-
Black hole thermodynamics is a fascinating field that explores the intersection of thermodynamics, quantum mechanics, and general relativity (GR). To obtain insights into quantum gravity, researchers use various approaches, including the study of black holes and their thermodynamic properties, which serve as promising tools [1, 2]. This approach combines classical thermodynamics with statistical mechanics to interpret the entropy of black holes as the number of quantum degrees of freedom near the event horizon. The thermodynamics of black holes have been explored within different frameworks, and results have been documented in [3−19]. A key concept in this field is the Hawking-Page phase transition [20], which highlights a specific relationship between gravity and thermodynamics. This concept suggests a phase transition between thermal radiation in anti-de Sitter (AdS) space and black holes, known as confinement/deconfinement phase transitions in the context of the AdS/conforma field theory (CFT) correspondence. Additionally, in the thermodynamics of black holes, the study of phase transitions and critical points consistently attracts much interest [21−25]. The structural similarities observed between the liquid-to-gas phase transition in van der Waals fluids and the first-order phase transition between small and large black holes are particularly noteworthy.
Recently, innovative methods have emerged to analyze and compute critical points and phase transitions in black hole thermodynamics. A notable approach is the topological method, as detailed in [26−29]. To adopt a topological perspective in thermodynamics, Duan’s topological current ϕ-mapping theory is highly recommended. Wei et al. proposed two distinct methods for studying topological thermodynamics, focusing on temperature and generalized free energy functions [26, 27]. The temperature method involves analyzing the temperature function by removing pressure and utilizing the auxiliary and topological parameter
$ 1/\sin \theta $ . Based on these assumptions, the potential is then constructed. The generalized free energy function method treats black holes as defects in the thermodynamic parameter space. Their solutions can be explored using the generalized off-shell free energy. In this framework, the stability and instability of the black hole solutions are indicated by positive and negative winding numbers, respectively. For more details, see [26−53].Researchers, by utilizing black hole actions and extracting their effective potential, have discovered that the maximum and minimum of the potential function, which indicate changes in the field structure, can be examined by transforming the potential into a vector field and mapping it onto a two-dimensional space in (
$ r, \Theta $ ) coordinates. In this scenario, these maximum and minimum values, similar to winding numbers, manifest as rotations around zero points or poles. Because the mathematical structure of this method was designed for scalars, Wei extended it to thermodynamics and used it to study temperature. Thus, the coordinates of the location of temperature changes could also play the role of the pole or zero point for a vector field of temperature [26, 27, 54−57]. In the T method, the objective is to obtain critical points and determine their position using the topological charge of the system. In this method, we need not know much about the phase transition and how to obtain it, which makes it a simpler method. Subsequently, Wei et al. extended this method to a more comprehensive potential function, namely the internal energy or, more specifically, the Helmholtz free energy. In the F method, we use the Helmholtz free energy, the structure of the τ function, and the topological charge to determine which phase transition the structure undergoes. If the process has certain maxima and minima in a radial interval, the system undergoes a first-order phase transition with the creation of an intermediate black hole, and we will observe the process of creation (maximum) and annihilation (minimum). However, if the function does not have a maximum or minimum and undergoes a uniform temperature trend during the radial changes, the small black hole directly and gradually converts into a large black hole, and we will witness a second-order phase transition. Both scenarios can be identified using the F method [26, 27, 54−57]. In other words, the F and T methods are two distinct approaches used to study the thermodynamic topology of black holes. The generalized free energy method involves analyzing the free energy landscape of black holes. By examining the free energy, researchers can identify critical points and phase transitions. The stability of black hole solutions is determined by the sign of the second derivative of the free energy. Positive values indicate stability, whereas negative values indicate instability. The method uses the concept of topological charge, which is related to the winding numbers of the free energy function. These winding numbers aid in classifying black holes based on their topological properties [26, 27, 54−57]. The T method focuses on the temperature function of black holes. It involves studying the temperature function by removing pressure and introducing an auxiliary topological parameter. Similar to the F method, the T method also considers topological aspects, but through the lens of temperature variations and their impact on the system. Both methods provide a topological perspective on black hole thermodynamics, enabling researchers to classify black holes based on their topological properties. Both methods aim to determine the stability and instability of black hole solutions, although they use different functions (free energy vs. temperature) to achieve this. While the F method focuses on free energy and the T method on temperature, they are complementary approaches that together offer a more comprehensive understanding of black hole thermodynamics. By using both methods, researchers can gain a deeper and more nuanced understanding of the thermodynamic properties and stability of black holes. Each method provides unique insights that, when combined, enhance our overall knowledge of black hole thermodynamics [26, 27, 54−57].The concept of topological photon sphere in black holes is a fascinating area of study in theoretical physics. The photon sphere is a region in which gravity is so strong that photons (light particles) are forced to travel in orbits. This sphere is crucial for understanding the properties of black holes, including their shadow and the bending of light around them [58,59]. In the context of topology, researchers explore the properties and behaviors of these photon spheres using topological methods. These methods can provide insights into the stability and structure of the photon sphere, as well as its interactions with other physical phenomena in the black hole's vicinity.
The
$ f(R, T) $ gravity model presents an intriguing extension of Einstein's equations of motion by incorporating terms related to the Ricci scalar and the trace of the energy-momentum tensor. This theoretical framework has recently attracted considerable interest owing to its potential to explain various cosmological phenomena. Additionally, it offers an alternative gravity theory that can account for dark matter and dark energy. Numerous studies have been conducted in the context of$ f(R, T) $ gravity, as noted in the literature [60−72]. According to GR, black holes have intense gravitational forces such that nothing, not even light, can escape their pull. It is fascinating to consider that the effects of$ f(R, T) $ gravity might be more significant for compact objects such as black holes. Therefore, exploring black holes within the$ f(R, T) $ gravity framework is particularly compelling. Recognizing this, Santos et al. formulated a black hole solution similar to Kiselev's within the$ f(R, T) $ gravity framework [73]. Subsequently, the rotating version of this black hole solution has been further elaborated upon.Kiselev-AdS black holes within the
$ f(R, T) $ gravity framework are an intriguing area of study in theoretical physics. These black holes are solutions to the modified Einstein field equations, incorporating both the Ricci scalar R and the trace of the energy-momentum tensor T. This framework allows for the exploration of various cosmological and astrophysical phenomena, including the effects of dark energy and dark matter [74, 75]. Recent research has focused on constructing rotating Kiselev black holes within this framework using the revised Newman-Janis algorithm. These solutions include special cases like the Kerr and Kerr-Newman black holes and exhibit unique spacetime structures influenced by the parameters of the$ f(R, T) $ function. Additionally, studies have shown that Kiselev-AdS black holes in$ f(R, T) $ gravity can exhibit phase transitions similar to those observed in thermodynamic systems, such as van der Waals-like and Hawking-Page-like transitions. These phase transitions are influenced by the state parameter ω and$ f(R, T) $ gravity parameter γ, providing insights into the nature of dark energy and the thermodynamic properties of black holes [74, 75].These concepts motivated us to study the Kiselev-AdS black holes from
$ f(R, T) $ gravity based on thermodynamic topology. The remainder of this paper is organized as follows: In Sec. II, we briefly introduce these black holes. In Sec. III, we study the curvature singularities and energy conditions of Kiselev-AdS black holes from$ f(R, T) $ gravity. In Sec. IV, we investigate the thermodynamic topology using the generalized off-shell Helmholtz free energy and temperature methods and study the photon sphere of Kiselev-AdS black holes from$ f(R, T) $ . Finally, we describe the results of our work in detail in Sec. V. -
In this study, we aim to obtain a static spherically symmetric AdS black hole solution as proposed by Kiselev within the framework of
$ f(R, T) $ gravity. In our analysis, we consider the specific form$ f(R, T) = R + 2 f(T) $ [61, 74]. We can assume a static geometry in a spherically symmetric space-time, described by the following line element:$ \begin{array}{*{20}{l}} {\rm d}s^2=B(r){\rm d}t^2-A(r){\rm d}r^2-r^2({\rm d}\theta^2+\sin^2\theta {\rm d}\phi^2). \end{array} $

(1) With respect to [74] and using the form
$ f(T) = \gamma T $ , the unknown functions is obtained as follows:$ B(r)=\frac{1}{A(r)}=1-\frac{2M}{r}+\frac{r^2}{\ell^2}+\frac{k}{r^{\frac{8(3\pi\omega+\omega\gamma+\pi)}{3\gamma+8\pi-\omega\gamma}}}. $

(2) Here, γ is the
$ f(R, T) $ gravity parameter, M is the mass of the black hole, and k is a constant of integration. By setting$\gamma \rightarrow 0$ , the well-known Kiselev-AdS black hole solution is recovered as follows in GR [76]:$ B(r)|_{\gamma\rightarrow0}=1-\frac{2M}{r}+\frac{k}{r^{(3\omega+1)}}+\frac{r^2}{\ell^2}. $

(3) The black hole mass can be determined by solving
$ B(r_+) = 0 $ as follows:$ M=\frac{1}{2} r_+ \left(k r_+^{-\frac{8 \gamma \omega +24 \pi \omega +8 \pi }{-\gamma\omega +3 \gamma +8 \pi }}+\frac{r_+^2}{\ell^2}+1\right). $

(4) The Hawking temperature is defined as
$ T = \kappa / 2\pi $ . Therefore, it can be expressed as follows:$ T=\frac{1}{4 \pi }\bigg[\frac{3 k r_+^{-\frac{\gamma (7 \omega +3)+8 \pi (3 \omega +2)}{-8 \pi+\gamma (\omega -3)}} (-8 \pi \omega +\gamma -3 \omega )}{8 \pi -\gamma (\omega -3)}+\frac{3 r_+}{\ell^2}+\frac{1}{r_+}\bigg]. $

(5) We use the well-known Hawking-Bekenstein area law to express the entropy
$ S_+ $ in terms of the event horizon radius$ r_+ $ as follows:$ \begin{array}{*{20}{l}} S_+=\pi r_+^2 .\end{array} $

(6) -
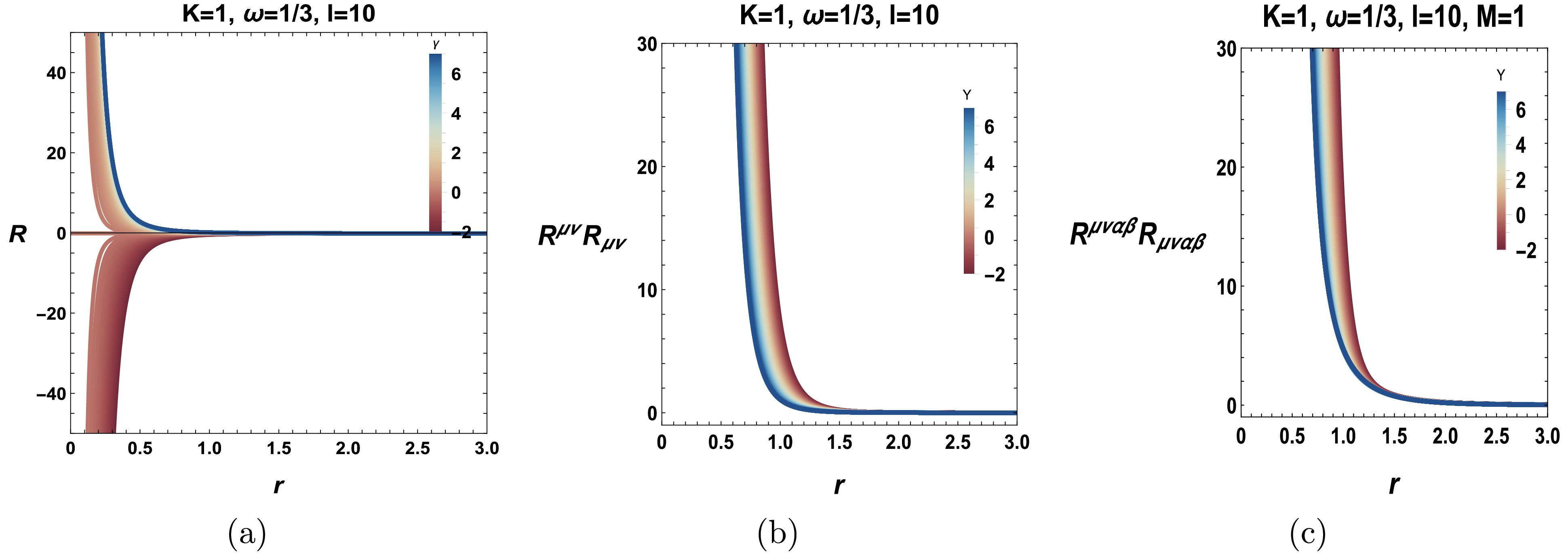
To provide a suitable proof of the singularity and uniqueness of the black hole solution, we must perform some analyses in terms of scalar invariants such as the Ricci, Ricci squared, and Kretschmann scalars. The Ricci scalar with respect to the relevant metric can be given as
$ \mathcal{R}=-\frac{6 k (\gamma (3 \omega -1)+8 \pi \omega ) [\gamma (5 \omega -3)+4 \pi (3 \omega -1)] r^{-\frac{6 (\gamma +4 \pi ) (\omega +1)}{8 \pi -\gamma (\omega -3)}}}{[\gamma (\omega -3)-8 \pi ]^2}-\frac{12}{\ell^2}. $

(7) In contrast, the Ricci squared function can be expressed in relation to the metric function as
$ \begin{aligned}[b] \mathcal{R}_{\mu\nu}\mathcal{R}^{\mu\nu}=\;& k^2 (-3 \gamma \omega +\gamma -8 \pi \omega )^2 \big[\gamma ^2 (\omega (17 \omega -6)+9)+16 \pi \gamma (6 \omega ^2+\omega +3)\\&+16 \pi ^2 (9 \omega ^2+6 \omega +5)\big] r^{-\frac{12 (\gamma +4 \pi ) (\omega +1)}{8 \pi -\gamma (\omega -3)}}\Big/\big[\gamma (\omega -3)-8 \pi \big]^4{}\\ &+2 k \big[\gamma (3 \omega -1)+8 \pi \omega \big] \big[\gamma (5 \omega -3)+4 \pi (3 \omega -1))\big] r^{-\frac{6 (\gamma +4 \pi ) (\omega +1)}{8 \pi -\gamma (\omega -3)}}\Big/\ell^2 \big[\gamma (\omega -3)-8 \pi \big]^2{}+\frac{2}{\ell^4}. \end{aligned} $

(8) The Kretschmann scalar can be represented as
$ \begin{aligned}[b] \mathcal{R}_{\mu\nu\alpha\beta}\mathcal{R}^{\mu\nu\alpha\beta}=\;&\frac{4 \left(k r^{\frac{8 (\gamma \omega +3 \pi \omega +\pi )}{\gamma (\omega -3)-8 \pi }}+\dfrac{r^2}{\ell^2}-\dfrac{2 M}{r}\right)^2}{r^4}+\frac{4 \left(-\dfrac{8 k (\gamma \omega +3 \pi \omega +\pi ) r^{\frac{8 (\gamma \omega +3 \pi \omega +\pi )}{\gamma (\omega -3)-8 \pi }-1}}{\gamma (-\omega )+3 \gamma +8 \pi }+\dfrac{2 r}{\ell^2}+\dfrac{2 M}{r^2}\right)^2}{r^2}\\&+\bigg(8 k (\gamma \omega +3 \pi \omega +\pi ) (\gamma (7 \omega +3)+8 \pi (3 \omega +2)) r^{-\frac{6 (\gamma +4 \pi ) (\omega +1)}{8 \pi -\gamma (\omega -3)}}\Big/(\gamma (\omega -3)-8 \pi )^2+\frac{2}{\ell^2}-\frac{4 M}{r^3}\bigg)^2. \end{aligned} $

(9) Upon deeper inspection of expressions
$ (7) $ ,$ (8) $ , and$ (9) $ , we observe that the black hole metric is singular for all admissible values of the parameters ω and γ. Indeed, the existence of the singularity results from the mass term and the relevant term of the constant k in the black hole metric. By constraining$ \omega <-1/3 $ and$ \gamma<0 $ , the singularity will disappear owing to these imposing conditions. However, to exclude the singularity resulting from the mass and charge terms, we may need to outline a routine with a non-linear charge distribution function analogous to Ref. [77]. In this work, we will not consider such a scenario and focus on the metric function (37) for the remainder of the analysis. A few remarks about the scalars mentioned show that the Ricci and Ricci squared scalars are not a function of the black hole mass M. In contrast, the Kretschmann scalars are functions of the black hole mass M; therefore, for any variation in the black hole mass, Kiselev$ f (R, T) $ parameters can cause significant variations in these same scalars. Hence, the scalars under consideration show that the black hole solution is unique, and the AdS background, as well as the Kislev structure, significantly modifies the black hole spacetime. Therefore, an analysis of scalar invariant limits at$ r = 0 $ might yield the following:$ \begin{array}{*{20}{l}} \lim\limits_{r\to 0} \mathcal{R},\,\mathcal{R}_{\mu\nu}\mathcal{R}^{\mu\nu}, \, R_{\alpha\beta\mu\nu}R^{\alpha\beta\mu\nu}\approx\infty. \end{array} $

(10) In contrast, for an analysis at a large distance, the relevant behavior of the scalar invariants can be provided as follows:
$ \begin{array}{*{20}{l}} \lim\limits_{r\to \infty} \begin{cases} \mathcal{R}\approx -\dfrac{12}{\ell^2} \\ \mathcal{R}_{\mu\nu}\mathcal{R}^{\mu\nu}\approx\dfrac{36}{\ell^4} \\ R_{\alpha\beta\mu\nu}R^{\alpha\beta\mu\nu}\approx\dfrac{24}{\ell^4} \end{cases}\,. \end{array} $

This shows that the Ricci, Ricci squared, and Kretschmann scalars comprise a finite term at large distances. In a nutshell, these scalars are proof that our black hole solution is completely consistent, and the Kiselev parameters, as well as the
$ f(R, T) $ parameter theory, do not affect the asymptotic behavior of spacetime. The above analysis can be demonstrated based on the three scalar invariants graph. Hence, Fig. 1 depicts the radial variations in the scalar invariants in spacetime (1), considering the Ricci scalar (Fig. 1(a)), square of the Ricci tensor (Fig. 1(b)), and Kretschmann scalar (Fig. 1(c)) for various values of γ with$ \omega=1/3 $ . The figure reveals that the scalar invariants exhibit a declining trend along the radial coordinates. Furthermore, as the values of ω and γ decrease, the Ricci squared and Kretschmann scalars increase. In contrast, a proportional relation is observed between the variation in the Ricci scalar and γ. Similarly, we find that all three scalars drop to zero when r is outside the event horizon. We now examine the weak, strong, and dominant energy conditions for the source fluid. The energy-momentum tensor for the anisotropic source fluid is given by [78−81]
Figure 1. (color online) Ricci, Ricci squared, and Kretschmann scalars for various values of the black hole system.
$ T^{\mu\nu}=\rho {e}_0^\mu {e}_0^\nu+\sum\limits_{i=1}^3P_i {e}_i^\mu {e}_i^\nu, $

(11) where ρ is the energy density,
$ P_i\quad (i = 1, 2, 3) $ are the pressures for the source fluid, and$ e_i^\mu $ represents the vielbein components. Eq. (11) refers to the source of the Einstein field equations that might be required to derive a black hole solution. We consider the static and spherically symmetric line element proposed in Eq. (1), and we require that this metric satisfies the Einstein equations according to the auxiliary term in Eq. (2). To be more specific, because we seek an AdS-type contribution with a negative cosmological constant, we observe that the Einstein field equations give [78−81]$ \rho=-P_r=\frac{1-B(r)-rB'(r)}{r^2}+8\pi P_\Lambda, $

(12) $ P_\theta=P_\phi=\frac{rB''(r)+2B'(r)}{2 r}-8\pi P_\Lambda. $

(13) Notice that we employ the convention
$ G = 1/(8\pi) $ , whereas [78] uses$ G = 1 $ , G being Newton's constant. These results are broadly in agreement with the ones given in [78−81], where$ P_r $ is the longitudinal pressure, and$ P_\theta $ and$ P_\phi $ are the transverse pressures. Moreover, the term$ 8\pi P_\Lambda $ , which is included in Eqs. (12) and (13), is essential to ensuring the presence of the negative cosmological constant in the Einstein field equations; according to recent studies [82, 83], we can interpret it as a thermodynamic pressure, such that$ P_\Lambda=-\Lambda/8\pi= 3/8\pi \ell^2 $ . We will now examine the energy conditions in question for the black hole solution [84−87].
Figure 10. (color online) (a) Topological potential H(r) for Kiselev-AdS black holes in f(R, T) gravity, (b) normal vector field n in the
$ (r-\theta) $ plane. The photon sphere is located at$ (r,\theta)=(1.615119922842,1.57) $ with respect to$ (\gamma=-2.68, m=1,l=1,k=1) $ .
Figure 11. (color online) (a) Topological potential H(r) for Kiselev-AdS Black Holes, (b) normal vector field n in the
$ (r-\theta) $ plane. The photon spheres are located at$ (r,\theta)=(0.573037724709,1.57),(r,\theta)=(1.658519337581,1.57) $ with respect to$ (\gamma=-3, m=1,l=1, $ $ k=1) $ .
Figure 13. (color online) (a) Metric function with different γ for Kiselev-AdS black holes in f(R, T) gravity, (b) normal vector field n in the
$ (r-\theta) $ plane. The photon sphere is located at$ (r,\theta)=(1.591046,1.57) $ with respect to$ (\gamma=-6.605, m=1,l=1,k=1) $ . (c): normal vector field n in the$ (r-\theta) $ plane. The photon spheres are located at$ (r,\theta)=(1.107899985366,1.57),(r,\theta)=(2.282979884819,1.57) $ with respect to$ (\gamma=-6.45, m=1,l=1,k=1) $ .The elements of the stress-energy tensor
$ T^{\mu\nu} $ for the Kiselev-AdS black hole within$ f(R, T) $ gravity are expressed as follows:$ \rho=\frac{3 k (\gamma (3 \omega -1)+8 \pi \omega ) r^{-\frac{6 (\gamma +4 \pi ) (\omega +1)}{8 \pi -\gamma (\omega -3)}}}{8 \pi -\gamma (\omega -3)} =-P_r ,$

(14) $ P_\theta = P_\phi = 3 \left(\frac{4 k (\gamma \omega +3 \pi \omega +\pi ) (\gamma (3 \omega -1)+8 \pi \omega ) r^{-\frac{6 (\gamma +4 \pi ) (\omega +1)}{8 \pi -\gamma (\omega -3)}}}{(\gamma (\omega -3)-8 \pi )^2} \right). $

(15) ● For each time vector
$ t^\mu $ , the weak energy condition (WEC) demands that$ T_{\mu\nu}\, t^\mu t^\nu\geqslant0 $ everywhere. This is equivalent to [88]$ \begin{array}{*{20}{l}} \rho\ge0,\quad \rho+ P_i\ge0\quad (i=r, \theta, \phi) \end{array} $

(16) and thus,
$ \rho+P_r=0 $ and$ \rho+P_\theta=\frac{9 (\gamma +4 \pi ) k (\omega +1) (\gamma (3 \omega -1)+8 \pi \omega ) r^{-\frac{6 (\gamma +4 \pi ) (\omega +1)}{8 \pi -\gamma (\omega -3)}}}{(\gamma (\omega -3)-8 \pi )^2}. $

(17) Given that
$ \omega>1/3 $ and$ \gamma>0 $ , the WEC is satisfied. We observe from Fig. 2(a) that, given a span of horizon radii, the energy density ρ is positive in accordance with the value of fixed ω and for a spectral value of γ.● For each null vector
$ t^\mu $ in the entire spacetime, the null energy condition (NEC) requires that$ T_{\mu\nu}\, t^\mu t^\nu\geqslant0 $ . When$ \omega>1/3 $ , the NEC predicts$ \rho+P_r \geqslant 0 $ , which is identically zero, and$ \rho+P_\theta=\rho+P_\phi \geqslant 0 $ , which is satisfied for Eq. (17).● The strong energy condition (SEC) states that, for every time vector
$ t^\mu $ ,$ T_{\mu\nu}\, t^\mu t^\nu\geqslant 1/2 \,T_{\mu\nu} t^\nu t_\nu $ globally, assuming that [88]$ \begin{array}{*{20}{l}} \rho+\sum\limits_i P_i=P_r+2\,P_\theta\ge0. \end{array} $

(18) Upon careful inspection, the following restriction is the only one that satisfies the SEC:
$ \begin{array}{*{20}{l}} \omega>1/3\quad \text{and} \quad \gamma>0. \end{array} $

(19) Graphical analysis shows that energy conditions such as WEC, NEC, and SEC vary as a function of the variable r (see Fig. 2). Thus, we observe that for each choice of values of ω with a range of values of γ, the WEC is satisfied for the considered case with
$ \omega=1/3 $ and$ 16\leqslant\gamma\leqslant84.5 $ (Fig. 2(a)). Similarly, the NEC appears to be satisfied for$ \omega=1/3 $ and$ 16\leqslant\gamma\leqslant84.5 $ (Fig. 2(b)). The Kiselev predominantly satisfies the SEC, as shown in Fig. 2(c). This is in contrast to the quintessence of dark energy within GR. Indeed, a violation of the SEC is understood as a violation of the attractive pattern of gravity, as exemplified by dark energy accelerating the expansion of the universe in cosmological studies, together with the matter content of the background of a regular black hole, whose singularity has been superseded by a de Sitter core. For brevity, note that the general mapping between the SEC and gravity behavior is the focus of an ongoing search in the literature. The validity of the SEC in a gravity environment is typically known to be related to the attractive aspect of gravity. This is true in GR, where the SEC must be assumed to secure the attractive nature of the theory - focus theorem [89, 90]. Nevertheless, such a connection need not have entirely general validity in extended gravity. A paradigmatic illustration is provided by$ f(R) $ gravity, shown in [91], involving the Raychaudhuri equation. Even with the standard SEC, the Raychaudhuri equation can present positive inputs from spacetime geometry, generally considered a possible sign of repulsive gravity. Consequently, the SEC/attractive gravity paradigm appears invalid in this context. A piece of stringent and comprehensive evidence that the attractiveness of gravity is no longer guaranteed by the SEC in extended gravity is beyond the present analysis. This task will be left to the future. -
The photon sphere is a region surrounding a black hole where the intensity of the gravitational pull forces photons into circular orbits. This sphere is crucial because it defines the boundary within which light can be trapped in orbit around the black hole, leading to intriguing phenomena such as gravitational lensing and the black hole's shadow [92−100]. A thermodynamic topology examines the topological characteristics of black holes about their thermodynamic behavior. This method aids in understanding phase transitions and the stability of black holes. By studying the topological charge and critical points, researchers can categorize different phases of black holes and forecast their behavior under various conditions. For example, in hyperscaling-violating black holes, the topological charge can reveal whether the black hole is stable or if it will transition to a different phase. These concepts are essential for comprehending the complex nature of black holes and their interactions with light and matter. In the following section, we discuss these concepts in the context of Kiselev-AdS black holes within
$f(R, T)$ gravity. -
Various quantities are used to investigate the thermodynamic properties of black holes. For instance, mass and temperature can describe the generalized free energy. Considering the relationship between mass and energy in black holes, we can represent our generalized free energy function as a standard thermodynamic function in the following form [27].
$ \mathcal{F}=M-\frac{S}{\tau}. $

(20) where τ denotes the Euclidean time period, whereas T (the inverse of τ) represents the temperature of the ensemble. The generalized free energy is on-shell only when
$ \tau = \tau_{H} = \dfrac{1}{T_{H}} $ . As stated in [27], a vector ϕ is constructed as follows:$ \phi=\left(\frac{\partial\mathcal{F}}{\partial r_{H}},-\cot\Theta\csc\Theta\right). $

(21) Where
$ \phi^{\Theta} $ diverges, the vector direction points outward at$ \Theta = 0 $ and$ \Theta = \pi $ . The ranges for$ r_{H} $ and Θ are$ 0 \leq r_{H} \leq \infty $ and$ 0 \leq \Theta \leq \pi $ , respectively. Using Duan's ϕ-mapping topological current theory, a topological current can be defined as follows:$ j^{\,\mu}=\frac{1}{2\pi}\varepsilon^{\mu\nu\rho}\varepsilon_{ab}\partial_{\nu}n^{a}\partial_{\rho}n^{b}, \quad \mu,\nu,\rho=0,1,2 $

(22) Given
$ n = (n^1, n^2) $ , where$ n^1 = \dfrac{\phi^r}{\|\phi\|} $ and$ n^2 = \dfrac{\phi^\Theta}{\|\phi\|} $ , Noether's theorem ensures that the resulting topological currents are conserved.$ \partial_{\mu}j^{\,\mu}=0, $

(23) To determine the topological number, we reformulate the topological current [27]:
$ j^{\,\mu}=\delta^{2}(\phi) J^{\mu}(\frac{\phi}{x}), $

(24) The Jacobi tensor is determined as
$ \begin{array}{*{20}{l}} \varepsilon^{ab}J^{\mu}(\frac{\phi}{x})=\varepsilon^{\mu\nu\rho}\partial_{\nu}\phi^{a}\partial_{\rho}\phi^{b}. \end{array} $

(25) The Jacobi vector reduces to the standard Jacobi when
$ \mu=0 $ , as demonstrated by$ J^{0}\left(\dfrac{\phi}{x}\right)=\dfrac{\partial(\phi^1,\phi^2)}{\partial(x^1,x^2)} $ . Eq. (23) shows that$ j^{\mu} $ is only non-zero when$ \phi=0 $ . Through some calculations, we can express the topological number or total charge W as follows:$ W=\int_{\Sigma}j^{\,0}d^2 x=\Sigma_{i=1}^{n}\beta_{i}\eta_{i}=\Sigma_{i=1}^{n}\widetilde{\omega}_{i}. $

(26) Here,
$ \beta_i $ denotes the positive Hopf index, which counts the loops of the vector$ \phi^a $ in the ϕ space when$ x^\mu $ is near the zero point$ z_i $ . Meanwhile,$ \eta_i=\text{sign}(j^0(\phi/x)_{z_i})=\pm 1 $ . The quantity$ \widetilde{\omega}_i $ represents the winding number for the i-th zero point of ϕ in Σ. Note that the winding number is independent of the shape of the region where the calculation occurs. The value of the winding number is directly related to black hole stability, with a positive (negative) winding number corresponding to a stable (unstable) black hole state. Using Eqs. (4), (6), and (21), we derive the generalized Helmholtz free energy for Kiselev-AdS black holes within the framework of$ f(R, T) $ gravity.$ \mathcal{F}=\frac{1}{2} r \left(k r^{-\frac{8 \gamma \omega +24 \pi \omega +8 \pi }{\gamma (-\omega )+3 \gamma +8 \pi }}+\frac{r^2}{l^2}+1\right)-\frac{\pi r^2}{\tau } .$

(27) Based on the discussion in the previous section, the form of the function
$ (\phi^{r}, \phi^\Theta) $ is determined as follows:$ \begin{aligned}[b] &\phi ^{r}=\frac{3 k (-3 \gamma \omega +\gamma -8 \pi \omega ) r^{\frac{8 (\gamma \omega +3 \pi \omega +\pi )}{\gamma (\omega -3)-8 \pi }}}{2 (8 \pi -\gamma (\omega -3))}+\frac{3 r^2}{2 l^2}-\frac{2 \pi r}{\tau }+\frac{1}{2},\\ &\phi ^{\theta }=-\frac{\cot (\theta )}{\sin (\theta )}. \end{aligned} $

(28) The unit vectors
$ \mathbf{n}_1 $ and$ \mathbf{n}_2 $ are computed using Eq. (28). Next, we determine the zero points of the$ \phi^{r} $ component by solving$ \phi^{r} = 0 $ and derive an expression for τ as follows:$ \tau =4 \pi r\bigg[\frac{3 k (-3 \gamma \omega +\gamma -8 \pi \omega ) r^{\frac{8 (\gamma \omega +3 \pi \omega +\pi )}{\gamma (\omega -3)-8 \pi }}}{8 \pi -\gamma (\omega -3)}+\frac{3 r^2}{l^2}+1\bigg]^{-1}. $

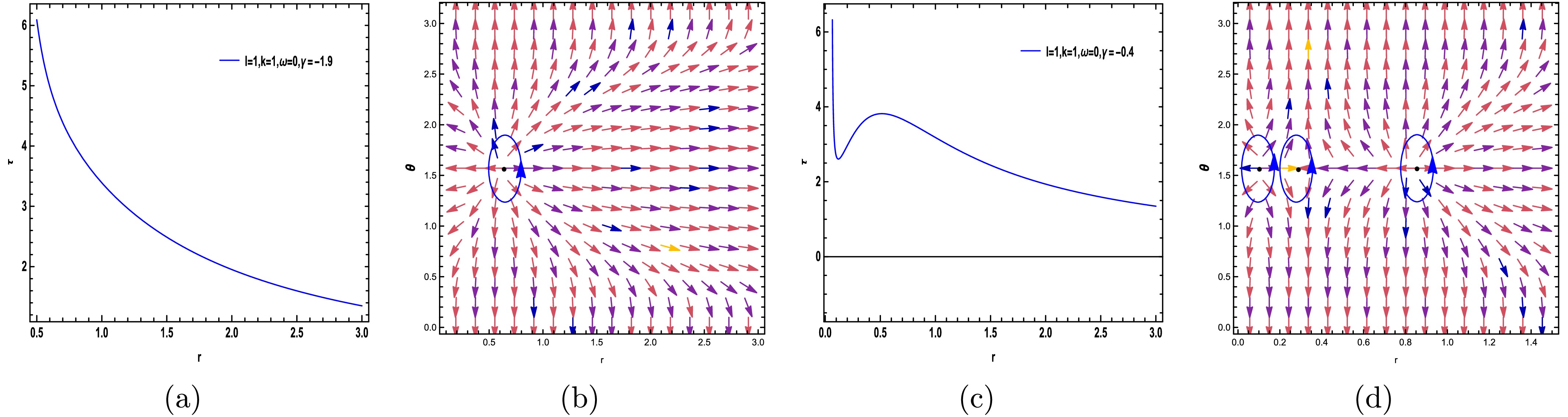
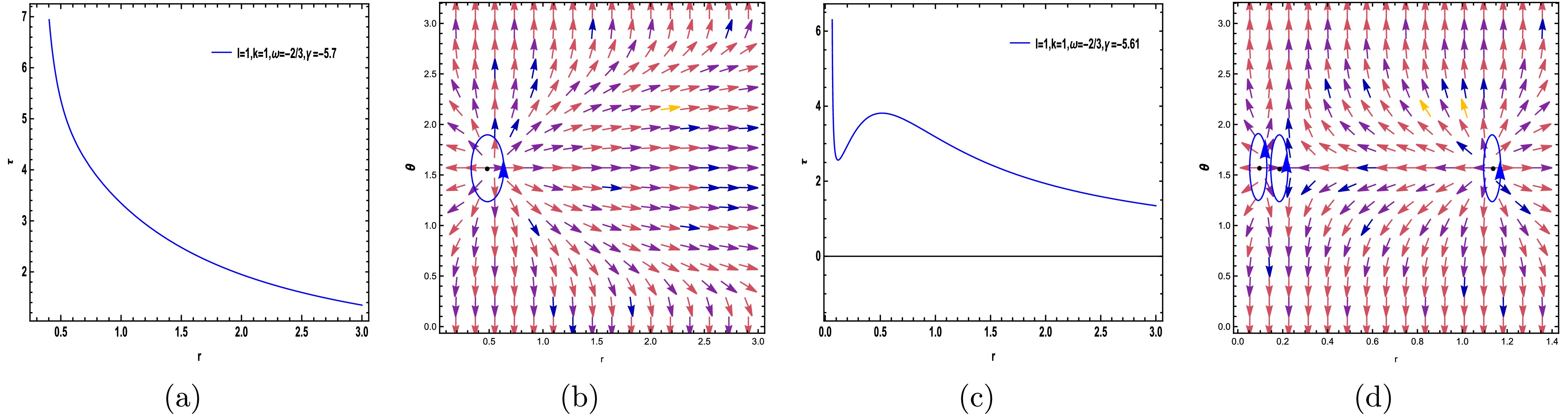
(29) We encounter a single zero point in Figs. 3(b), 4(b), 4(d), 5(b), 6(b), indicating one topological charge determined by the free parameters mentioned in this paper. This charge corresponds to the winding number and is located within the blue contour loops at coordinates
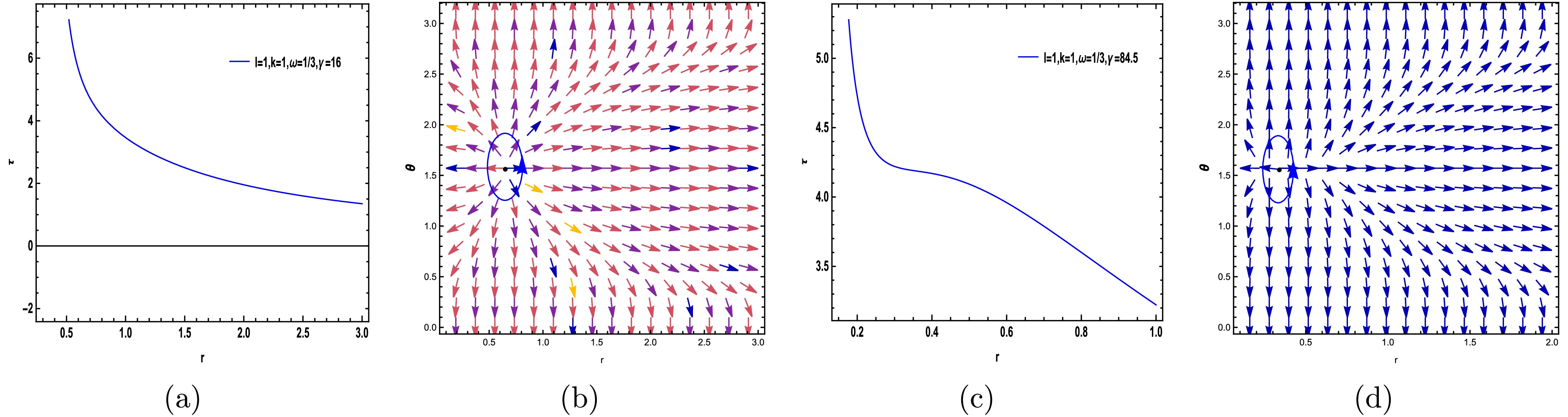
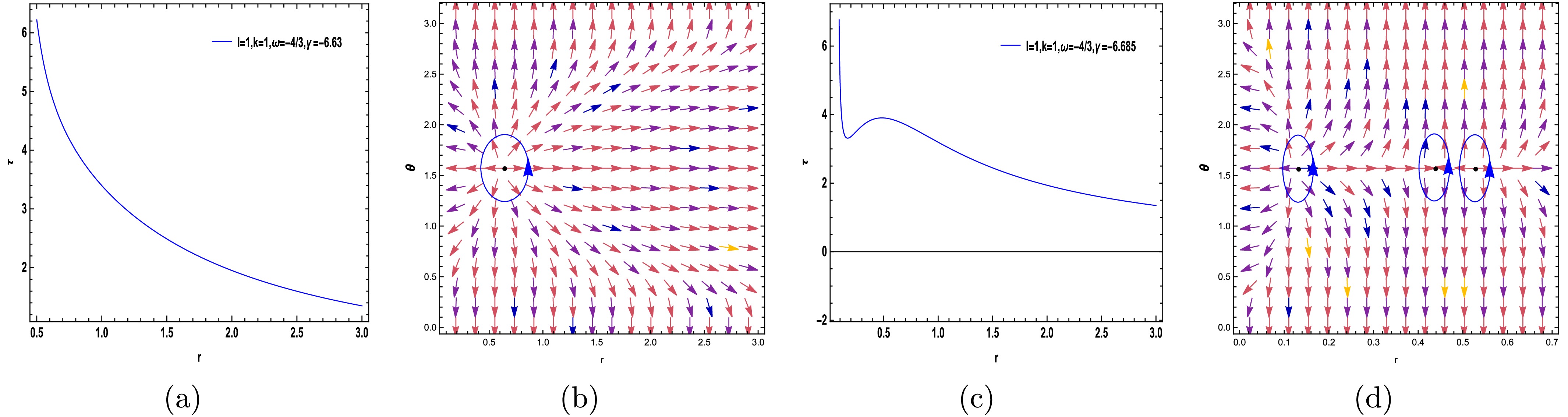
$(r, \theta)$ . The sequence of the illustrations is determined by ω and γ; for example, in Fig. (3), we have ($\omega = 0$ with$\gamma = -1.9, -0.4$ ), and for Figs. (4) through (6), ω takes the values (ω=${1}/{3}$ with$\gamma = 16, 84.5$ ), (ω=$-{2}/{3}$ with$\gamma = -5.7, -5.61$ ), and (ω=$- {4}/{3}$ with$\gamma = -6.63, -6.685$ ), respectively. In all the figures, we set$k = \ell = 1$ . The figures show that the distinctive feature of total topological charge$ +1 $ is the zero point enclosed within the contour.
Figure 3. (color online) The curve corresponding to Eq. (30) is depicted in (a) and (c). In (b) and (d), the colorful arrows illustrate the vector field (n) on a segment of the
$ (r-\theta) $ plane for Kiselev-AdS black holes within f(R, T) gravity, with parameters$ (\ell=k=1, \omega=0, \gamma=-1.9) $ and$ (\ell=k=1, \omega=0, \gamma=-0.4) $ , respectively. The ZPs are positioned at$ (r, \theta) $ on the circular loops.
Figure 4. (color online) The curve corresponding to Eq. (30) is depicted in (a) and (c). In (b) and (d), the ZPs are located at
$ (r, \theta) $ on the circular loops with parameters$(\ell=k=1, \omega= {1}/{3}, \gamma=16)$ and$(\ell=k=1, \omega= {1}/{3}, \gamma=-84.5)$ .
Figure 5. (color online) The curve corresponding to Eq. (30) is depicted in (a) and (c). In (b) and (d), the ZPs are located at
$ (r, \theta) $ on the circular loops with parameters$(\ell=k=1, \omega=- {2}/{3}, \gamma=-5.7)$ and$(\ell=k=1, \omega=- {2}/{3}, \gamma=-5.61)$ .
Figure 6. (color online) The curve corresponding to Eq. (30) is depicted in (a) and (c). In (b) and (d), the ZPs are located at
$ (r, \theta) $ on the circular loops with parameters$ (\ell=k=1, \omega=-{4}/{3}, \gamma=-6.63) $ and$(\ell=k=1, \omega=- {4}/{3}, \gamma=-6.685)$ .Additionally, our findings indicate that by increasing γ for
$(\omega = 0, - {2}/{3})$ , the number of topological charges increases, as shown in Figs. 3(b), 3(d), 5(b), and 5(d), but the total topological charge remains$W = +1$ . Conversely, for$(\omega=- {4}/{3})$ , the number of topological charges increases by decreasing the value of γ. Generally, for$( {1}/{3})$ , changing γ does not alter the number of topological charges. However, γ and ω affect the number of topological charges in the entire system, whereas the total topological charges for all modes are equal$W = +1$ . Additionally, Figs. 3(d), 5(d), and 6(d) depict three topological charges$(\widetilde{\omega} = +1, -1, +1)$ , resulting in a total topological charge of$W = +1$ . In Figs. 3(a), 3(c), 4(a), 4(c), 5(a), 5(c), 6(a), and 6(c), we have plotted the trajectory corresponding to Eq. (30) across various free parameter values. The results are summarized in Table 1.Free parameters $\tilde{\omega}$ 

W $(\ell=k=1, \omega=0, \gamma=-1.9)$ 

$+1$ 

$+1$ 

$(\ell=k=1, \omega=0, \gamma=-0.4)$ 

$+1,-1,+1$ 

$+1$ 

$(\ell=k=1, \omega= {1}/{3}, \gamma=16)$ 

$+1$ 

$+1$ 

$(\ell=k=1, \omega= {1}/{3}, \gamma=84.5)$ 

$+1$ 

$+1$ 

$(\ell=k=1, \omega=- {2}/{3}, \gamma=-5.7)$ 

$+1$ 

$+1$ 

$(\ell=k=1, \omega=- {2}/{3}, \gamma=-5.61)$ 

$+1,-1,+1$ 

$+1$ 

$(\ell=k=1, \omega=- {4}/{3}, \gamma=-6.63)$ 

$+1$ 

$+1$ 

$(\ell=k=1, \omega=- {4}/{3}, \gamma=-6.685)$ 

$+1,-1,+1$ 

$+1$ 

Table 1. Summary of the results for the F-model.
-
In the extended thermodynamic framework, the temperature T of a system such as a black hole is expressed as a function of pressure P and an additional parameter ξ. Critical points are identified using the conditions
$ \left(\frac{\partial T}{\partial r_{H}}\right)_{P, \xi} = 0, \quad \left(\frac{\partial^2 T}{\partial r_{H}^2}\right)_{P, \xi} = 0. $

(30) Recent research indicates that each critical point can have a topological charge, which can be conventional or novel. To eliminate the parameter P, we use the relation
$ \left(\dfrac{\partial T}{\partial r_{H}}\right)_{P, \xi} = 0 $ . To study the topological charge, the thermodynamic function Φ is defined as$ \begin{array}{*{20}{l}} \begin{split} \Phi = \frac{1}{\sin \theta} T(r_H, \xi), \end{split} \end{array} $

(31) where
$\dfrac{1}{\sin \theta}$ simplifies the calculations. A new vector field$\phi = (\phi^{r_H}, \phi^\theta)$ is defined using Duan’s ϕ-mapping theory:$ \begin{array}{*{20}{l}} \begin{split} \phi^{rH} = \left(\frac{\partial \Phi}{\partial r_{H}}\right)_{\theta, \xi}, \quad \phi^\theta = \left(\frac{\partial \Phi}{\partial \theta}\right)_{r, \xi}. \end{split} \end{array} $

(32) The vector field ϕ is zero at
$\theta = \dfrac{\pi}{2}$ , which can be used to identify critical points. The points$\theta = 0$ and$\theta = \pi$ serve as boundaries in the parameter space. When the vector field$\phi^a$ is zero, its topological current$j^\mu$ becomes non-zero. Conversely, contour C can be parameterized using$ \vartheta \in (0, 2\pi) $ with$ r = a \cos \vartheta + r_0 $ and$ \theta = b \sin \vartheta + {\pi}/{2} $ , where$ (r_0, {\pi}/{2}) $ represents the center of the contour. We introduce a new quantity to measure the deflection of the vector field along the contour:$ \Omega(\vartheta) = \int_0^{\vartheta} \epsilon_{ij} n^i \frac{\partial n^j}{\partial \vartheta} {\rm d}\vartheta, $

(33) where
$ i, j = S, \theta $ . Consequently, the topological charge$ Q_t $ is given by$ Q_t = \frac{\Omega(2\pi)}{2\pi}. $

(34) The temperature is reformulated by eliminating the pressure parameter:
$\begin{aligned} T=\frac{1}{4 \pi }\bigg[\frac{3 k (\gamma -(3+8 \pi ) \omega ) (\gamma (7 \omega +3)+8 \pi (3 \omega +2)) r_{H}^{1-\frac{6 (\gamma +4 \pi ) (\omega +1)}{8 \pi -\gamma (\omega -3)}}}{(\gamma (\omega -3)-8 \pi )^2}+\frac{3 k (\gamma -(3+8 \pi ) \omega ) r_{H}^{\frac{\gamma (7 \omega +3)+8 \pi (3 \omega +2)}{\gamma (\omega -3)-8 \pi }}}{8 \pi -\gamma (\omega -3)}+\frac{2}{r_{H}}\bigg].\\\end{aligned} $

(35) Subsequently, by substituting Eq. (35) into Eq. (31), we can derive the thermodynamic function Φ for the black hole as follows:
$ \Phi =\frac{1}{4 \pi \sin\theta}\bigg[\frac{3 k (\gamma -(3+8 \pi ) \omega ) (\gamma (7 \omega +3)+8 \pi (3 \omega +2)) r_{H}^{1-\frac{6 (\gamma +4 \pi ) (\omega +1)}{8 \pi -\gamma (\omega -3)}}}{(\gamma (\omega -3)-8 \pi )^2}+\frac{3 k (\gamma -(3+8 \pi ) \omega ) r_{H}^{\frac{\gamma (7 \omega +3)+8 \pi (3 \omega +2)}{\gamma (\omega -3)-8 \pi }}}{8 \pi -\gamma (\omega -3)}+\frac{2}{r_{H}}\bigg]. $

(36) Topological charges can be identified owing to the presence of critical points within acceptable regions for free parameters. By applying Eqs. (30), (31), (32), (35), and (36) for
$\omega = 0$ and$\omega = -4/3$ with various values of γ as shown in Figs. 7(a), 7(c), 8(a), and 8(c), the topological charges of each critical point can be determined. Consequently, from Figs. (7) and (8), we find that$Q_{\rm CP1} = -1$ . Additionally, we conclude that$Q_{\rm total} = -1$ .
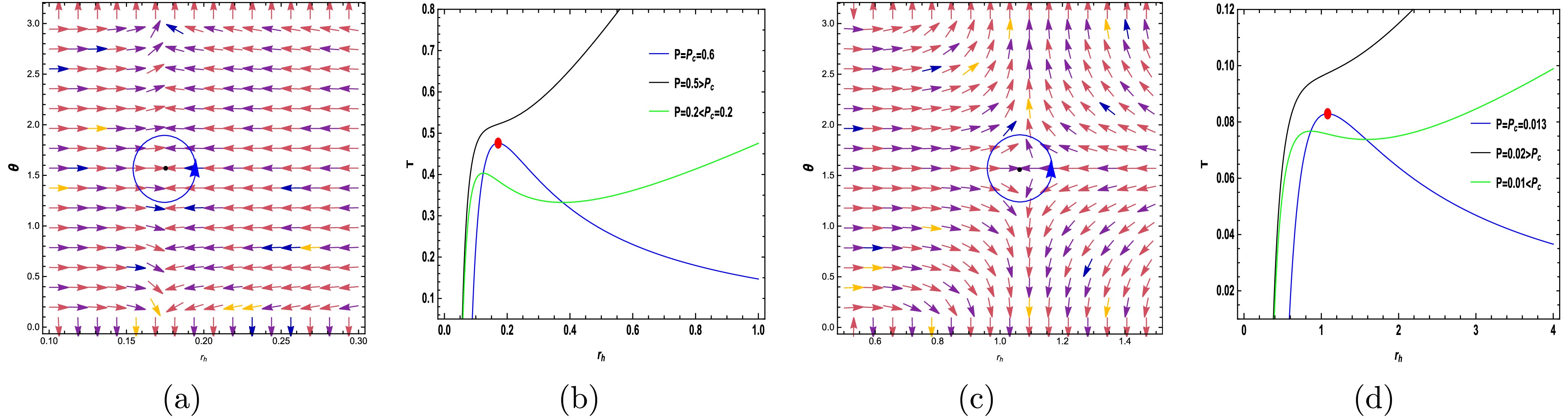
Figure 7. (color online) The arrows represent the vector field n on the
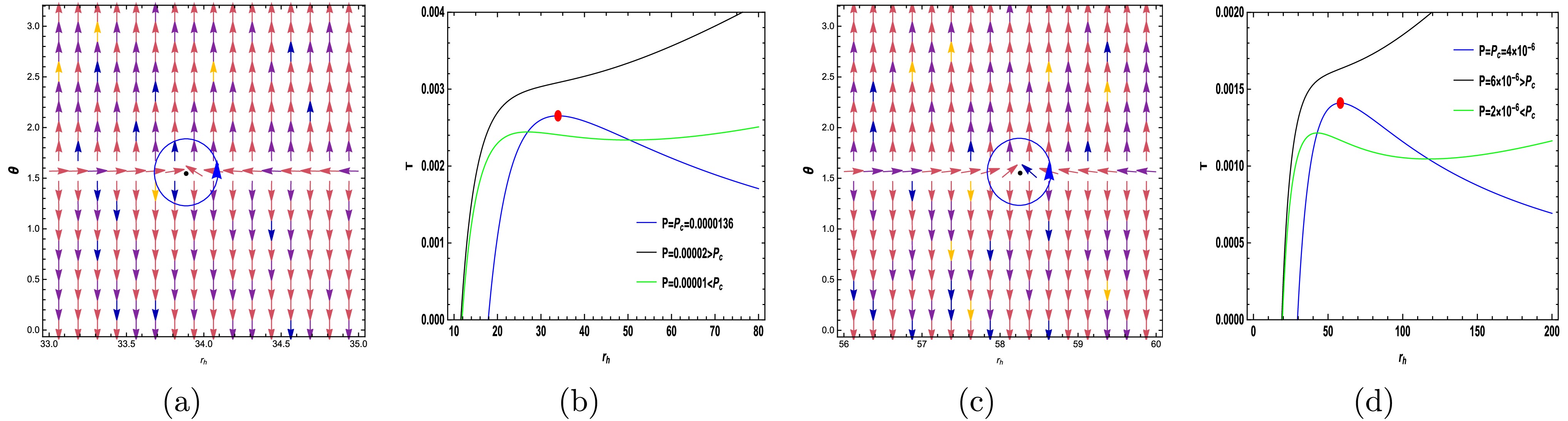
$ r_H-\theta $ plane for the Kiselev-AdS black holes within f (R, T) gravity with$ (k =\ell= 1, \omega = 0, \gamma = -0.4) $ and$ (k =\ell= 1, \omega = 0, \gamma = -1.9) $ in (a) and (c), respectively. Isobaric and spinodal curves (blue lines) for the Kiselev-AdS black holes within f (R, T) gravity in (b) and (d).
Figure 8. (color online) The arrows represent the vector field n on the
$ r_H-\theta $ plane for the mentioned black hole with$ (k =\ell= 1, \omega = -4/3, \gamma = -6.63) $ and$ (k =\ell= 1, \omega = -4/3, \gamma = -6.685) $ in (a) and (c), respectively. Isobaric and spinodal curves (blue lines) in (b) and (d).As depicted in Figs. 7(b), 7(d), 8(b), and 8(d), the conventional critical points represent the local minima and maxima of the spinodal curve. The range of various parameters for the black hole in question is constrained by the conditions of the event horizon, which has been thoroughly examined in [75]. Therefore, for other values of the parameter ω, specifically
$1/3$ and$-2/3$ , the topological charges have not been obtained within this range. Consequently, the discussed topics apply only to (dust) and (phantom) fields. -
Referring to [41, 101−103], we begin with a regular potential,
$ \begin{array}{*{20}{l}} \begin{split} H(r,\theta)=\sqrt{\frac{-g_{tt}}{g_{\varphi\varphi}}}=\frac{1}{\sin\theta}\left(\frac{f(r)}{h(r)}\right)^{1/2}, \end{split} \end{array} $

(37) By examining this potential, we can determine the radius of the photon sphere, which is located at
$ \begin{array}{*{20}{l}} \begin{split} \partial_r H=0, \end{split} \end{array} $

(38) We then introduce a vector field
$ \phi = (\phi^r, \phi^\theta) $ , defined as follows:$ \phi^r=\frac{\partial_r H}{\sqrt{g_{rr}}}=\sqrt{g(r)}\partial_r H, \quad \phi^\theta=\frac{\partial_\theta H}{\sqrt{g_{\theta\theta}}}=\frac{\partial_\theta H}{\sqrt{h(r)}}, $

(39) Consequently, the total charge is given by
$ Q=\sum\limits_{i}\widetilde{\omega}_i, $

(40) In conclusion, the presence of a zero point within a closed curve indicates that the charge Q is precisely equal to the winding number. For further details, please see [102]. Now, with respect to B(r) in Eq. (2), the above functions will be
$ H =\frac{\sqrt{1-\dfrac{2 M}{r}+\dfrac{r^{2}}{l^{2}}+\dfrac{k}{r^{\frac{8 \left(3 \omega \pi +\gamma \omega +\pi \right)}{-\gamma \omega +8 \pi +3 \gamma}}}}}{\sin \left(\theta \right) r}, $

(41) $ \begin{aligned}[b] &\mathcal{A}=\left(-\frac{1}{12} \gamma \omega +\frac{2}{3} \pi +\frac{1}{4} \gamma \right) r^{\frac{24 \omega \pi +7 \gamma \omega +16 \pi +3 \gamma}{-\gamma \omega +8 \pi +3 \gamma}},\\ &\mathcal{B} =-2 \left(-\frac{1}{8} \gamma \omega +\pi +\frac{3}{8} \gamma \right) M \,r^{\frac{\left(24 \pi +8 \gamma \right) \omega +8 \pi}{\left(-\omega +3\right) \gamma +8 \pi}},\\ &\mathcal{C} =\left(\pi +\frac{\gamma}{4}\right) \left(\omega +1\right) r k, \\ &\phi^{r}=-\frac{12 \left(A +B +C \right) r^{\frac{\left(-5 \omega -9\right) \gamma -24 \omega \pi -32 \pi}{\left(-\omega +3\right) \gamma +8 \pi}} \csc \left(\theta \right)}{-\gamma \omega +8 \pi +3 \gamma}, \end{aligned} $

(42) $ \phi^{\theta}=-\frac{\sqrt{1-\dfrac{2 M}{r}+\dfrac{r^{2}}{l^{2}}+\dfrac{k}{r^{\frac{8 \left(3 \omega \pi +\gamma \omega +\pi \right)}{-\gamma \omega +8 \pi +3 \gamma}}}}\, \cos \left(\theta \right)}{\sin \left(\theta \right)^{2} r^{2}}. $

(43) Because our main aim in this article is to investigate the effect of gravitational corrections on the model, we study the structure of the photon sphere and its parameter range in three parts. Note that for simplicity, we consider the values
$ M=1, \ell=1, k=1 $ for all cases in this section. -
We have plotted the metric function for
$ \omega=0 $ and different γ. As shown in Fig. 9, the metric function for$ \gamma>-2.6911 $ always has a root. For this case, the general form of the Eqs. (37) and (39) becomes
Figure 9. (color online) Metric function with different γ for Kiselev-AdS black holes in
$f(R, T) $ gravity.$ H =\frac{\sqrt{1-\dfrac{2}{r}+r^{2}+r^{-\frac{8 \pi}{8 \pi +3 \gamma}}}}{\sin \left(\theta \right) r}, $

(44) $ \phi^{r}=-\frac{8 \csc \left(\theta \right) \left[\left(\dfrac{3 \pi}{2}+\dfrac{3 \gamma}{8}\right) r^{\frac{3 \gamma}{8 \pi +3 \gamma}}+\left(\pi +\dfrac{3 \gamma}{8}\right) \left(r -3\right)\right]}{r^{3} \left(8 \pi +3 \gamma \right)}, $

(45) $ \phi^{\theta}=-\frac{\sqrt{1-\dfrac{2}{r}+r^{2}+r^{-\frac{8 \pi}{8 \pi +3 \gamma}}}\, \cos \left(\theta \right)}{\sin \left(\theta \right)^{2} r^{2}}. $

(46) Based on Table 2, as evident from Figs. 9, 10, and 11, in the first region, the potential structure has only a single local maximum or an unstable photon sphere with a negative unit charge. However, in the second region, with the disappearance of the event horizon, a local minimum (stable photon sphere) emerges beyond the horizon. This results in the total topological charge becoming zero, rendering the space in the form of a naked singularity, which is also confirmed by the metric function.
Kiselev-AdS Black Holes Fix parametes Conditions TTC $(R_{\rm PLPS})$ 

unstable photon sphere $k=1,m=1,l=1$ 

$-2.6911\geq\gamma $ 

$-1$ 

$1.616399193583$ 

naked singularity $k=1,m=1,l=1$ 

$-8.37<\gamma< -2.6911$ 

$ 0 $ 

$-$ 

Table 2.
$R_{\rm PLPS}$ : Minimum or maximum possible radius for the appearance of an unstable photon sphere. TTC: Total Topological Charge.An interesting aspect of this model, in comparison with previous works, is the elimination of the forbidden region. In this model, beyond the singularity region, contrary to previous models in which a forbidden zone exists, the metric function exhibits a single root at
$ \gamma = -8.38 $ , and a photon sphere appears. However, whether these γ values are permissible within Einstein's equations and whether they satisfy the necessary energy conditions requires further scrutiny. -
As shown in Fig. 12(a), with respect to
$ \omega=-2/3 $ , the metric function for$ \gamma>-5.7903 $ always has a root. Now, with respect to Eqs. (37) and (38) we have
Figure 12. (color online) (a) Metric function with different γ for Kiselev-AdS black holes in f(R, T) gravity, (b) The normal vector field n in the
$ (r-\theta) $ plane. The photon sphere is located at$ (r,\theta)=(1.53024,1.57) $ with respect to$ (\gamma=-5.68, m=1,l=1,k=1) $ . (c) Normal vector field n in the$ (r-\theta) $ plane. The photon spheres are located at$ (r,\theta)=(1.164619828617,1.57),(r,\theta)=(2.495766445262,1.57) $ with respect to$ (\gamma=-6.1, m=1,l=1,k=1) $ .$ H =\frac{\sqrt{\dfrac{k \,r^{\frac{24 \pi +16 \gamma}{24 \pi +11 \gamma}} r +r^{3}+r -2}{r}}}{\sin \left(\theta \right) r}, $

(47) $ \phi^{r}=-\frac{12 \csc \left(\theta \right) \left[\left(\pi +\dfrac{\gamma}{4}\right) r^{\frac{48 \pi +27 \gamma }{24 \pi +11 \gamma}}+2 \left(r -3\right) \left(\pi +\dfrac{11 \gamma}{24}\right)\right]}{r^{3} \left(24 \pi +11 \gamma \right)}, $

(48) $ \phi^{\theta}=-\frac{\sqrt{\dfrac{k \,r^{\frac{24 \pi +16 \gamma}{24 \pi +11 \gamma}} r +r^{3}+r -2}{r}}\, \cos \left(\theta \right)}{r^{2} \sin \left(\theta \right)^{2}}. $

(49) The behavior of the model based on the ranges obtained for γ is fully shown in Table 3, and samples from each area are shown in Fig. 12.
Kiselev-AdS Black Holes Fix parametes Conditions TTC $R_{\rm PLPS}$ 

unstable photon sphere $k=1,m=1,l=1$ 

$-5.7902\geq\gamma $ 

$-1$ 

$1.616366040729$ 

naked singularity $k=1,m=1,l=1$ 

$-6.8544<\gamma< -5.7902$ 

$ 0 $ 

$-$ 

Table 3.
$R_{\rm PLPS}$ : Minimum or maximum possible radius for the appearance of an unstable photon sphere. TTC: Total Topological Charge. -
In this scenario, the impact of corrections operates in the exact opposite manner compared with previous cases. Unlike the previous instances in which corrections influenced the system by increasing γ, here, the decrease in γ has a more significant effect. With respect to
$ \omega=-4/3 $ , the metric function for$ \gamma<-6.5935 $ always has a root. For this case, the general form of the equations with respect to Eqs. (37) and (39) is$ H =\frac{\sqrt{\dfrac{k \,r^{\frac{72 \pi +32 \gamma}{24 \pi +13 \gamma}} r +r^{3}+r -2}{r}}}{r \sin \left(\theta \right)}, $

(50) $ \phi^{r}=\frac{12 \left[\left(\pi +\dfrac{\gamma}{4}\right) r^{\frac{96 \pi +45 \gamma}{24 \pi +13 \gamma}}-2 \left(\pi +\dfrac{13 \gamma}{24}\right) \left(r -3\right)\right] \csc \left(\theta \right)}{r^{3} \left(24 \pi +13 \gamma \right)} ,$

(51) $ \phi^{\theta}=-\frac{\sqrt{\dfrac{k \,r^{\frac{72 \pi +32 \gamma}{24 \pi +13 \gamma}} r +r^{3}+r -2}{r}}\, \cos \left(\theta \right)}{r^{2} \sin \left(\theta \right)^{2}} .$

(52) According to the ranges obtained for γ, the behavior of the model and total topological charge are given in the Table 4, and the samples for each are are given in Fig. 13.
Kiselev-AdS Black Holes Fix parametes Conditions TTC $R_{\rm PLPS}$ 

unstable photon sphere $k=1,m=1,l=1$ 

$-6.5936\leq\gamma $ 

$-1$ 

$1.593135505582$ 

naked singularity $k=1,m=1,l=1$ 

$-6.5936<\gamma< -5.8$ 

$ 0 $ 

$-$ 

Table 4.
$R_{\rm PLPS}$ : Minimum or maximum possible radius for the appearance of an unstable photon sphere. TTC: Total Topological Charge.Before concluding this section, we note that the analysis and calculations for the radiation region (
$ \omega = 1/3 $ ) did not present any new insights that would lead to different conclusions compared with the three plotted regions, except for maintaining the trend of changes in the γ parameter range. Therefore, to avoid redundancy, we have omitted this region. -
In this paper, we have thoroughly investigated the topological charge and conditions for the existence of the photon sphere in Kiselev-AdS black holes within
$f(R, T)$ gravity. We have established their topological classifications using two distinct methods based on Duan’s topological current ϕ-mapping theory viz temperature and the generalized Helmholtz free energy method. By analyzing the critical and zero points (topological charges and topological numbers) for different parameters, we reveal that the Kiselev parameter ω and$f(R, T)$ gravity parameter γ significantly influence the number of topological charges of black holes, providing novel insights into their topological classifications. Our findings indicate that for given values of the free parameters, total topological charges ($Q_{\rm total} = -1$ ) exist for the T method and total topological numbers ($W = +1$ ) for the generalized Helmholtz free energy method. Notably, in contrast to the scenario in which$\omega = 1/3$ , increasing γ in other cases results in an increase in the number of total topological charges for the black hole. Interestingly, for the phantom field ($\omega = -4/3$ ), decreasing γ leads to an increase in the number of topological charges.Additionally, our study of the photon sphere reveals that the simultaneous presence of γ and ω effectively expands the permissible range for γ, enabling the model to exhibit black hole behavior over a larger domain.With the stepwise reduction of ω, the region covered by singularity diminishes and becomes more restricted. An intriguing aspect of our findings, compared with previously studied models [41, 101−103], is the elimination of the forbidden region in this model. In other words, the investigated areas have no region in which both the ϕ and metric functions simultaneously lack solutions. Finally, we fully check the curvatures singularities and energy conditions for the mentioned black hole. In conclusion, our research provides a comprehensive understanding of the topological properties of Kiselev-AdS black holes within
$f(R, T)$ gravity. In contrast, the influence of ω and γ on the topological charges and the conditions for the existence of the photon sphere offer valuable insights into the complex behavior of these black holes. These findings lay the foundation for a further exploration and deeper understanding of the topological aspects of black holes in modified gravity theories.While our study has provided insights into several important aspects of Kiselev-AdS black holes within
$f(R, T)$ gravity, it also opens up several intriguing questions for future research:1. How do these findings translate to other modified gravity theories? Can similar topological classifications be observed in other contexts, such as
$f(R)$ or$f(T)$ gravity alone?2. What are the dynamic properties of these black holes under perturbations? How do the topological charges evolve, and what implications does this have for black hole stability?
3. How do quantum corrections affect the topological properties of these black holes? Can we extend our classical findings to a quantum regime, and what new phenomena might emerge?
4. How do these topological properties manifest in higher-dimensional black holes? Does the dimensionality of spacetime introduce new complexities or simplifications in the topological classifications?
Exploring these questions will not only deepen our understanding of black holes in modified gravity theories but also potentially uncover new and exciting aspects of gravitational physics.
Thermodynamic topology of Kiselev-AdS black holes within f (R, T) gravity
- Received Date: 2024-10-03
- Available Online: 2025-03-15
Abstract: In this paper, we investigate the topological charge and conditions for the existence of the photon sphere in Kiselev-anti-de Sitter (AdS) black holes within





Abstract
HTML
Reference
Related
PDF
















DownLoad: