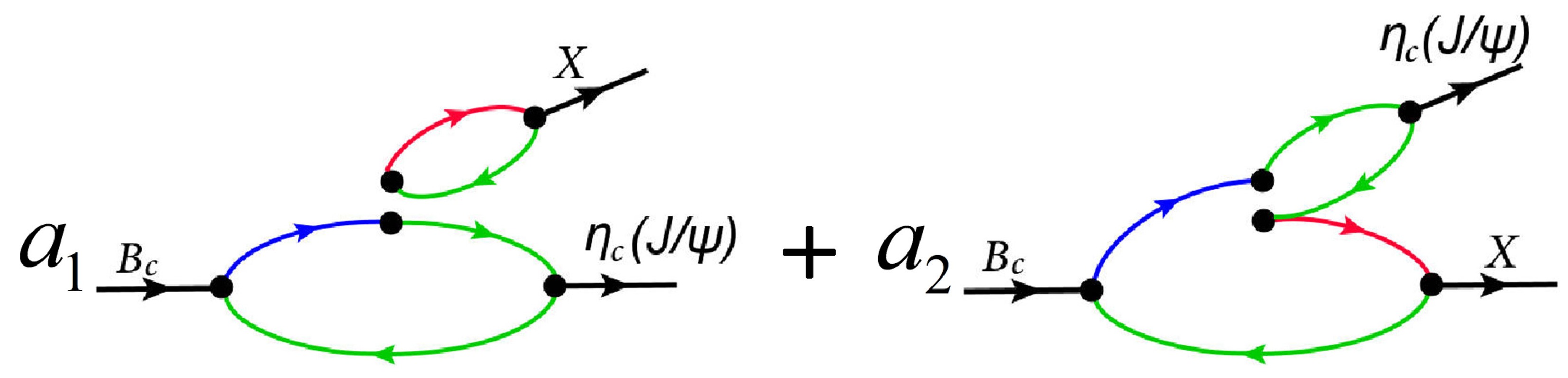
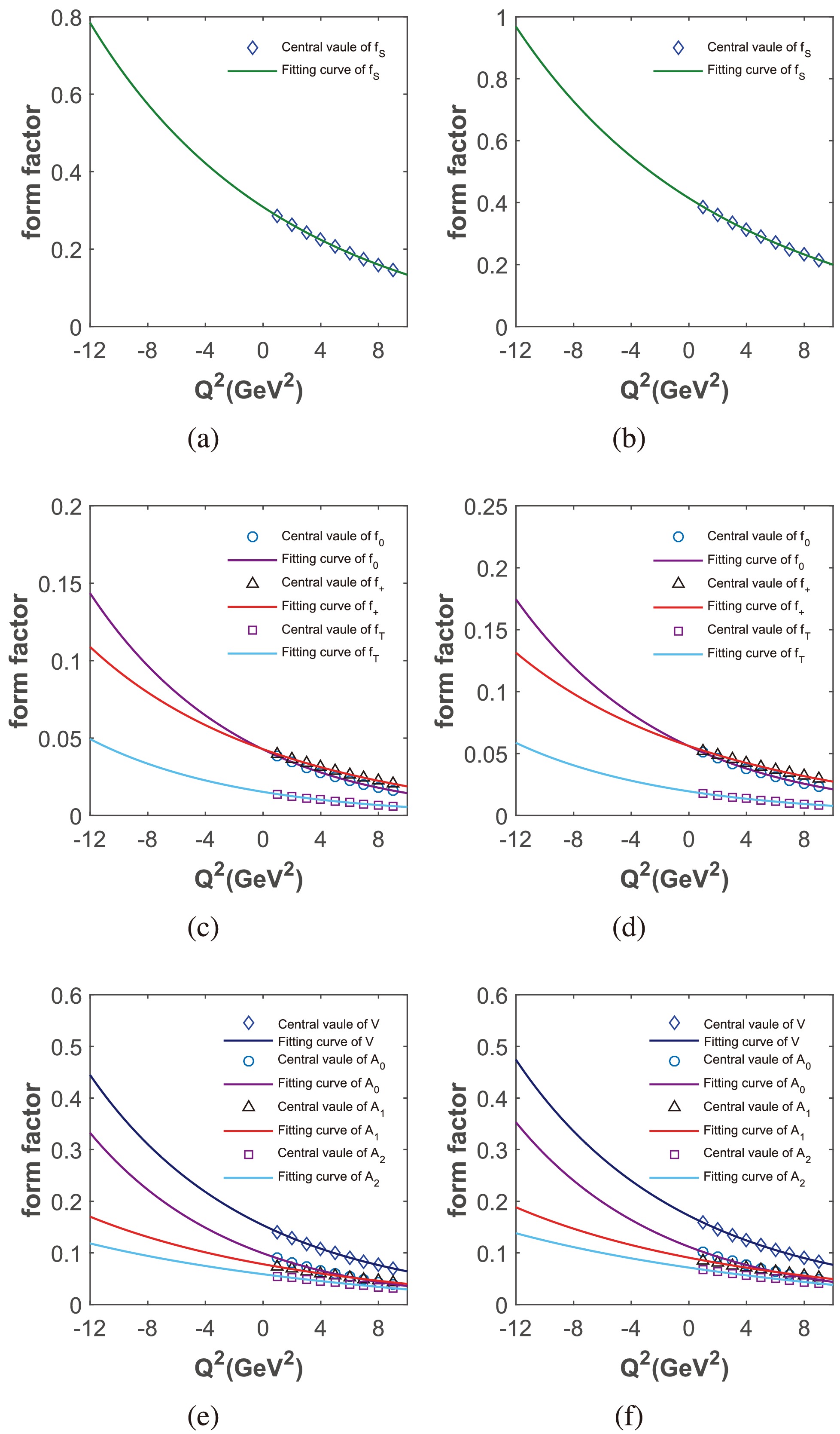
This study is devoted to calculating the form factors of
2025, 49(10): 104001. doi: 10.1088/1674-1137/ade95b
Abstract:
We developed a time-of-flight (TOF) detector with a thin foil for mass measurements of unstable nuclei using the Rare-RI Ring at the RIKEN RI beam factory. Compared to the previous design, the developed TOF detector employed modified electrodes, and its static electric and magnetic fields were reduced. We improved the detection efficiency and stability of operation. Its specification and design were finally fixed for mass measurements. We also developed a position-sensitive detector based on the principles of the TOF detector. This study utilized larger microchannel plate (MCP) detectors than those of the prototype. By improving acceptance, we demonstrated the performance of the position-sensitive detector with very low material thickness.
We developed a time-of-flight (TOF) detector with a thin foil for mass measurements of unstable nuclei using the Rare-RI Ring at the RIKEN RI beam factory. Compared to the previous design, the developed TOF detector employed modified electrodes, and its static electric and magnetic fields were reduced. We improved the detection efficiency and stability of operation. Its specification and design were finally fixed for mass measurements. We also developed a position-sensitive detector based on the principles of the TOF detector. This study utilized larger microchannel plate (MCP) detectors than those of the prototype. By improving acceptance, we demonstrated the performance of the position-sensitive detector with very low material thickness.
2025, 49(10): 104101. doi: 10.1088/1674-1137/ade660
Abstract:
The STAR experiment at the top RHIC energy has observed that the directed flow (\begin{document}$ v_1 $\end{document} ![]()
![]()
) of inclusive light hadrons is independent of the collision system size at a given centrality [1 ]. However, recent STAR measurements indicate a system-size dependence in the \begin{document}$ v_1(y) $\end{document} ![]()
![]()
-slope (\begin{document}$ {\rm d}v_{1}/{\rm d}y $\end{document} ![]()
![]()
) of protons, antiprotons, and their differences (\begin{document}$ \Delta {\rm d}v_{1}/{\rm d}y $\end{document} ![]()
![]()
) at a given centrality, suggesting a potential influence of baryon production and transport mechanisms [2 ]. In this study, we analyzed pseudorapidity (\begin{document}$ {\rm d}N/{\rm d}y $\end{document} ![]()
![]()
) distributions and directed flow (\begin{document}$ v_1 $\end{document} ![]()
![]()
and \begin{document}$ {\rm d}v_{1}/{\rm d}y $\end{document} ![]()
![]()
) for pions, kaons, and protons in Au+Au and Cu+Cu collisions at \begin{document}$ \sqrt{s_{NN}} = 19.6 $\end{document} ![]()
![]()
GeV using A Multi-Phase Transport (AMPT) model. Specifically, we investigated the influence of string junction parameters in the AMPT model via the PYTHIA/JETSET routines, focusing on the popcorn mechanism and string-splitting parameters, on \begin{document}$ {\rm d}N/{\rm d}y $\end{document} ![]()
![]()
, \begin{document}$ {\rm d}v_{1}/{\rm d}y $\end{document} ![]()
![]()
, and their charge-dependent splittings (\begin{document}$ \Delta {\rm d}N/{\rm d}y $\end{document} ![]()
![]()
and \begin{document}$ \Delta {\rm d}v_{1}/{\rm d}y $\end{document} ![]()
![]()
). We observed that string junction parameters can affect \begin{document}$ {\rm d}N/{\rm d}y $\end{document} ![]()
![]()
, \begin{document}$ {\rm d}v_{1}/{\rm d}y $\end{document} ![]()
![]()
, \begin{document}$ \Delta {\rm d}N/{\rm d}y $\end{document} ![]()
![]()
, and \begin{document}$ \Delta {\rm d}v_{1}/{\rm d}y $\end{document} ![]()
![]()
for π, K, and p, and influence their system-size dependence. The effect is most prominent on the \begin{document}$ v_1 $\end{document} ![]()
![]()
value of protons and non-trivial for kaons; the \begin{document}$ v_1 $\end{document} ![]()
![]()
value of pions remains largely unchanged. These findings provide insights into the interplay among particle production mechanisms, baryon transport, and directed flow in heavy-ion collisions.
The STAR experiment at the top RHIC energy has observed that the directed flow (
2025, 49(10): 104102. doi: 10.1088/1674-1137/ade126
Abstract:
In recent years, neutrino-nucleus scattering has been extensively researched to investigate nuclear structures and interactions between neutrinos and nucleons. In this study, a charged-current quasielastic (CCQE) neutrino-nucleus scattering model is developed to explore the nuclear mean-field dynamics and short-range correlation effects. In this model, the effect of the nuclear structure is depicted using the scaling function\begin{document}$ f(\psi) $\end{document} ![]()
![]()
, whereas the neutrino-nucleon interaction is represented by the elementary weak cross section \begin{document}$ \sigma_0 $\end{document} ![]()
![]()
. The results indicate that the double-differential cross section of the scattered muon is influenced by the energy \begin{document}$ E $\end{document} ![]()
![]()
and momentum \begin{document}$ {\bf{p}} $\end{document} ![]()
![]()
of the nucleon in the nuclei, and the total cross section depends primarily on the incident neutrino energy \begin{document}$ E_\nu $\end{document} ![]()
![]()
. Furthermore, incorporating short-range correlations results in the flux-integrated differential cross sections in the high-\begin{document}$ T_\mu $\end{document} ![]()
![]()
region producing larger values, a longer tail, and achieving better experimental consistency. It eventually elucidates the physical relationship between the neutrino-nucleus scattering cross section and variation in the incident neutrino energy. This paper shares insights for the research on nucleon dynamics and presents detailed investigations of the neutrino-nucleus scattering mechanism.
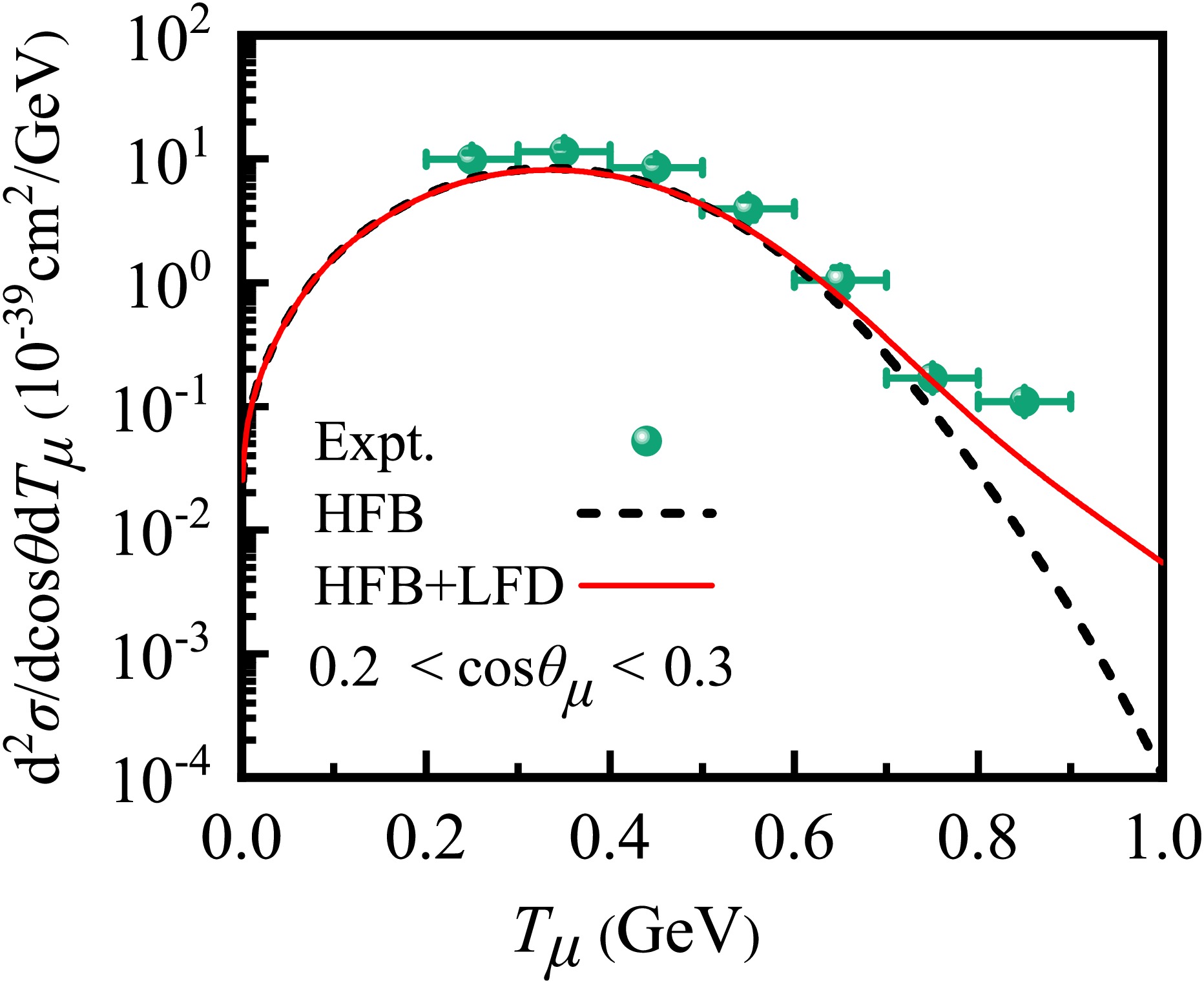
In recent years, neutrino-nucleus scattering has been extensively researched to investigate nuclear structures and interactions between neutrinos and nucleons. In this study, a charged-current quasielastic (CCQE) neutrino-nucleus scattering model is developed to explore the nuclear mean-field dynamics and short-range correlation effects. In this model, the effect of the nuclear structure is depicted using the scaling function
2025, 49(10): 104103. doi: 10.1088/1674-1137/ade95e
Abstract:
The signature splitting observed in the 3/2[521]ν↑\begin{document}$\otimes $\end{document} ![]()
![]()
1/2[660]ν↑\begin{document}$\otimes $\end{document} ![]()
![]()
1/2[660]ν↑ three-quasineutron rotational band of 155Dy is examined within the framework of axially symmetric three-quasiparticle plus axially symmetric rotor model. The experimental level energies and magnitudes of observed splitting are well-reproduced with RMS deviations of 68.13 keV and 0.58 keV, respectively. The major contributing bands in the observed splitting are Kπ=7/2–:5/2[512]ν↑\begin{document}$\otimes $\end{document} ![]()
![]()
3/2[651]ν↑\begin{document}$\otimes $\end{document} ![]()
![]()
1/2[660]ν↓, Kπ=5/2–: 5/2[512]ν↑\begin{document}$\otimes $\end{document} ![]()
![]()
3/2[651]ν↑\begin{document}$\otimes $\end{document} ![]()
![]()
3/2[651]ν↓, Kπ=1/2–:3/2[521]ν↑\begin{document}$\otimes $\end{document} ![]()
![]()
1/2[660]ν↑\begin{document}$\otimes $\end{document} ![]()
![]()
3/2[651]ν↓, Kπ=1/2–: 3/2[521]ν↓\begin{document}$\otimes $\end{document} ![]()
![]()
1/2[660]ν↑\begin{document}$\otimes $\end{document} ![]()
![]()
3/2[651]ν↑, Kπ=5/2–:3/2[521]ν↑\begin{document}$\otimes $\end{document} ![]()
![]()
3/2[651]ν↑\begin{document}$\otimes $\end{document} ![]()
![]()
1/2[660]ν↓, and Kπ=3/2–: 3/2[521]ν↑\begin{document}$\otimes $\end{document} ![]()
![]()
3/2[651]ν↑\begin{document}$\otimes $\end{document} ![]()
![]()
3/2[651]ν↓, which mix through rotor-particle (ΔK=1) and particle-particle (ΔK=0) couplings among the bands comprising the given basis space. The observed signature splitting is also well-reproduced by the superposition of calculated energy staggering of the strongly interacting bands, which further strengthens the validity of present particle rotor model calculations. Based on the present calculations, we assign the bandhead spin Kπ= 3/2– to the band under discussion. Additionally, the locations of 13 low-lying band members in the spin range Iπ=3/2– to 23/2– and at 27/2– and 31/2– are predicted, which will be useful for future experimental investigations.
The signature splitting observed in the 3/2[521]ν↑
2025, 49(10): 104104. doi: 10.1088/1674-1137/addaaf
Abstract:
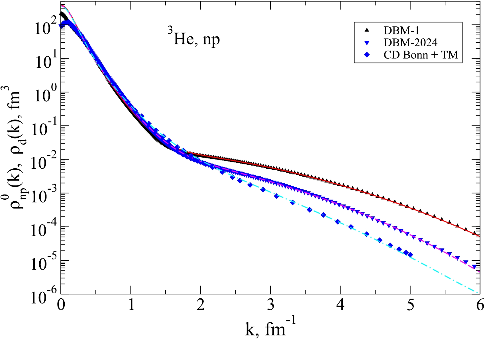
The formalism for a quantitative treatment of high-momentum components of\begin{document}$ NN $\end{document} ![]()
![]()
momentum distributions for the spin-singlet channels is presented. This approach suggests that the use of a distribution for a virtual state in momentum representation for the \begin{document}$ NN $\end{document} ![]()
![]()
channel in question is a universal one, which can be further employed within contact formalisms for nuclei. It is shown how such distributions can be calculated from low-energy scattering wave functions in the same channels. As a result, a new characteristic (a constant) for the high-momentum part of the momentum distribution in a spin-singlet channel is introduced. To test the approach, we calculate the \begin{document}$ pp $\end{document} ![]()
![]()
nuclear contacts for the \begin{document}$ ^3 {\rm{He}}$\end{document} ![]()
![]()
, nucleus which appear to be nearly the same for four realistic \begin{document}$ NN $\end{document} ![]()
![]()
interactions with essentially different high-momentum properties. The results should be useful for researchers studying the problem of short-range correlations in nuclei. In particular, the approach gives a generalization for the formalisms based on nuclear contacts.
The formalism for a quantitative treatment of high-momentum components of
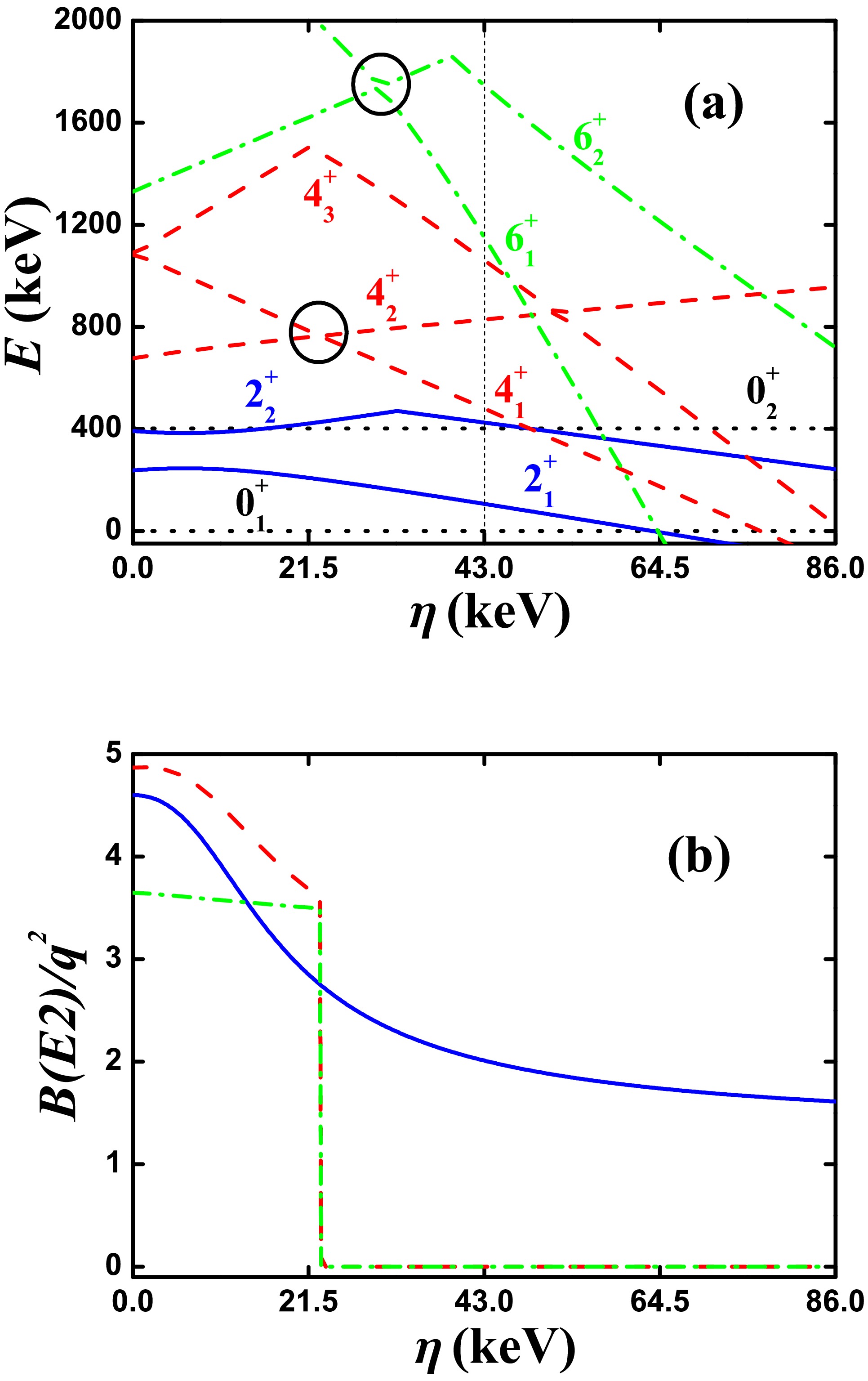
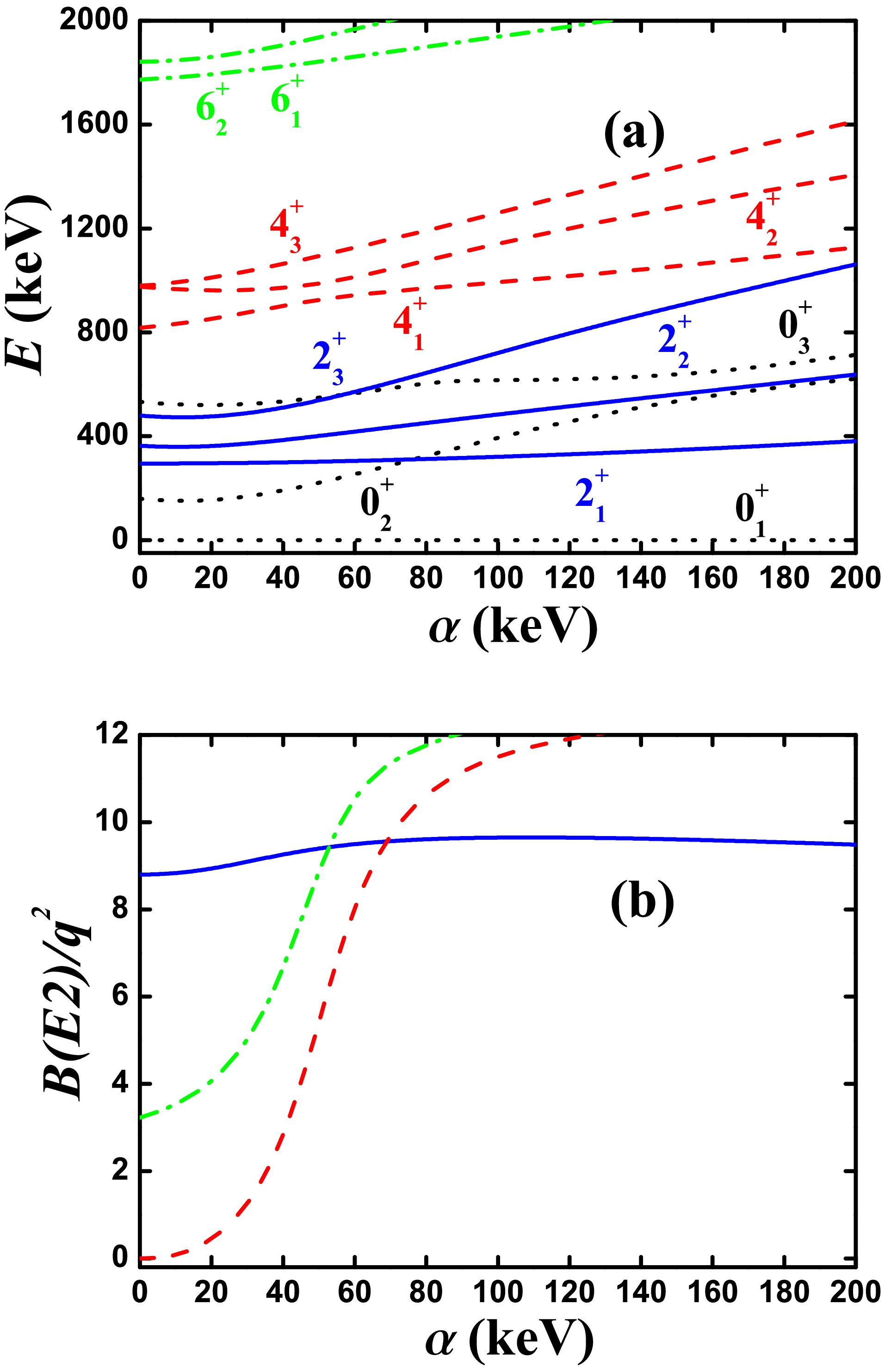
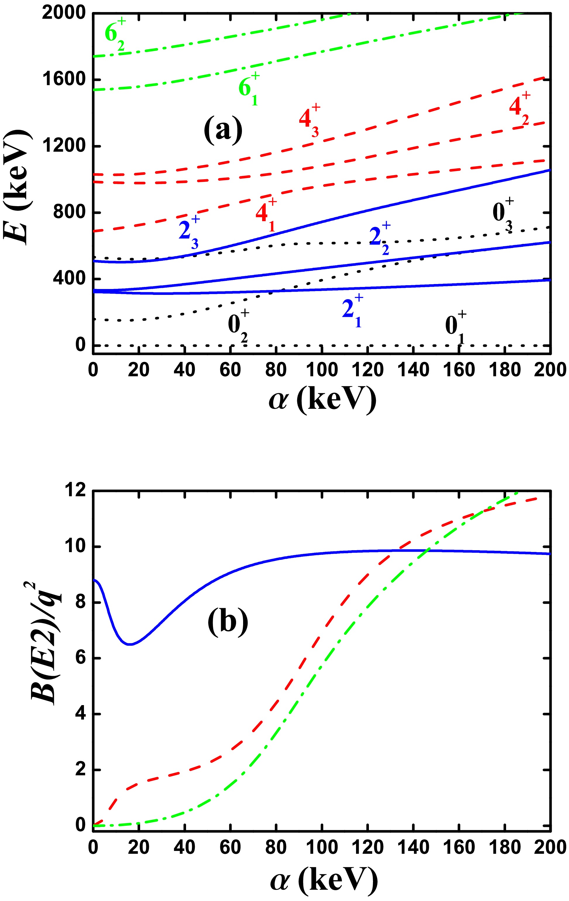
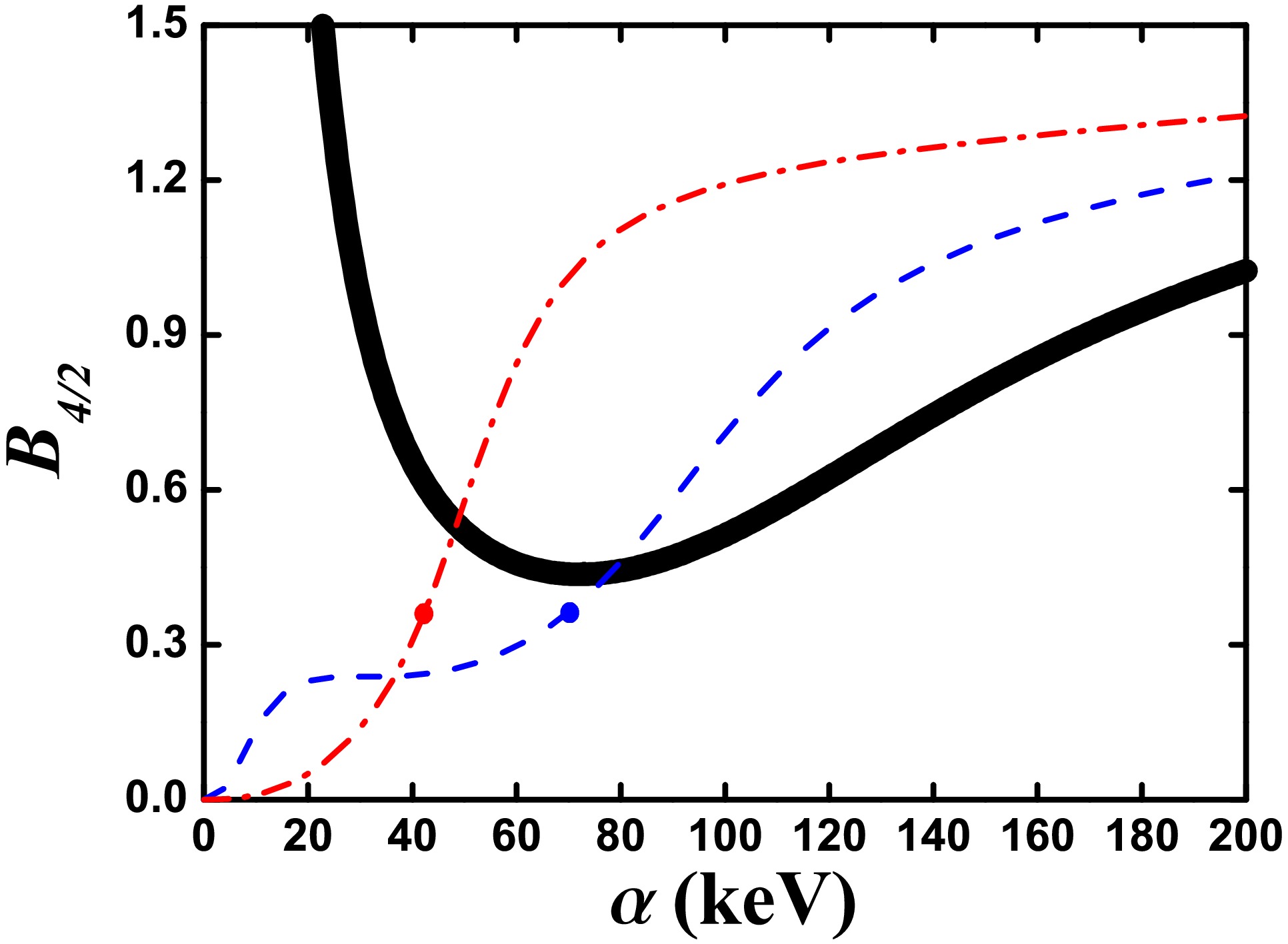
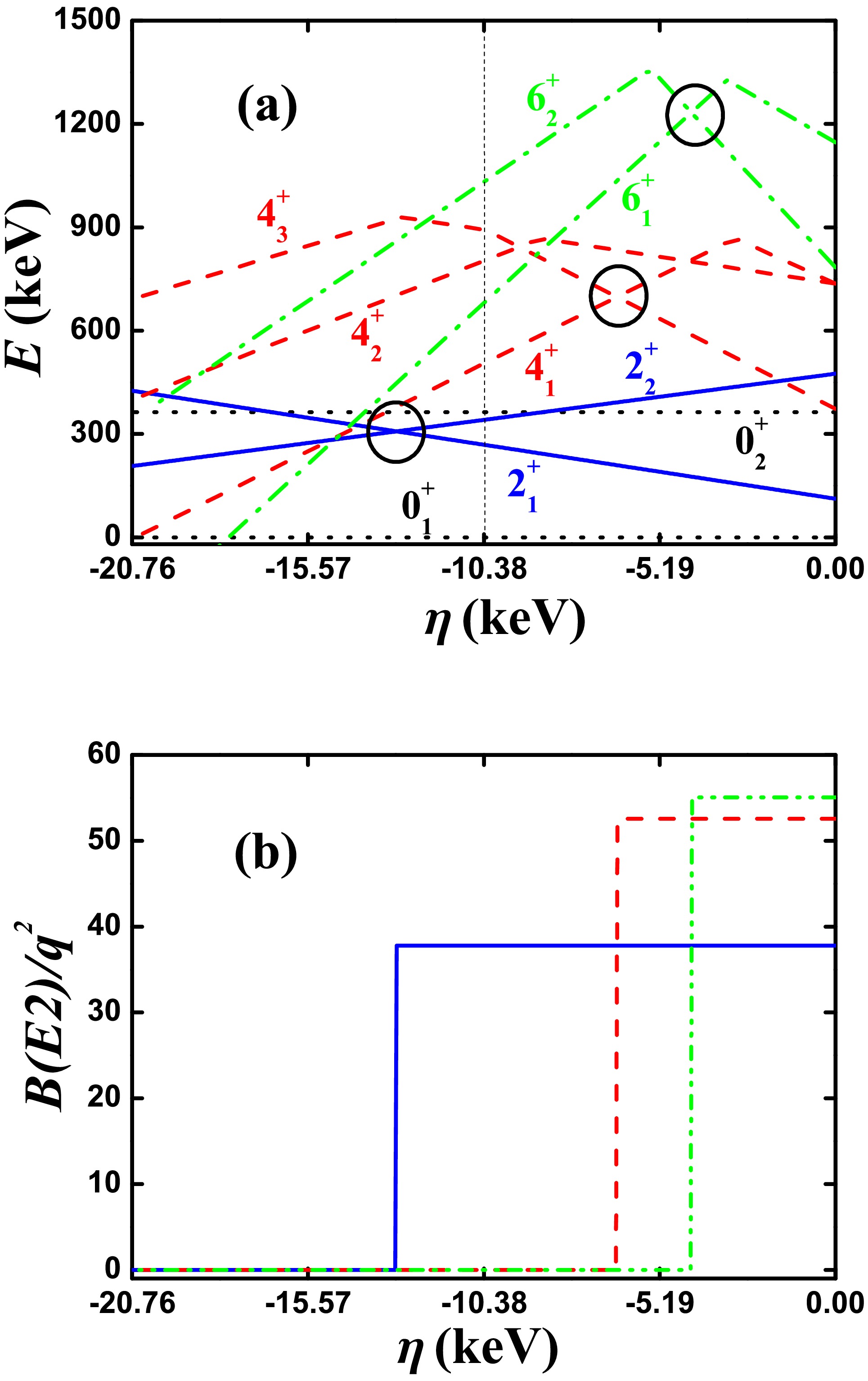
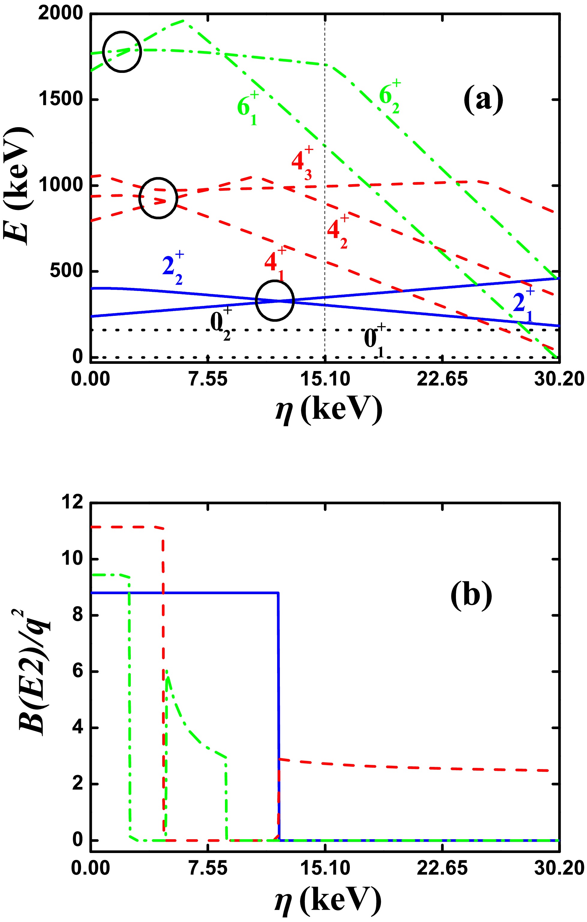
2025, 49(10): 104105. doi: 10.1088/1674-1137/aded05
Abstract:
The concept of ''SU(3) analysis'' is proposed for the B(E2) anomaly based on various mechanisms reported recently. The B(E2) anomaly is analyzed in the SU(3) symmetry limit. According to the results of the analysis, the SU(3) third-order interaction\begin{document}$ [L\times Q \times L]^{(0)} $\end{document} ![]()
![]()
can generate the level-crossing phenomenon for any mechanism, which is vital for the emergence of the B(E2) anomaly. Thus, this anomaly is found to be related with the SU(3) symmetry. The B(E2) anomaly in \begin{document}$ ^{^{168}} {\rm{Os}}$\end{document} ![]()
![]()
is also analyzed.
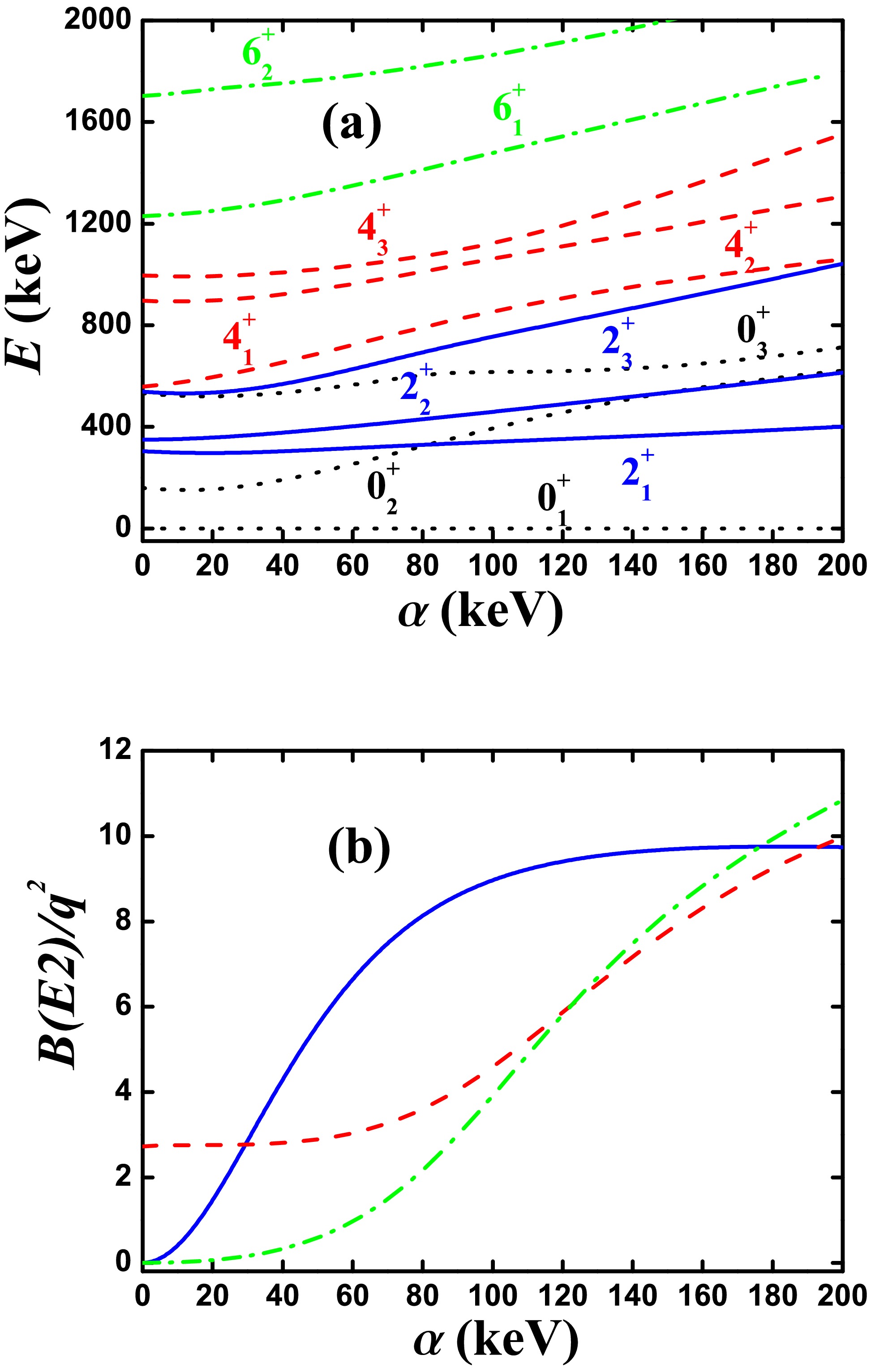
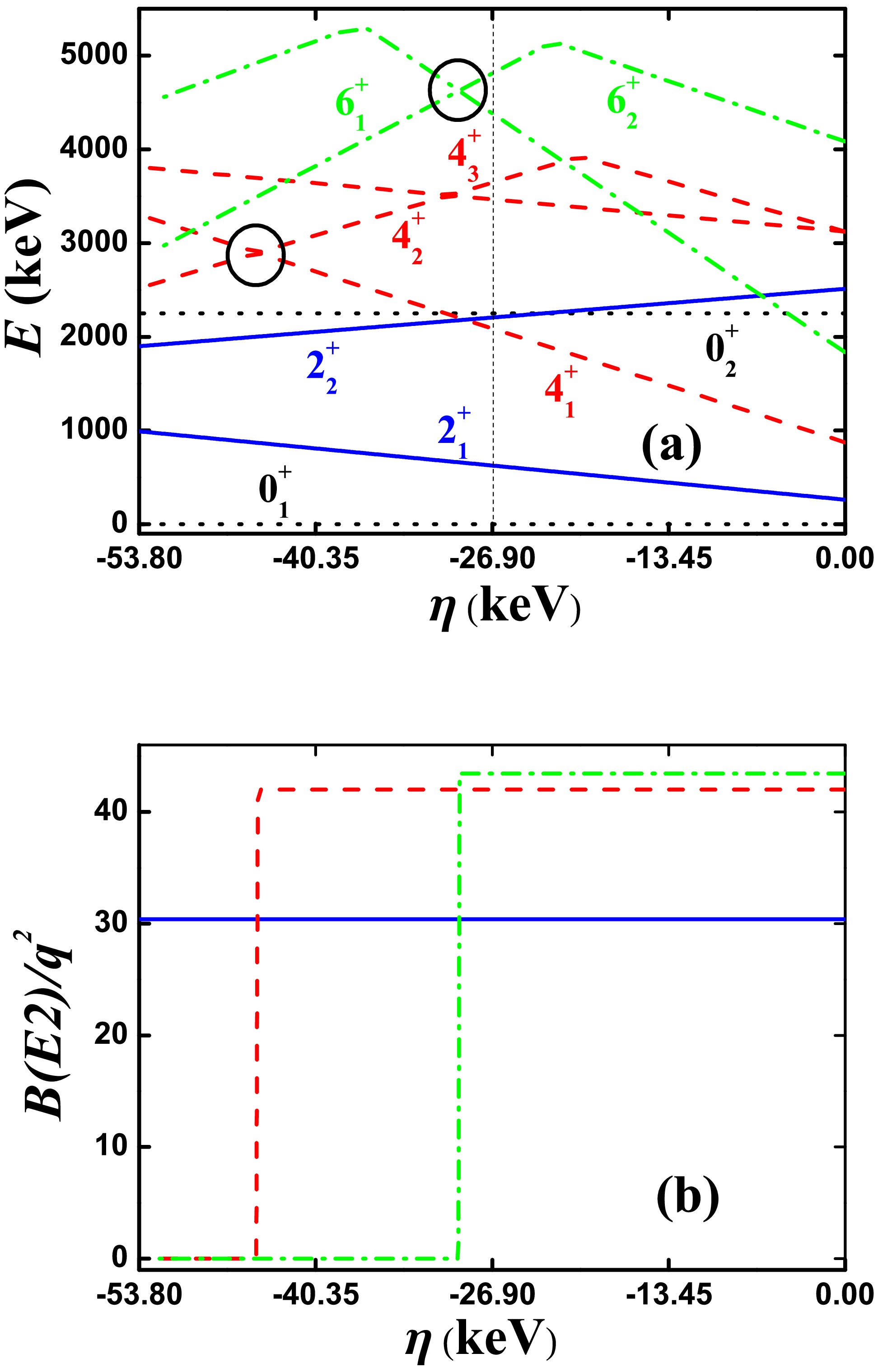
The concept of ''SU(3) analysis'' is proposed for the B(E2) anomaly based on various mechanisms reported recently. The B(E2) anomaly is analyzed in the SU(3) symmetry limit. According to the results of the analysis, the SU(3) third-order interaction
2025, 49(10): 104106. doi: 10.1088/1674-1137/ade958
Abstract:
The Bayesian neural network (BNN) has been widely used to study nuclear physics in recent years. In this study, a BNN was applied to optimize seven theoretical nuclear mass models, namely, six global models and one local model. The accuracy of these models in describing and predicting masses of nuclei with both the proton number and the neutron number greater than or equal to eight was improved effectively for two types of numerical experiments, particularly for the liquid drop model and the relativistic mean-field theory, whose root mean square deviations (RMSDs) for describing (predicting) nuclear masses were reduced by 81.5%−90.6% (66.9%−84.2%). Additionally, the relatively stable RMSDs as nuclei move away from the β-stability line and the good agreement with experimental single-neutron separation energies further confirm the reliability of the BNN.
The Bayesian neural network (BNN) has been widely used to study nuclear physics in recent years. In this study, a BNN was applied to optimize seven theoretical nuclear mass models, namely, six global models and one local model. The accuracy of these models in describing and predicting masses of nuclei with both the proton number and the neutron number greater than or equal to eight was improved effectively for two types of numerical experiments, particularly for the liquid drop model and the relativistic mean-field theory, whose root mean square deviations (RMSDs) for describing (predicting) nuclear masses were reduced by 81.5%−90.6% (66.9%−84.2%). Additionally, the relatively stable RMSDs as nuclei move away from the β-stability line and the good agreement with experimental single-neutron separation energies further confirm the reliability of the BNN.
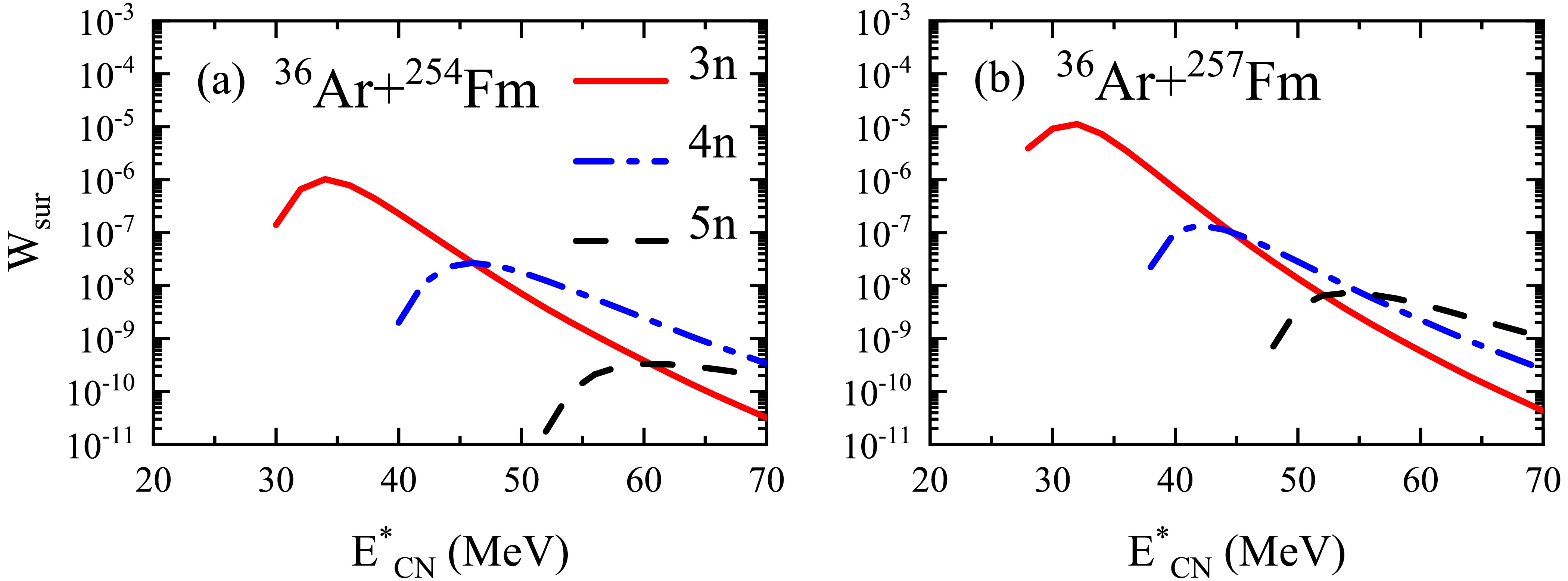
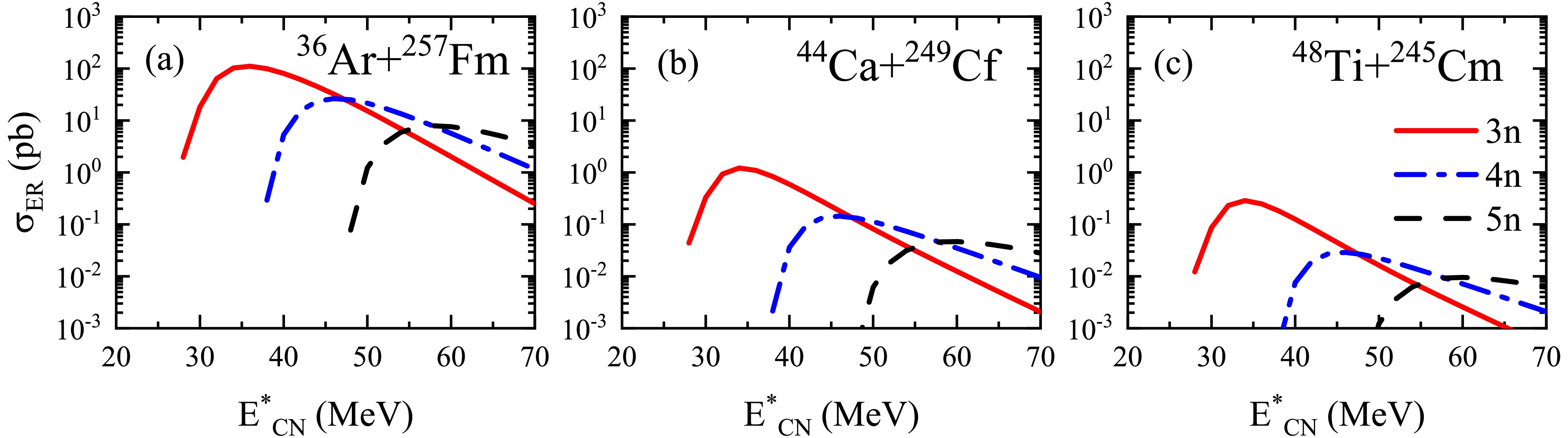
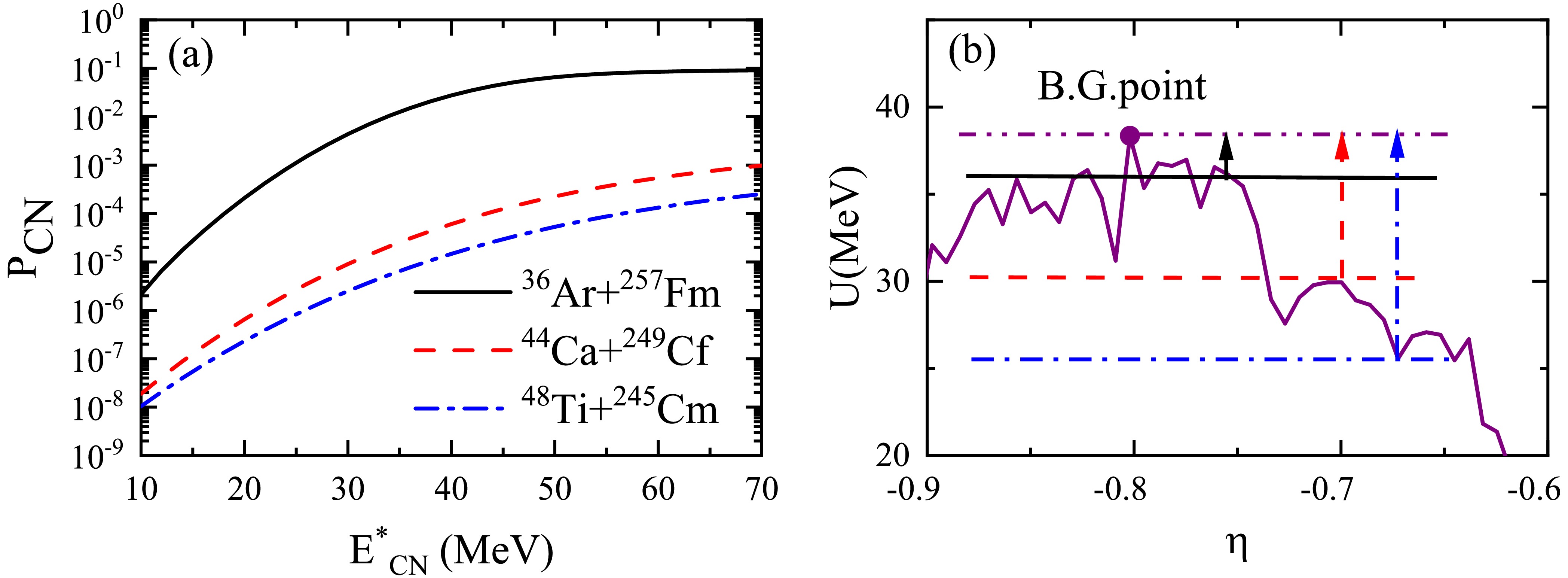
2025, 49(10): 104107. doi: 10.1088/1674-1137/adec4d
Abstract:
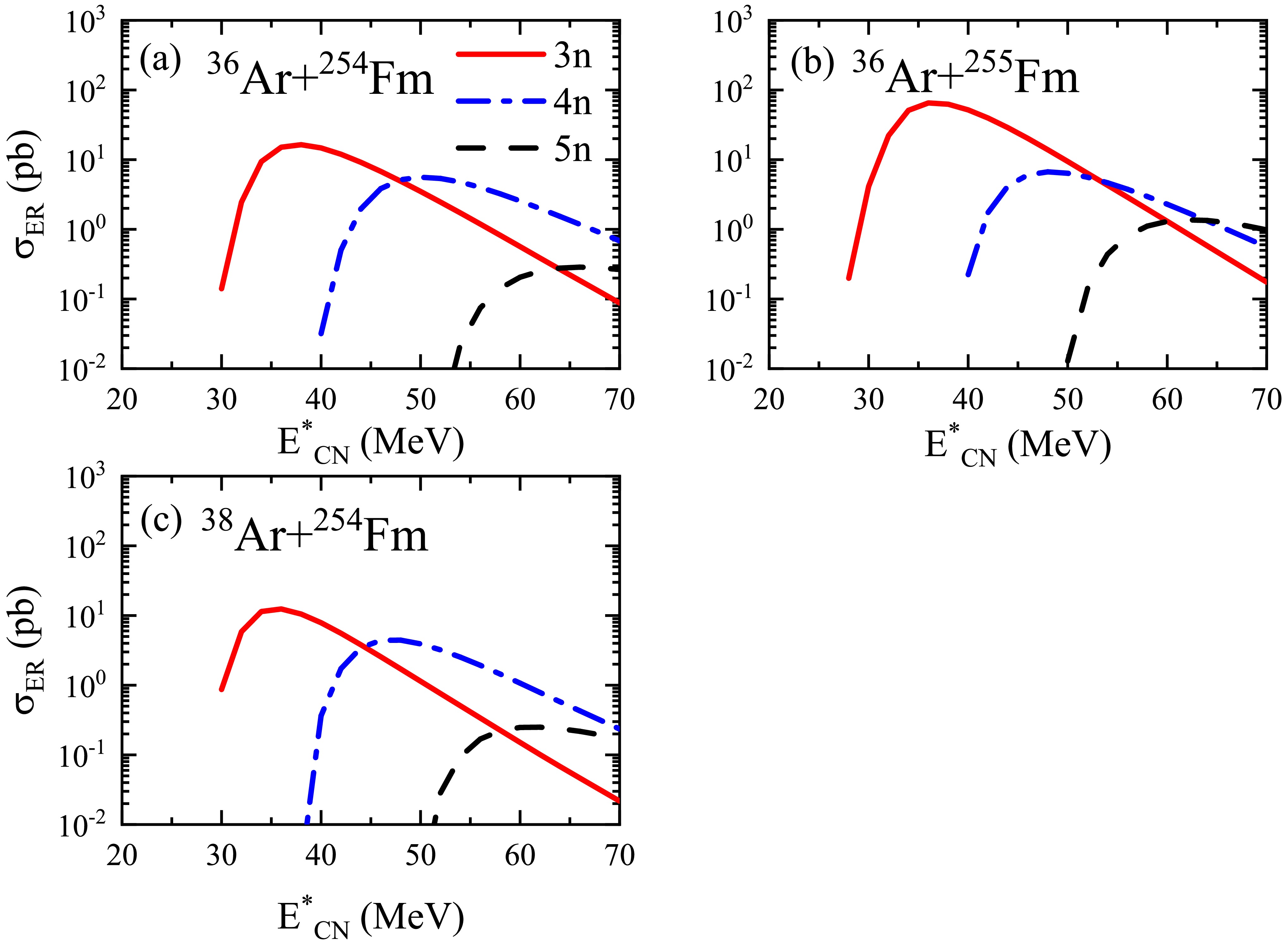
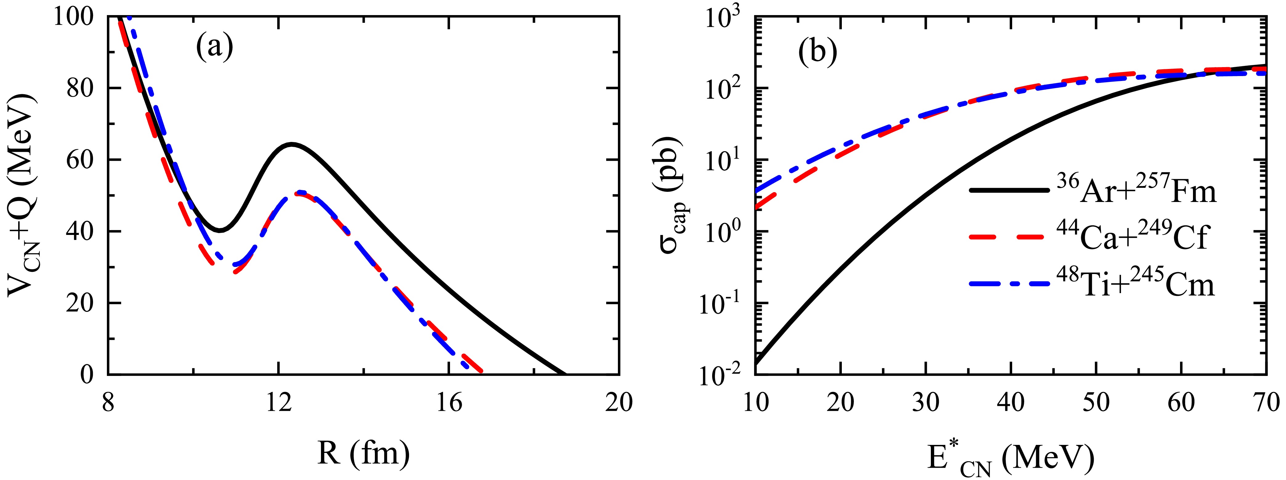
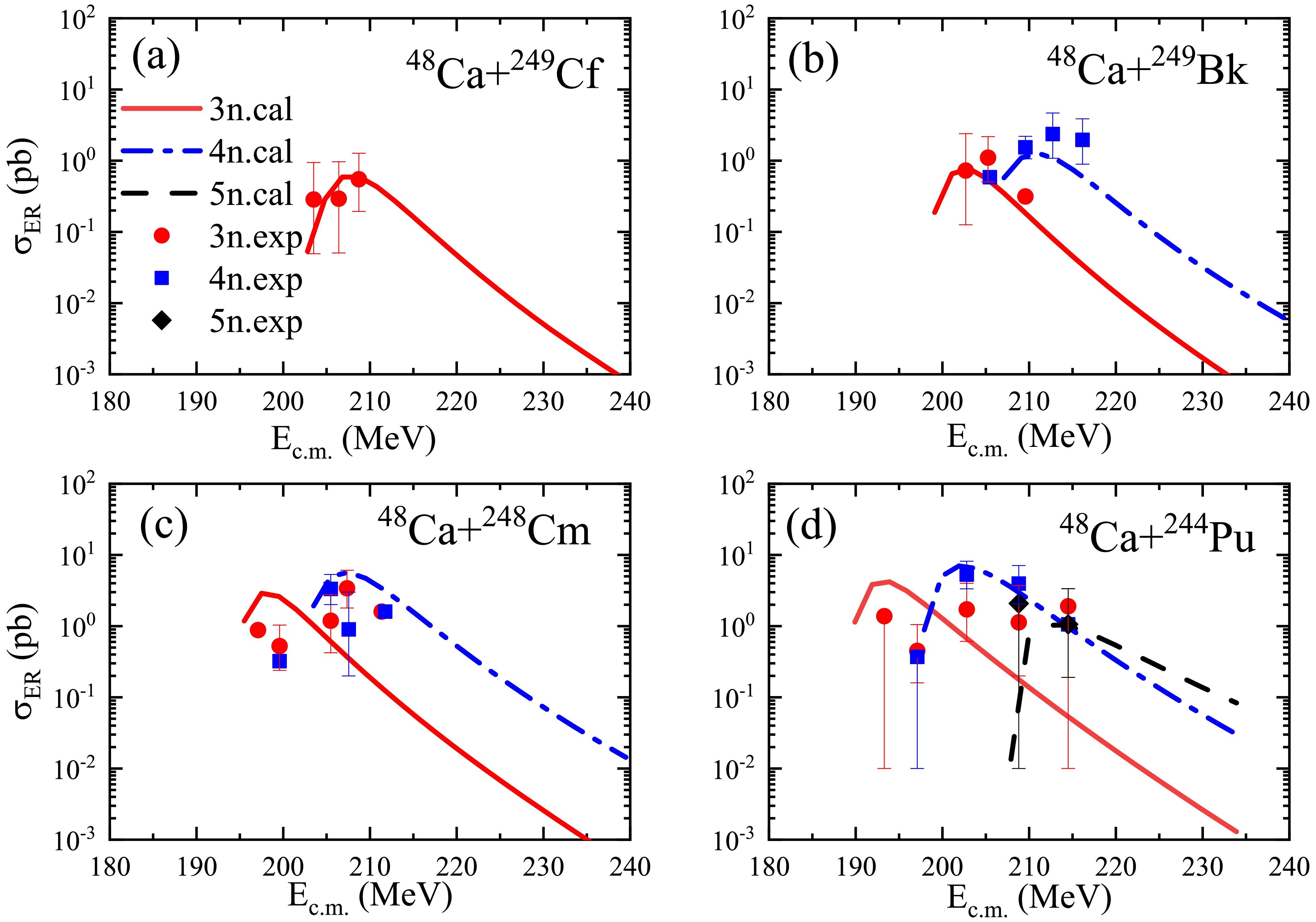
Based on the dinuclear system model, the effects of capture, fusion, and survival stages on fusion-evaporation reactions were analyzed. The calculated evaporation residue cross sections were in good agreement with current experimental data. These outcomes indicate that Ar + Fm reactions are promising for synthesizing Oganesson isotopes, mainly due to the lower internal fusion barriers, which lead to higher fusion probabilities. New Og isotopes, such as\begin{document}$ ^{287-290}\text{Og}$\end{document} ![]()
![]()
, could be synthesized through the reactions \begin{document}$ ^{254}\text{Fm}(^{36}\text{Ar}, 3{{n}})^{287}\text{Og}$\end{document} ![]()
![]()
, \begin{document}$ ^{255}\text{Fm}(^{36}\text{Ar}, 3{{n}})^{288}\text{Og}$\end{document} ![]()
![]()
, \begin{document}$ ^{254}\text{Fm}(^{38}\text{Ar}, 3{{n}})^{289}\text{Og}$\end{document} ![]()
![]()
, and \begin{document}$ ^{257}\text{Fm}(^{36}\text{Ar}, 3{{n}})^{290}\text{Og}$\end{document} ![]()
![]()
; these reactions have maximum evaporation residue cross sections of 16.4 pb, 65.1 pb, 12.4 pb, and 111.1 pb, respectively.
Based on the dinuclear system model, the effects of capture, fusion, and survival stages on fusion-evaporation reactions were analyzed. The calculated evaporation residue cross sections were in good agreement with current experimental data. These outcomes indicate that Ar + Fm reactions are promising for synthesizing Oganesson isotopes, mainly due to the lower internal fusion barriers, which lead to higher fusion probabilities. New Og isotopes, such as
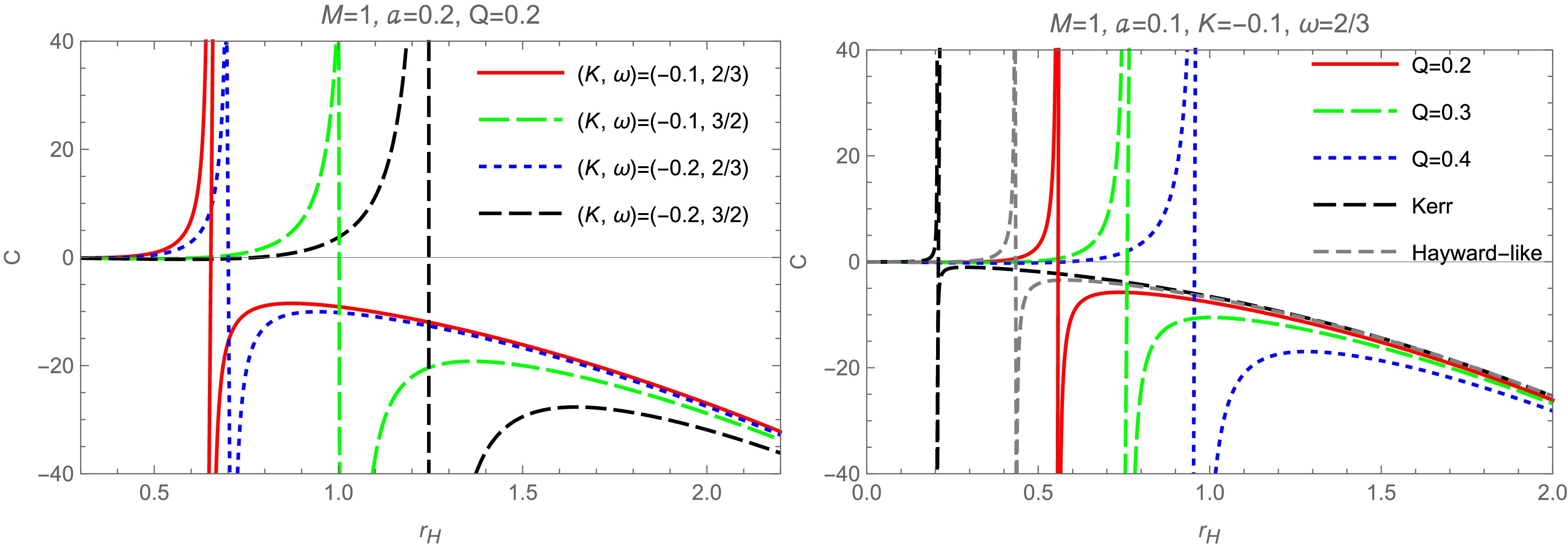
2025, 49(10): 105101. doi: 10.1088/1674-1137/add8fe
Abstract:
This study explores the thermodynamics, quantum tunneling phenomena, and unique orbital properties of Einstein-Power-Yang-Mills (EPYM) black holes embedded in Anti-de Sitter (AdS) spacetimes, highlighting the role of the nonlinear Yang-Mills (YM) charge parameter γ. We derive explicit expressions for the black hole metric, horizon structure, and associated thermodynamic quantities, including Hawking temperature and phase transitions. Using the WKB approximation and Hamilton-Jacobi formalism, we investigate the quantum tunneling of massive\begin{document}$ W^+ $\end{document} ![]()
![]()
bosons, revealing how nonlinear YM interactions significantly alter the radiation spectrum and emission rates. We analyze the effective potential for scalar field propagation, showing that nonlinear YM effects produce distinctive modifications in potential barriers and radiation emission processes. Additionally, our study reveals the presence of the Aschenbach effect, typically exclusive to rotating black holes, in static and spherically symmetric EPYM black hole solutions.
This study explores the thermodynamics, quantum tunneling phenomena, and unique orbital properties of Einstein-Power-Yang-Mills (EPYM) black holes embedded in Anti-de Sitter (AdS) spacetimes, highlighting the role of the nonlinear Yang-Mills (YM) charge parameter γ. We derive explicit expressions for the black hole metric, horizon structure, and associated thermodynamic quantities, including Hawking temperature and phase transitions. Using the WKB approximation and Hamilton-Jacobi formalism, we investigate the quantum tunneling of massive
2025, 49(10): 105102. doi: 10.1088/1674-1137/addc52
Abstract:
A horizonless ultracompact object can have a stable antiphoton sphere, which causes the photons inside the unstable photon sphere to strongly deflect, thereby leading to the formation of distinctive inner photon rings. In this study, we present analytical descriptions for the shape, thickness, and interference pattern of higher-order inner photon rings. By taking the static spherically symmetric Schwarzschild star with a photon sphere as an example, we find that its inner photon rings can be more non-circular and thicker than the outer ones and show that the inclusion of the inner photon rings can result in new features in the interferometric pattern. Further, our formulae can be applied to other ultracompact objects, providing a convenient approach for studying the observational properties of their higher-order photon rings.
A horizonless ultracompact object can have a stable antiphoton sphere, which causes the photons inside the unstable photon sphere to strongly deflect, thereby leading to the formation of distinctive inner photon rings. In this study, we present analytical descriptions for the shape, thickness, and interference pattern of higher-order inner photon rings. By taking the static spherically symmetric Schwarzschild star with a photon sphere as an example, we find that its inner photon rings can be more non-circular and thicker than the outer ones and show that the inclusion of the inner photon rings can result in new features in the interferometric pattern. Further, our formulae can be applied to other ultracompact objects, providing a convenient approach for studying the observational properties of their higher-order photon rings.
2025, 49(10): 105103. doi: 10.1088/1674-1137/ade65f
Abstract:
We investigate the capability of the Taiji space-based gravitational wave observatory to detect stochastic gravitational wave backgrounds produced by first-order phase transitions in the early universe. Using a comprehensive simulation framework that incorporates realistic instrumental noise, galactic double white dwarf confusion noise, and extragalactic compact binary backgrounds, we systematically analyze Taiji's sensitivity across a range of signal parameters. Our Bayesian analysis demonstrates that Taiji can robustly detect and characterize phase transition signals with energy densities exceeding\begin{document}$\Omega_{\text{PT}} \gtrsim 1.4 \times 10^{-11}$\end{document} ![]()
![]()
across most of its frequency band, with strong sensitivity at approximately \begin{document}$10^{-3}$\end{document} ![]()
![]()
to \begin{document}$10^{-2}$\end{document} ![]()
![]()
Hz. For signals with amplitudes above \begin{document}$\Omega_{\text{PT}} \gtrsim 1.1 \times 10^{-10}$\end{document} ![]()
![]()
, Taiji can determine the peak frequency with relative precision better than 10%. These detection capabilities would enable Taiji to probe electroweak-scale phase transitions in various beyond-Standard-Model scenarios, potentially revealing new physics connected to baryogenesis and dark matter production. We quantify detection confidence using both Bayes factors and the Deviance Information Criterion, obtaining consistent results that validate our statistical methodology.
We investigate the capability of the Taiji space-based gravitational wave observatory to detect stochastic gravitational wave backgrounds produced by first-order phase transitions in the early universe. Using a comprehensive simulation framework that incorporates realistic instrumental noise, galactic double white dwarf confusion noise, and extragalactic compact binary backgrounds, we systematically analyze Taiji's sensitivity across a range of signal parameters. Our Bayesian analysis demonstrates that Taiji can robustly detect and characterize phase transition signals with energy densities exceeding
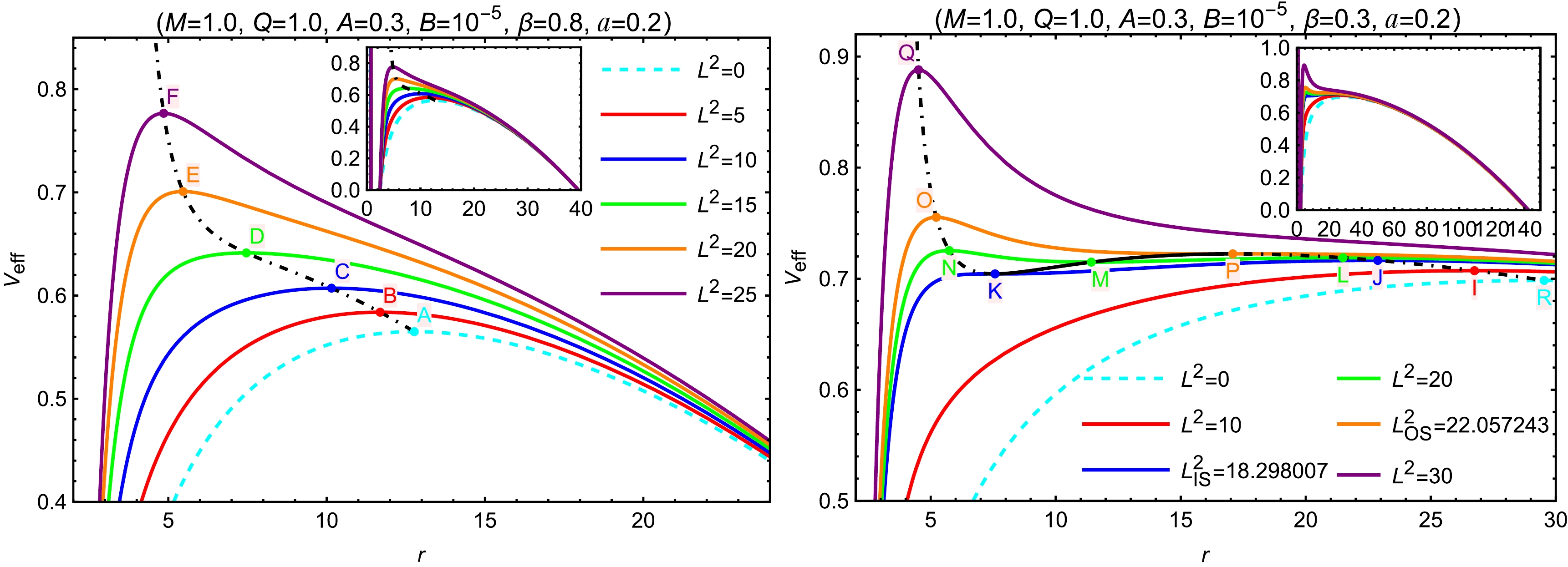
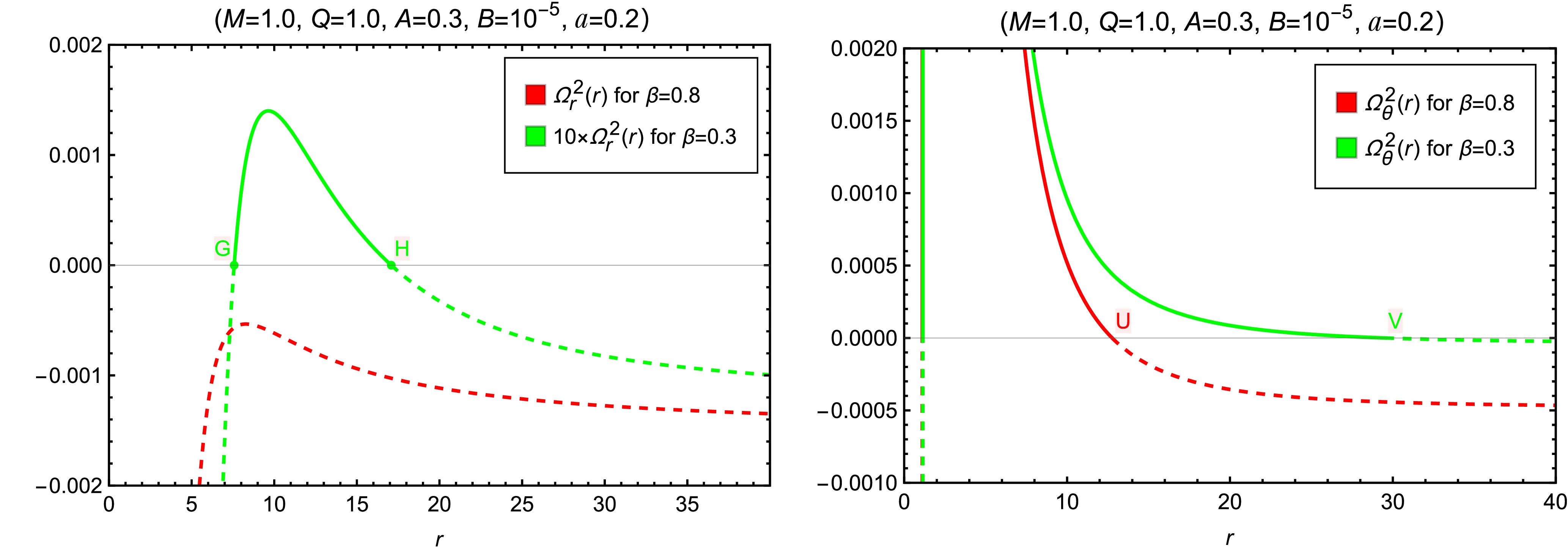
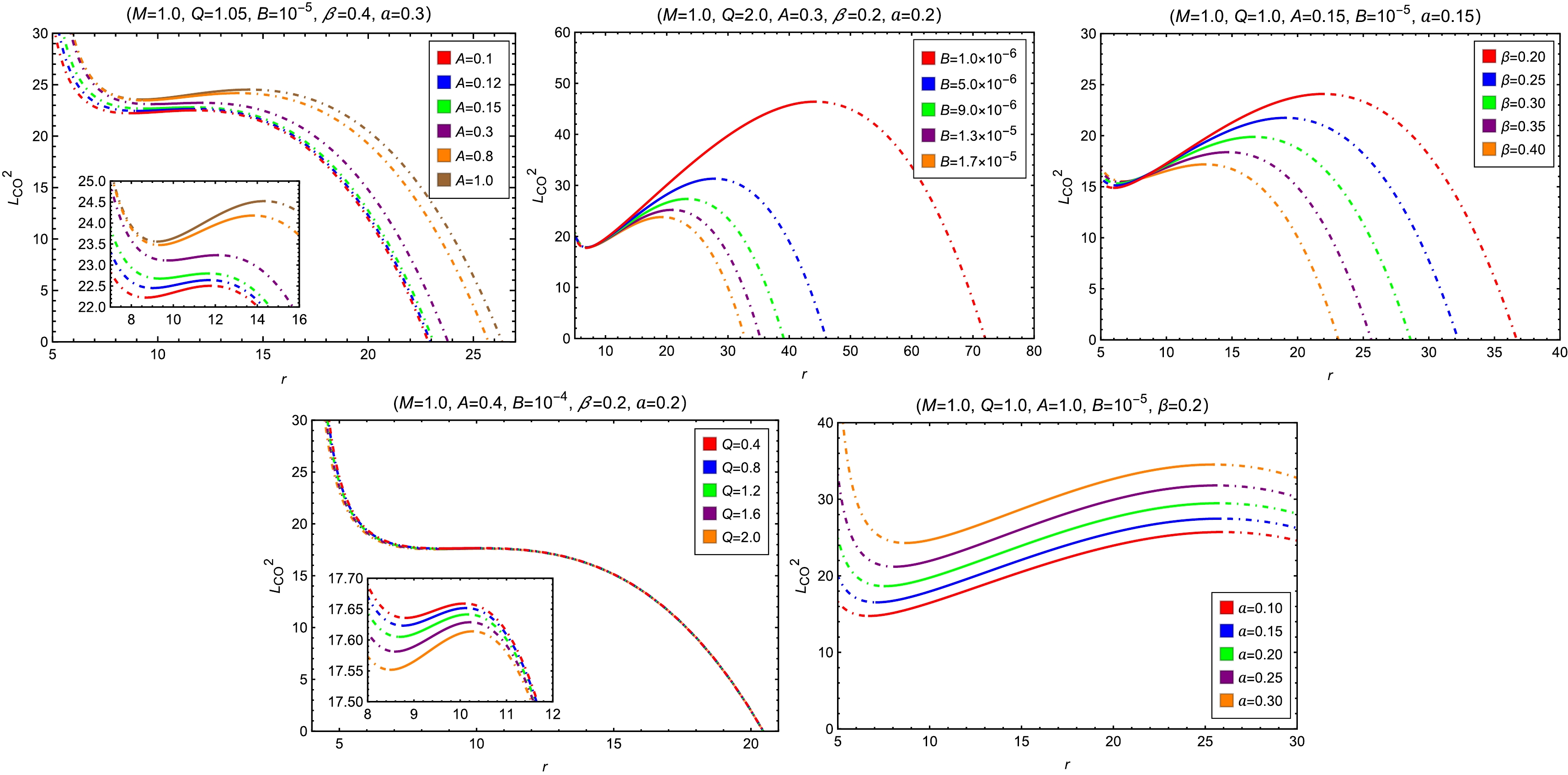
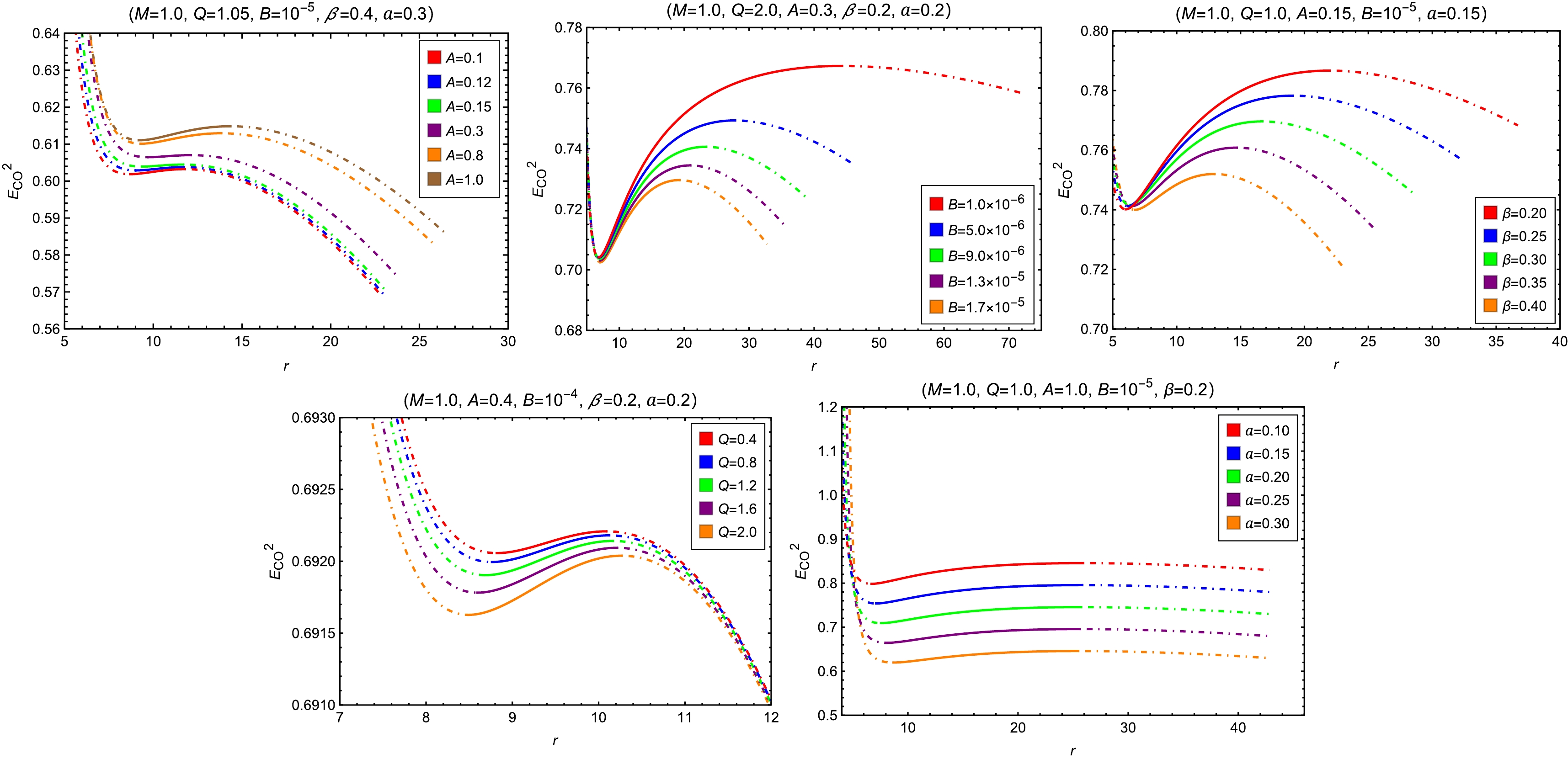
2025, 49(10): 105104. doi: 10.1088/1674-1137/add9fa
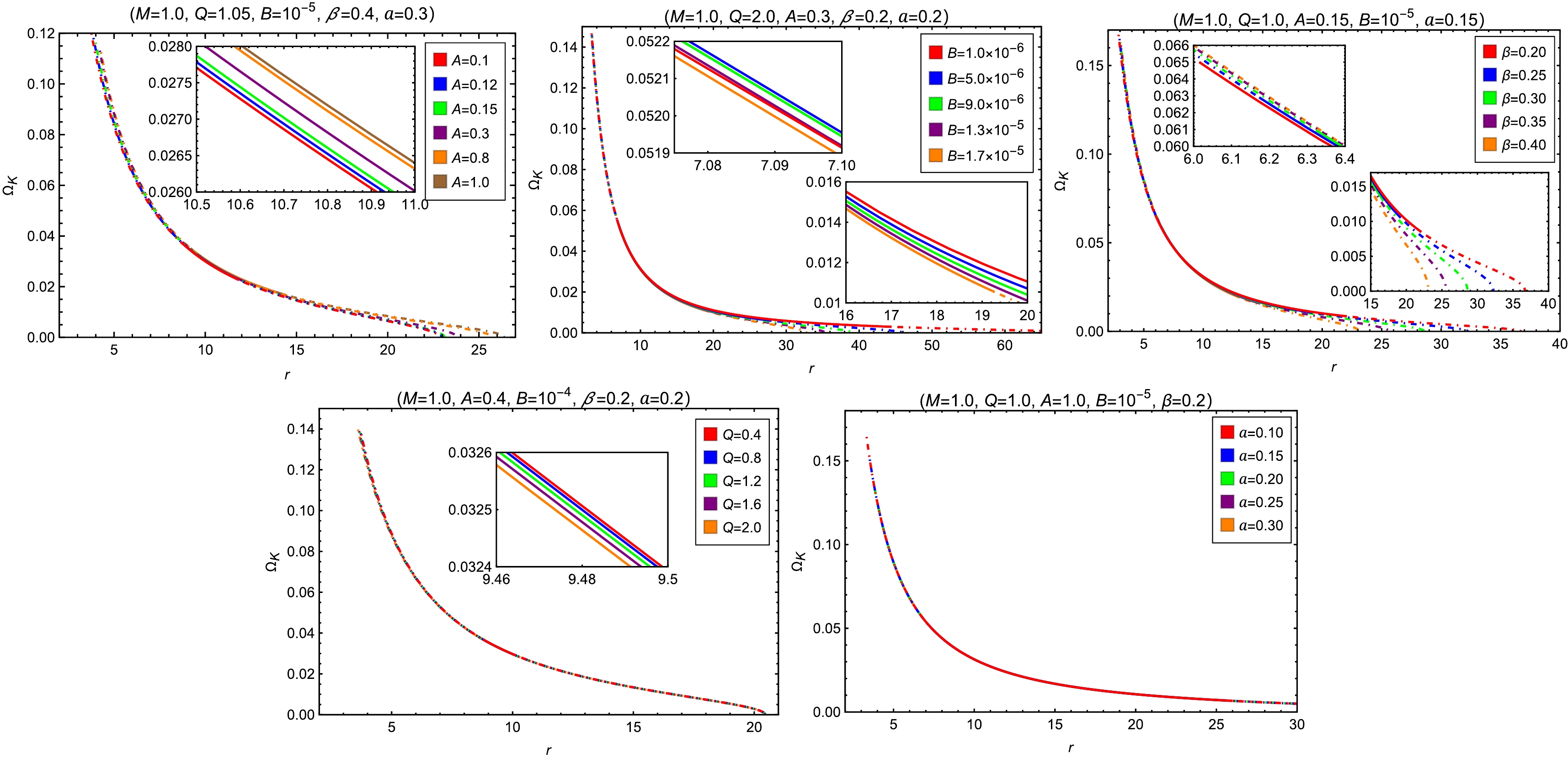
Abstract:
This study investigates a black hole surrounded by a cloud of strings and a cosmological dark fluid characterized by a modified Chaplygin-like equation of state (MCDF),\begin{document}$ p=A\rho-B/\rho^{\beta} $\end{document} ![]()
![]()
. We analyze its geodesic structure, shadow, and optical appearance. An analysis of the effective potential and epicyclic frequencies reveals that the existence of innermost/outermost stable circular orbits (ISCOs/OSCOs) for timelike particles is controlled by the parameters of the MCDF and the cloud of strings. The behavior of orbital conserved quantities and the Keplerian frequency are also examined. By equating the influence of the MCDF on the spacetime metric at spatial infinity with that of a cosmological constant, we constrain the MCDF parameters using the observed shadow radii of Sgr A* and M87*. We investigate the effects of the cloud of strings and MCDF on the shadows and optical images of the black hole, assuming various thin disk accretion profiles. Using the method developed by Wald and collaborators, light trajectories are classified by their impact parameters into direct emission, the lensing ring, and the photon ring. The presence of OSCOs can lead to the existence of outer edges in the direct emission and lensing ring images. The observed brightness primarily originates from direct emission, with a minor contribution from the lensing ring, whereas the contribution of the photon ring is negligible owing to extreme demagnification. The influence of the cloud of strings and MCDF parameters on all results is analyzed throughout the study.
This study investigates a black hole surrounded by a cloud of strings and a cosmological dark fluid characterized by a modified Chaplygin-like equation of state (MCDF),
2025, 49(10): 105105. doi: 10.1088/1674-1137/addcd6
Abstract:
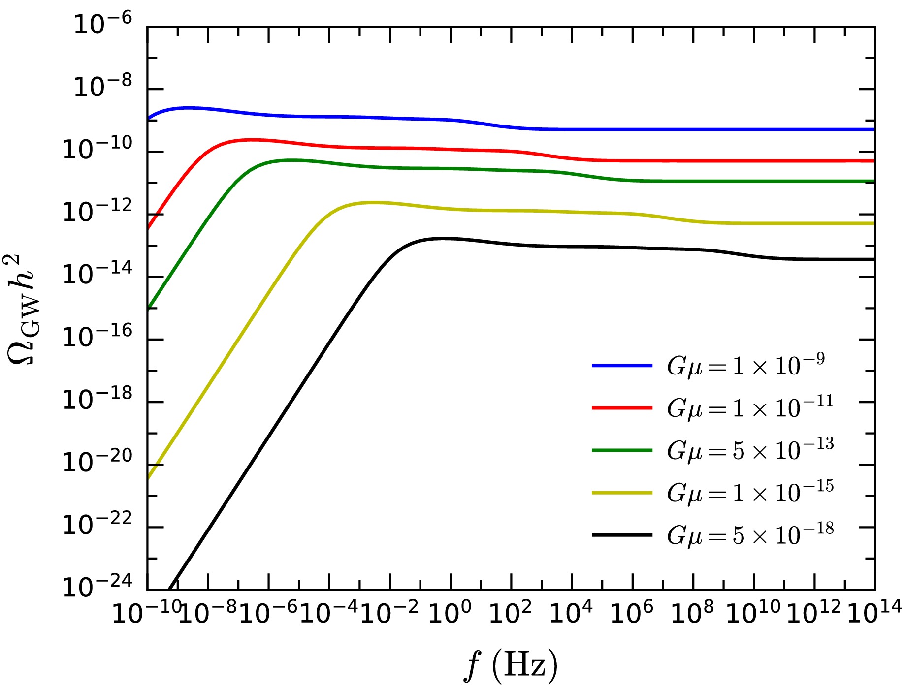
We investigate the influence of an early matter-dominated era in cosmic history on the dynamics of cosmic strings and the resulting stochastic gravitational waves. Specifically, we examine the case where this era originates from the dark matter dilution mechanism within the framework of the minimal left-right symmetric model. By numerically solving the Boltzmann equations governing the energy densities of the relevant components, we meticulously analyze the modifications to the cosmological scale factor, the number density of cosmic string loops, and the gravitational wave spectrum. Our results reveal that the early matter-dominated era causes a characteristic suppression in the high-frequency regime of the gravitational wave spectrum, providing distinct and testable signatures for future ground-based interferometer experiments.
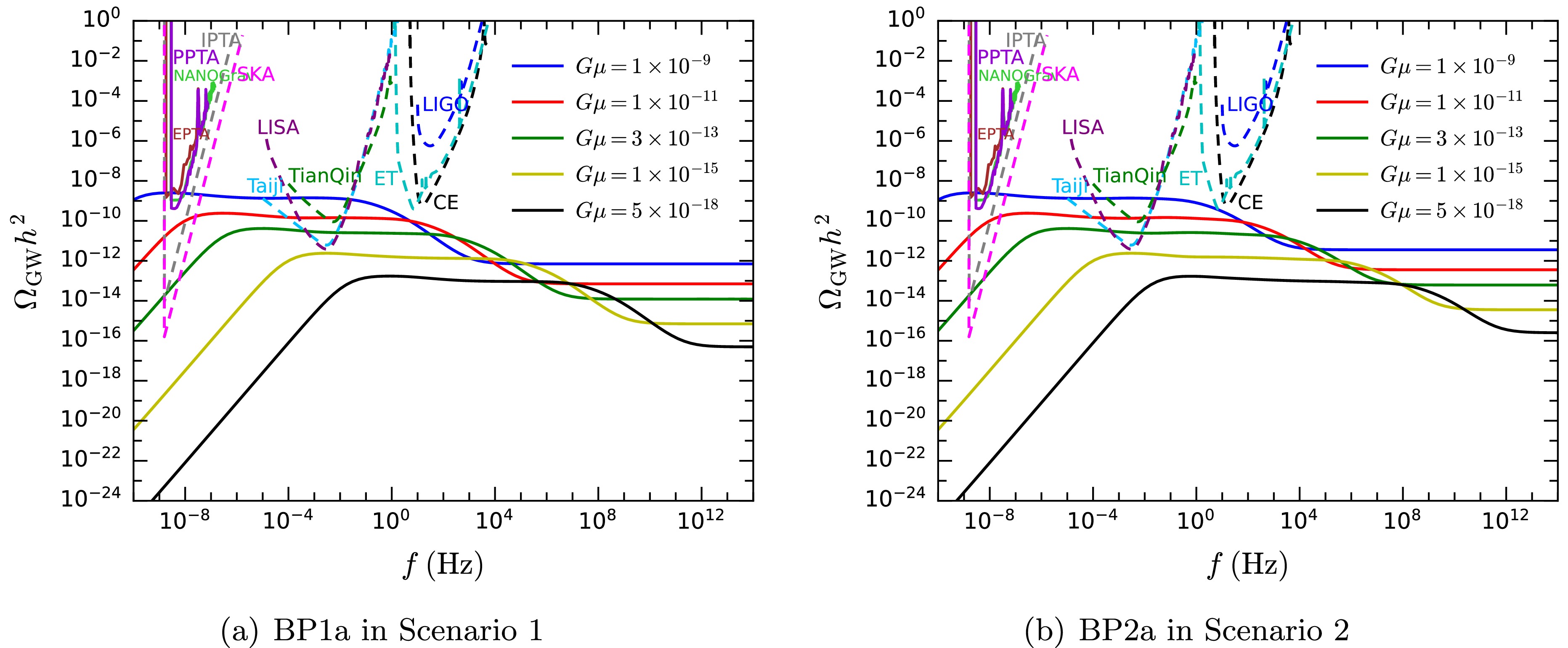
We investigate the influence of an early matter-dominated era in cosmic history on the dynamics of cosmic strings and the resulting stochastic gravitational waves. Specifically, we examine the case where this era originates from the dark matter dilution mechanism within the framework of the minimal left-right symmetric model. By numerically solving the Boltzmann equations governing the energy densities of the relevant components, we meticulously analyze the modifications to the cosmological scale factor, the number density of cosmic string loops, and the gravitational wave spectrum. Our results reveal that the early matter-dominated era causes a characteristic suppression in the high-frequency regime of the gravitational wave spectrum, providing distinct and testable signatures for future ground-based interferometer experiments.
2025, 49(10): 105106. doi: 10.1088/1674-1137/ade0a9
Abstract:
We present the solution for a non-linear magnetic-charged black hole with an anisotropic matter field and extend it to obtain the corresponding rotating black hole solution using the modified Newman-Janis algorithm. The event horizon and ergosphere of the rotating black hole are analyzed from a geometric perspective, revealing that the rotating black hole can have up to three horizons. The first law of thermodynamics and the squared-mass formula for the rotating black hole are derived from a thermodynamic perspective, based on which we obtain thermodynamic quantities and examine the thermodynamic stability of the rotating black hole. Additionally, we calculate the Penrose process for the rotating black hole, showing the influence of various black hole parameters on the maximum efficiency of the Penrose process.
We present the solution for a non-linear magnetic-charged black hole with an anisotropic matter field and extend it to obtain the corresponding rotating black hole solution using the modified Newman-Janis algorithm. The event horizon and ergosphere of the rotating black hole are analyzed from a geometric perspective, revealing that the rotating black hole can have up to three horizons. The first law of thermodynamics and the squared-mass formula for the rotating black hole are derived from a thermodynamic perspective, based on which we obtain thermodynamic quantities and examine the thermodynamic stability of the rotating black hole. Additionally, we calculate the Penrose process for the rotating black hole, showing the influence of various black hole parameters on the maximum efficiency of the Penrose process.
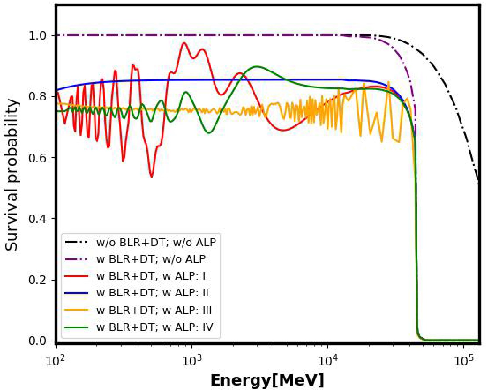
2025, 49(10): 105107. doi: 10.1088/1674-1137/ade6d2
Abstract:
High energy photons traveling through astrophysical magnetic fields have the potential to undergo oscillations with axion-like particles (ALPs), resulting in modifications to the observed photon spectrum. High energy\begin{document}$ \gamma $\end{document} ![]()
![]()
-ray sources with significant magnetic field strengths provide an ideal environment to investigate this phenomenon. Ton 599, a flat spectrum radio quasar with a magnetic field strength on the order of Gauss in its emission region, presents a promising opportunity for studying ALP-photon oscillations. In this study, we analyze the effects of ALP-photon oscillations on the γ-ray spectrum of Ton 599, as observed by Fermi-LAT. Our investigation considers the potential influences of the broad-line region and dusty torus on the \begin{document}$ \gamma $\end{document} ![]()
![]()
-ray spectrum of Ton 599. We set the constraints on the ALP parameters at a 95% confidence level and show that the constraints on \begin{document}$ g_{a\gamma} $\end{document} ![]()
![]()
can reach approximately \begin{document}$ 2 \times 10^{-12}\; \text{GeV}^{-1} $\end{document} ![]()
![]()
for \begin{document}$ m_a \sim 10^{-9}\; \text{eV} $\end{document} ![]()
![]()
.
High energy photons traveling through astrophysical magnetic fields have the potential to undergo oscillations with axion-like particles (ALPs), resulting in modifications to the observed photon spectrum. High energy
2025, 49(10): 105108. doi: 10.1088/1674-1137/ade4a3
Abstract:
In this study, we perform a cosmological-model-independent test on the cosmic distance duality relation (CDDR) by comparing the angular diameter distance (ADD) obtained from the compact radio quasars (QSOs) with the luminosity distance (LD) obtained from the Pantheon+ Type Ia supernovae (SNIa) sample. The binning method and artificial neural network are employed to match ADD data with LD data at the same redshift, and three different parameterizations are adopted to quantify possible deviations from the CDDR. We initially investigate the effects of specific prior values for the absolute magnitude\begin{document}$ M_{\rm{B}} $\end{document} ![]()
![]()
from SNIa and linear size scaling factor l from QSOs on the CDDR test. The results demonstrate that these prior values introduce significant biases in the CDDR test. To avoid the biases, we propose a method independent of \begin{document}$ M_{\rm{B}} $\end{document} ![]()
![]()
and l to test the CDDR, which treats the fiducial value of a new variable \begin{document}$ \kappa\equiv 10^{M_{\rm{B}} \over 5}\,l $\end{document} ![]()
![]()
as a nuisance parameter and then marginalize its impact with a flat prior in the statistical analysis. The results show that the CDDR is consistent with the observational data, and QSOs can serve as a powerful tool for testing the CDDR independent of cosmological models.
In this study, we perform a cosmological-model-independent test on the cosmic distance duality relation (CDDR) by comparing the angular diameter distance (ADD) obtained from the compact radio quasars (QSOs) with the luminosity distance (LD) obtained from the Pantheon+ Type Ia supernovae (SNIa) sample. The binning method and artificial neural network are employed to match ADD data with LD data at the same redshift, and three different parameterizations are adopted to quantify possible deviations from the CDDR. We initially investigate the effects of specific prior values for the absolute magnitude
2025, 49(10): 105109. doi: 10.1088/1674-1137/ade661
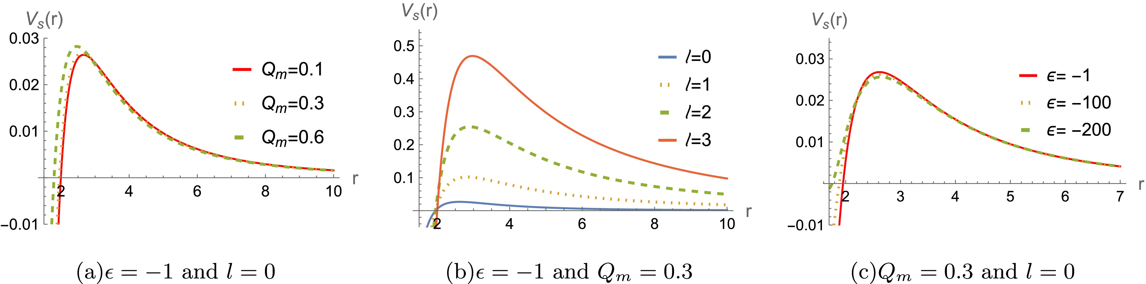
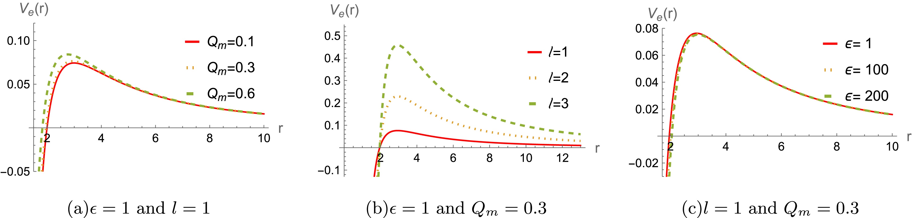
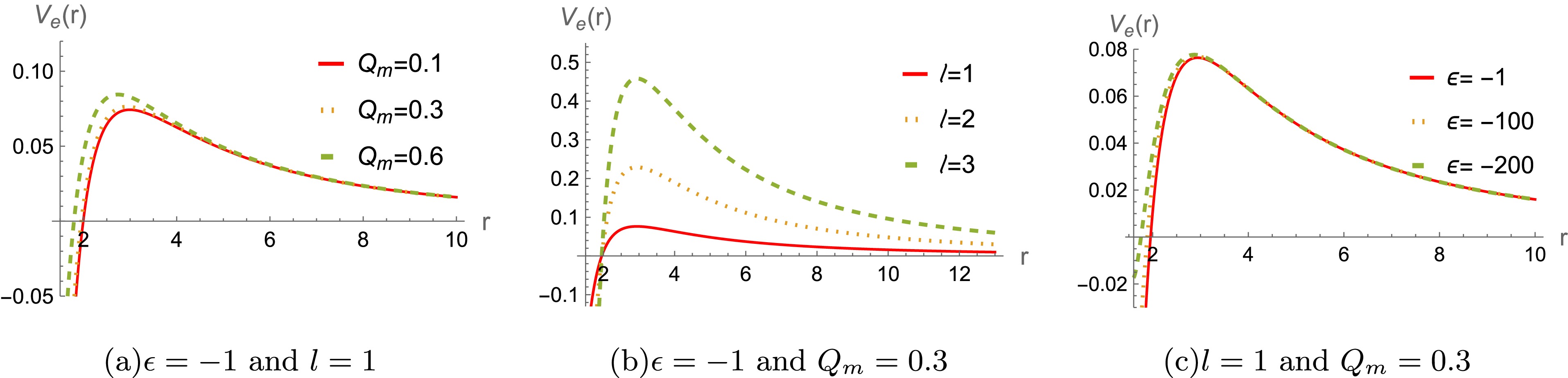
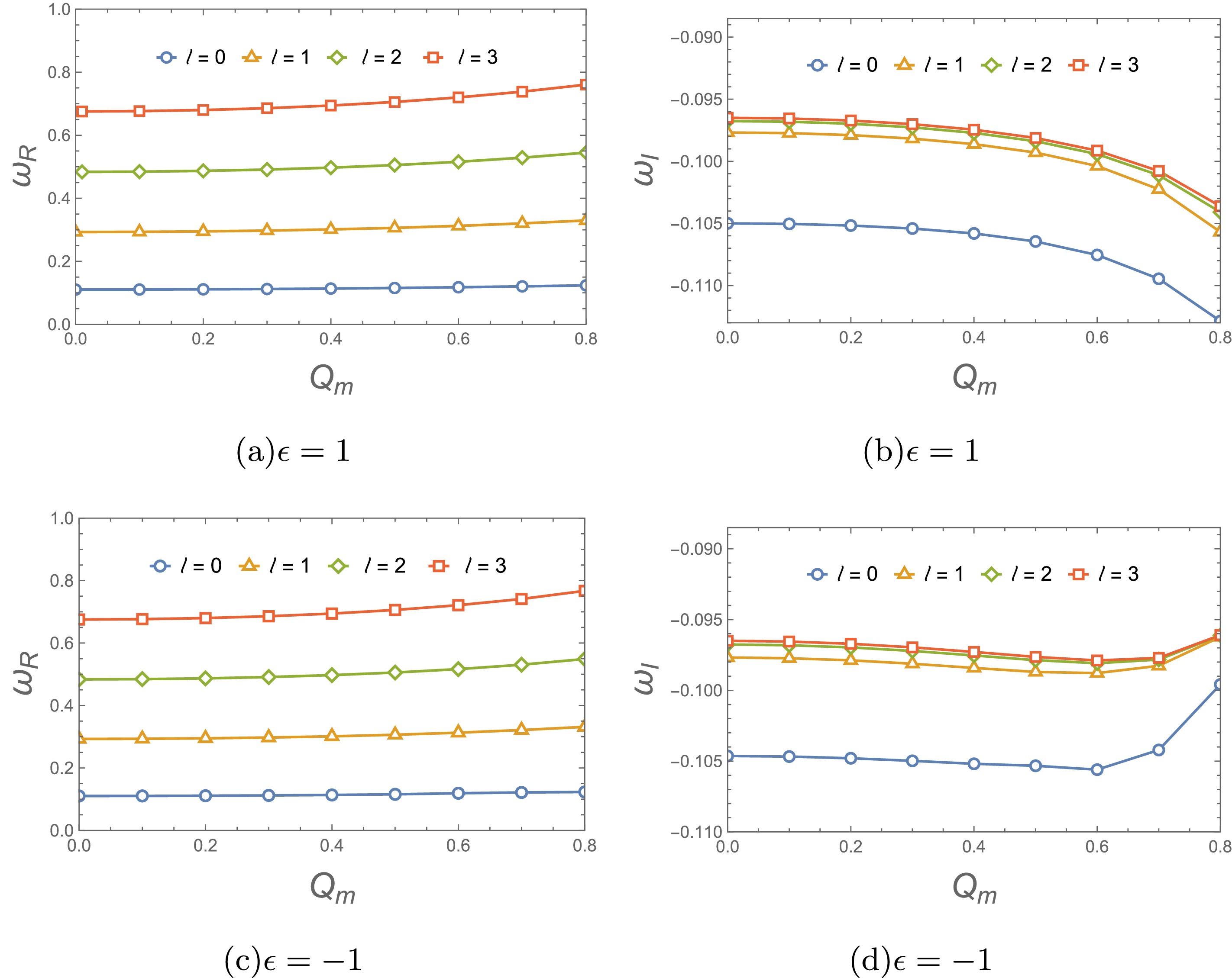
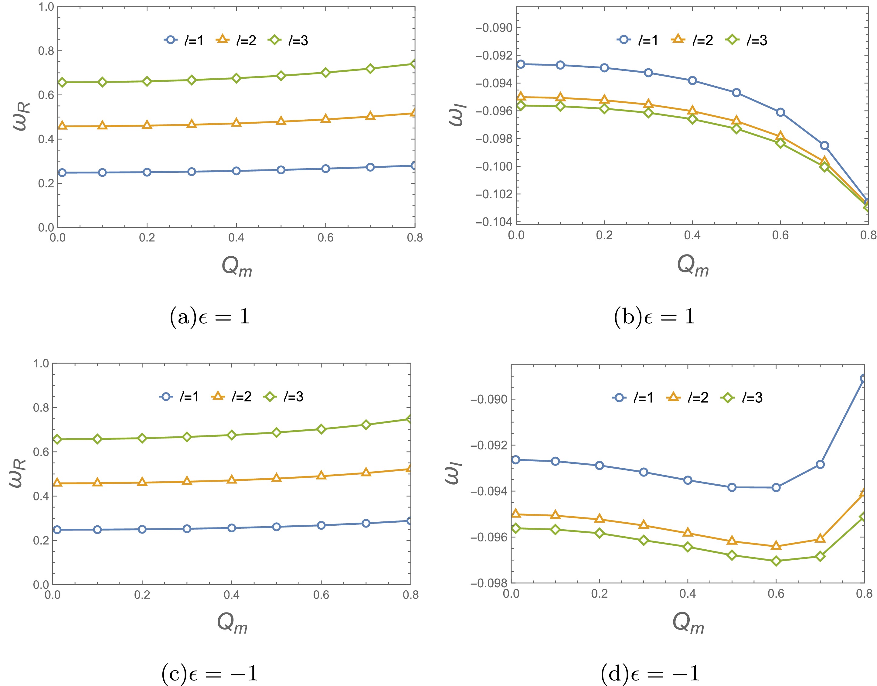
Abstract:
This study investigates the perturbations of massless scalar and electromagnetic fields on the magnetically charged black holes in string-inspired Euler-Heisenberg theory. We calculate the quasinormal frequencies (QNFs) and discuss the influence of black hole magnetic charge\begin{document}$ Q_m $\end{document} ![]()
![]()
, coupling parameter \begin{document}$ \epsilon $\end{document} ![]()
![]()
, and angular momentum l on QNFs, emphasizing the relationship between these parameters and the behavior of QNMs. Results obtained using the AIM method were in good agreement with those obtained using the WKB method. In addition, the WKM method was used to calculate the greybody factor to understand how it is affected by the black hole magnetic charge\begin{document}$ Q_m $\end{document} ![]()
![]()
and coupling parameter\begin{document}$ \epsilon $\end{document} ![]()
![]()
.
This study investigates the perturbations of massless scalar and electromagnetic fields on the magnetically charged black holes in string-inspired Euler-Heisenberg theory. We calculate the quasinormal frequencies (QNFs) and discuss the influence of black hole magnetic charge
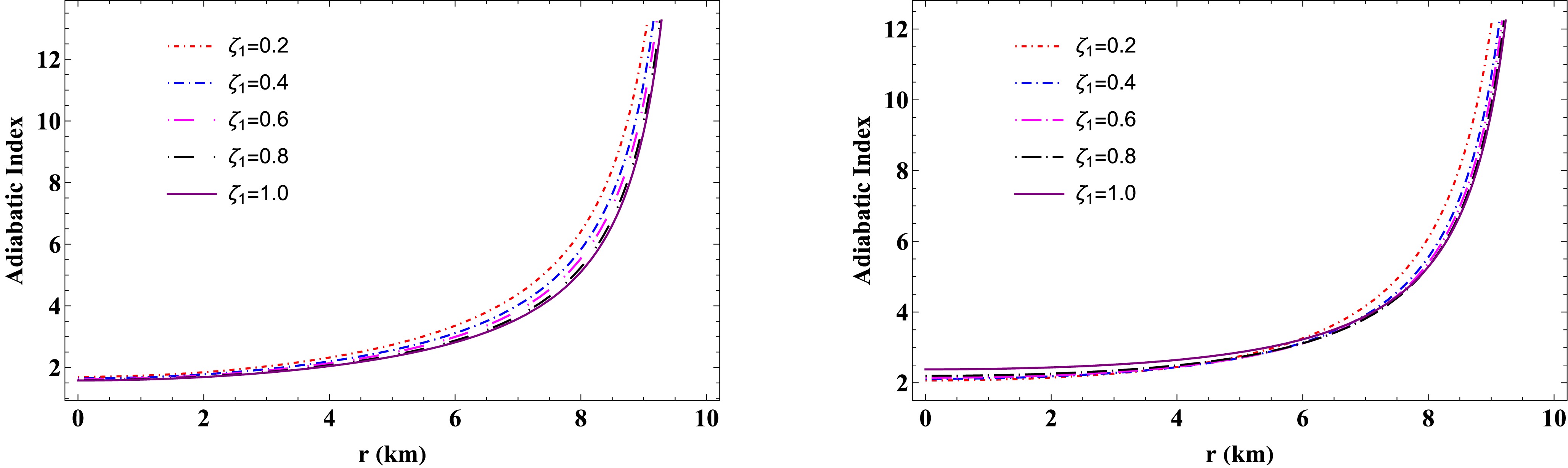
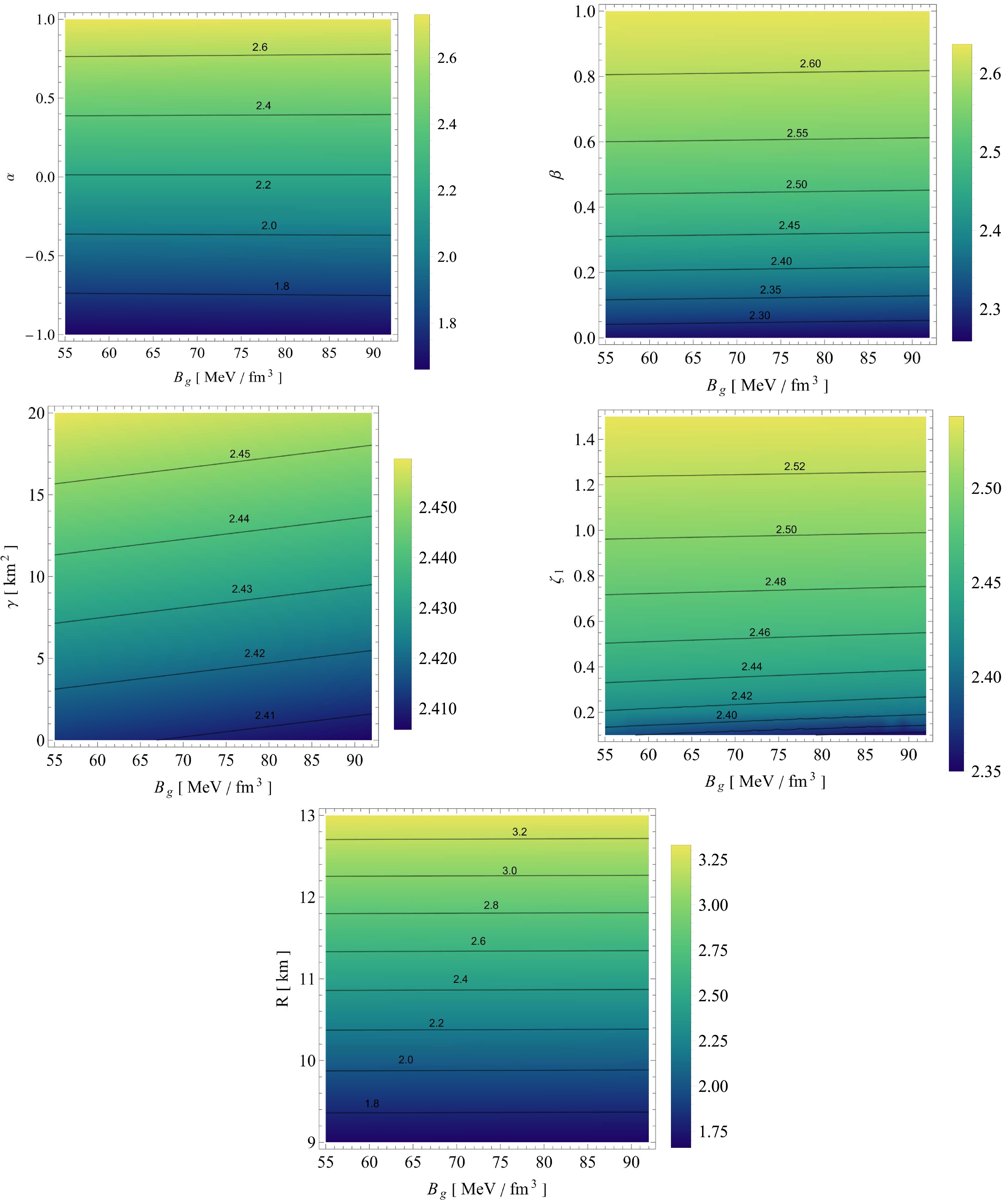
2025, 49(10): 105110. doi: 10.1088/1674-1137/ade4a1
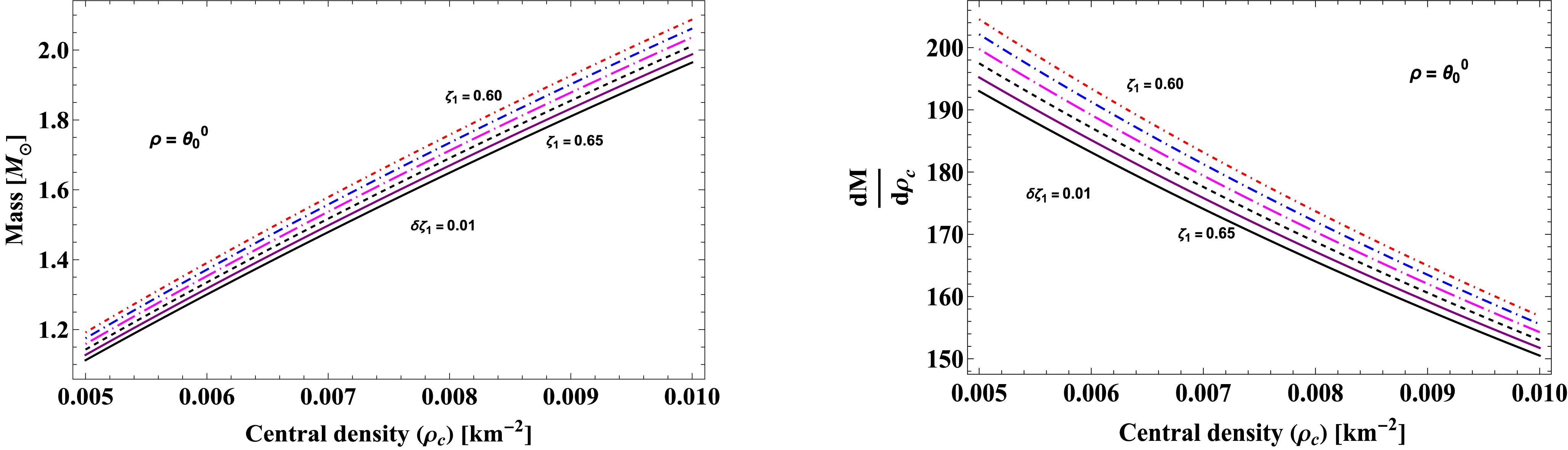
Abstract:
In this study, we used the gravitational decoupling method (GD) via minimal geometric deformation (MGD) to analyze strange deformed stars (SS) within the modified\begin{document}$ f({\cal{T}}) $\end{document} ![]()
![]()
gravity theory. By adopting the Buchdahl ansatz and the quadratic polytropic equation of state (EOS), we derived deformed SS models by assuming that the energy-momentum components of the deformed fluid satisfy \begin{document}$ \rho=\Theta_0^0 $\end{document} ![]()
![]()
and \begin{document}$ p_r=\Theta_1^1 $\end{document} ![]()
![]()
. This approach leads to different classes of exact solutions. The study of physical viability tests ensures that the proposed configurations adhere to realistic constraints. Furthermore, we analyzed the impact of relevant parameters in three scenarios: GR, \begin{document}$ f({\cal{T}}) $\end{document} ![]()
![]()
, and \begin{document}$ f({\cal{T}})+MGD $\end{document} ![]()
![]()
. In addition, observational constraints were used for comparison with GW190814 and neutron stars (NSTRs) PSR J1614-2230 and PSR J1903 + 327, with mass ranges of \begin{document}$ 2.5-2.67 M_\odot $\end{document} ![]()
![]()
, \begin{document}$ 1.97 \pm 0.04 M_\odot $\end{document} ![]()
![]()
, and \begin{document}$ 1.667 \pm 0.021 M_\odot $\end{document} ![]()
![]()
, respectively. Remarkably, we observed from the \begin{document}$ M-R $\end{document} ![]()
![]()
curves that NSTRs with masses ranging from \begin{document}$ 2.4 $\end{document} ![]()
![]()
to \begin{document}$ 3.5M_{\odot} $\end{document} ![]()
![]()
correspond to a range of radii from \begin{document}$ 9.80^{+0.02}_{-0.01} $\end{document} ![]()
![]()
to \begin{document}$ 13.01^{+0.01}_{-0.01}\;{\rm km} $\end{document} ![]()
![]()
for different values of the parameters α, β, γ, and \begin{document}$ \zeta_1 $\end{document} ![]()
![]()
. Notably, for the \begin{document}$ \rho=\Theta_0^0 $\end{document} ![]()
![]()
solution, higher values of α produce NSTRs with smaller masses and radii, while the \begin{document}$ p_r=\Theta_1^1 $\end{document} ![]()
![]()
solution yields larger masses and radii. This evidences the existence of massive NSTRs within the modified gravity theory \begin{document}$ f({\cal{T}}) $\end{document} ![]()
![]()
.
In this study, we used the gravitational decoupling method (GD) via minimal geometric deformation (MGD) to analyze strange deformed stars (SS) within the modified
ISSN 1674-1137 CN 11-5641/O4
Original research articles, Ietters and reviews Covering theory and experiments in the fieids of
- Particle physics
- Nuclear physics
- Particle and nuclear astrophysics
- Cosmology
Author benefits
- A SCOAP3 participating journal - free Open Access publication for qualifying articles
- Average 24 days to first decision
- Fast-track publication for selected articles
- Subscriptions at over 3000 institutions worldwide
- Free English editing on all accepted articles
News
- CPC Announces 2025 Outstanding Reviewers
- Chinese Physics C Outstanding Reviewer Award 2023
- Impact factor of Chinese Physics C is 3.6 in 2022
- 2022 CPC Outstanding Reviewer Awards
- The 2023 Chinese New Year-Office closure
Cover Story
- Cover Story (Issue 2, 2026) |The images of Brans-Dicke-Kerr type naked singularities
- Cover Story (Issue 1, 2026) A focused review of quintom cosmology: from quintom dark energy to quintom bounce
- Cover Story (Issue 11, 2025) The Earth-Magnet Assists DAMPE in Studying Cosmic Anti-Electrons
- Cover Story (Issue 9, 2025): Precise measurement of Ïc0 resonance parameters and branching fractions of Ïc0,c2âÏï¼Ïï¼/ K+K-
- Cover Story (Issue 8, 2025) A Novel Perspective on Spacetime Perturbations: Bridging Riemannian and Teleparallel Frameworks














